Algebra 1 Regents Vocabulary

Algebra 1 Regents Vocabulary

memorize.aimemorize.ai (lvl 286)
Section 1

Preview this deck

"a" in y = a•b^x

Front

Star 0%
Star 0%
Star 0%
Star 0%
Star 0%

0.0

0 reviews

5
0
4
0
3
0
2
0
1
0

Active users

0

All-time users

0

Favorites

0

Last updated

6 years ago

Date created

Mar 1, 2020

Cards (178)

Section 1

(50 cards)

"a" in y = a•b^x

Front

the variable used to represent the initial amount in an exponential function

Back

Common difference

Front

the constant difference between consecutive terms in a sequence

Back

Commission

Front

the amount of money made from making a sale

Back

Absolute value

Front

the distance a number is from zero (y=|x|)

Back

Coefficient

Front

the "big" number in front of the variable

Back

Elimination

Front

used to solve a system of equations by adding the two equations in order to cancel out one of the variables

Back

Domain of a function

Front

all the possible x-values of a function (The domain of this situation is {1, 2, 3, ...}

Back

Equation

Front

has an equal sign

Back

Congruent figures

Front

figures that are the exact same size and shape

Back

Boundary line

Front

a line that borders the shaded region on the graph of linear inequalities

Back

Degree of a monomial

Front

the sum of the exponents of the variables (degree = 5)

Back

Exponential growth

Front

a situation that increases by the same factor each time; the growth rate is b > 1

Back

Base of an exponential function

Front

the growth rate (b) of an exponential function

Back

"m" in y = mx + b

Front

the variable used to represent the slope of a line

Back

Exponential function

Front

Back

Breakeven point

Front

the point in which cost = profit

Back

Discount

Front

the amount that can be taken off of the original amount

Back

Corresponding parts

Front

the parts of a figure that have the same relative position

Back

Common ratio

Front

the ratio of a term in a geometric sequence with the previous term (1:2 = 1/2)

Back

Coordinates

Front

the ordered pair that represents a point (x, y)

Back

Axis of symmetry

Front

a line that divides a parabola in two equal halves and goes through the vertex

Back

Constant term

Front

a term with no variable part; a value that stays the same (2x + 3 where 3 is the constant term)

Back

"b" in y = a•b^x

Front

the variable used to represent the growth rate in an exponential function

Back

Distributive property

Front

a(b + c) = ab + ac

Back

Associative property

Front

(a+b)+c=a+(b+c)

Back

Binomial

Front

an expression that contains two terms

Back

Factor

Front

an expression that is part of a product; (2x - 1) and (x - 1) are factors

Back

Degree of a polynomial

Front

the greatest degree of the terms of a polynomial (degree = 5)

Back

Factor completely

Front

to factor a polynomial until all factors are prime

Back

Direct variation

Front

a linear relationship that can be modeled with y = kx

Back

Area

Front

the amount of space within a 2-dimensional figure

Back

Function

Front

for every input (x) there is only one output (y); All the x-values have to be different The y-values don't matter.

Back

Exponent

Front

the "little" number in a power (x)

Back

Denominator

Front

the bottom part of a fraction

Back

Evaluate

Front

to find the value of an expression by substituting a numbers in for the variables

Back

Complementary

Front

two angles that add to be 90 degrees

Back

Base of a power

Front

the "big" number in a power (b)

Back

Difference

Front

the answer to subtraction

Back

Algebraic expression

Front

contains numbers, variables, and operations (no equal sign)

Back

Factoring

Front

to find the factors of a polynomial; (2x-1)(x-1) is the factored form

Back

Dependent variable

Front

the variable (output) that depends on the value of the independent variable (input) - "Cost" is the dependent variable in this situation.

Back

Decay rate

Front

the rate at which an exponential function is reduced

Back

Equivalent expressions

Front

two expressions that are equal (3x + 5 = 2x - 6)

Back

"b" in y = mx + b

Front

the variable used to represent the y-intercept in a linear function

Back

Circumference

Front

the distance around a circle

Back

Constant of variation

Front

the "k" value that remains the same in direct (y = kx) or inverse variation (xy = k)

Back

Exponential decay

Front

a situation that decreases by the same factor each time; the growth rate is 0 < b < 1

Back

Formula

Front

an equation that can be used to find a specified value

Back

Commutative property

Front

a+b=b+a

Back

Correlation

Front

the relationship between a set of data; it can be positive, negative, constant, or no correlation

Back

Section 2

(50 cards)

Hyperbola

Front

the graph of an inverse relationship

Back

Line of best fit

Front

a line used to model a trend in a set of data

Back

Numerator

Front

the top part of a fraction

Back

Intersection

Front

the point where two equations "cross" each other

Back

Mapping

Front

a diagram that uses arrows to connect the input with the corresponding output values

Back

Independent variable

Front

the variable (input) that determines the dependent variable (output); "Toppings" is the independent variable.

Back

Like terms

Front

terms that have the same variable parts

Back

Graph of an equation in two variables

Front

forms a line on a coordinate plane

Back

Linear equation

Front

an equation whose graph is a straight line

Back

Linear function

Front

a function that can be represented by a line that is not vertical

Back

Integers

Front

numbers that belong to the set ... -3, -2, -1, 0, 1, 2, 3 ...

Back

Function rule

Front

an expression that can be used to represent a functional set of data

Back

Half-life

Front

the amount of time needed to reduce a quantity in half

Back

Growth rate

Front

the rate at which an exponential function is increased

Back

Maximum value

Front

the y-value of the vertex of a parabola

Back

Horizontal

Front

a line that goes left-right parallel to the x-axis

Back

Identity

Front

an equation that is true for all values (x = x)

Back

Initial value

Front

the beginning amount in an exponential function represented by the letter "a"

Back

No solution

Front

a system of equations in which there are no solutions (the lines are parallel)

Back

Linear system

Front

two or more linear equations that have the same variables

Back

Order of operations

Front

rules for evaluating an expression (PEMDAS)

Back

Inverse operations

Front

opposite operations (+ and - or * and / )

Back

Inverse variation

Front

a relationship that can be represented by the equation xy = k or y = k/x

Back

Input

Front

the x-values (domain) of a relationship; (0 and 1 are the input values)

Back

Output

Front

the y-values (range) of a situation (6 and 6.50 are the output values)

Back

Midpoint

Front

the point on a line that is equidistant from the endpoints (the exact middle)

Back

Function notation

Front

uses f(x) instead of y; f(x) = 3x + 5

Back

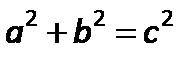
Hypotenuse

Front

the longest leg of a right triangle across from the 90 degree angle represented by the letter "c"

Back

Irrational numbers

Front

numbers than cannot be written as a fraction

Back

Parabola

Front

the "U" shaped graph of a quadratic equation

Back

Median

Front

the middle number of a set of data that has been ordered from least to greatest

Back

Ordered Pair

Front

the coordinates of a point (x, y)

Back

Legs of a right triangle

Front

the sides that make up the 90 degree angle of a right triangle

Back

Mean

Front

the average of a set of data

Back

Monomial

Front

a polynomial with only one term

Back

Graph of an inequality in two variables

Front

forms a shaded area on a coordinate plane with a boundary line

Back

Linear inequality in two variables

Front

a line in which the equal sign is replaced with an inequality symbol

Back

Graph of a system of linear inequalities

Front

the intersection area of two or more linear inequalities

Back

Origin

Front

(0, 0)

Back

Infinite solutions

Front

a system of equations in which all values are true (the equations are the same line)

Back

Inequality

Front

contains an inequality symbol

Back

Opposites

Front

positive/negative; multiplication/division; addition/subtraction

Back

Leading coefficient

Front

the coefficient of the first term when a polynomial is written so that the exponents decrease from left to right; 2 is the leading coefficient

Back

Negative exponent

Front

Back

Minimum value

Front

the y-value of the vertex of a parabola

Back

Linear regression

Front

the process that finds the best-fitting line to model a set of data (can be done on the calculator)

Back

Greatest Common Factor

Front

the biggest term that can be divided into all terms

Back

Literal equation

Front

an equation where letters are used to represent numbers (A=lw)

Back

Mode

Front

the number(s) that occur the most in a set of data

Back

Graph of an inequality in one variable

Front

the solution to an inequality that can be represented on a number line

Back

Section 3

(50 cards)

Percent of decrease

Front

the percent of change when the new amount is less than the original amount

Back

Quadratic function

Front

an equation that can be written in the form above

Back

Reasonable Domain

Front

the domain that takes into account the restrictions of a situation

Back

Pythagorean Theorem

Front

a formula used to find the sides of a triangle

Back

Scale factor

Front

the amount used to multiply a figure (6/4 = 3/2)

Back

Proportion

Front

an equation that states to ratios are equal; x/60 = 5/4

Back

Rate

Front

a fraction that compares two quantities measured in different units (miles per hour)

Back

Solution of an inequality in two variables

Front

an ordered pair that makes a true statement when substituted into an inequality (any coordinate in the shaded region)

Back

Rate of change

Front

the slope of a line

Back

Solution of a system of linear inequalities

Front

an ordered pair that is a solution to all of the inequalities in the system (in the shaded region)

Back

Scientific notation

Front

a number written in the form c x 10^n where 1 <= c < 10 and n is an integer

Back

Range of a data set

Front

the difference between the biggest and smallest values in a set of data; Range = {6, 6.50, 7, 7.50,...}

Back

Solution of an inequality in one variable

Front

a number that makes a true statement when substituted into an inequality

Back

Standard form of a linear equation

Front

Ax + By = C

Back

Square root

Front

b is the square root of b(b)

Back

Standard form of a quadratic equation

Front

Back

Supplementary

Front

angles that add to be 180 degrees

Back

Perimeter

Front

the distance around a figure

Back

Sum

Front

the answer to addition

Back

Percent of increase

Front

the percent of change when the new amount is more than the original amount

Back

Solution of an equation in two variables

Front

an ordered pair that makes a true statement when substituted into an equation

Back

Reflection

Front

flips a figure about a line

Back

Product

Front

the answer of multiplication

Back

Quotient

Front

the answer to division

Back

Substitution

Front

used to solve a system of equations by substituting the expression for one variable in for that variable for the other equation

Back

Solution of an equation in one variable

Front

a number that makes a true statement when substituted into an equation

Back

Rational numbers

Front

numbers that can be expressed as a fraction (i.e: 1/3)

Back

Polynomial

Front

a monomial or sum of monomials

Back

Slope

Front

rate of change which is the vertical change (rise) over the horizontal change (run) in a line

Back

Roots

Front

the solution to an equation; where the graph crosses the x-axis

Back

Quadrants

Front

the four regions created by the x- and y- axis

Back

Quadratic parent function

Front

y=x^2

Back

Real numbers

Front

the set of all rational and irrational numbers

Back

Relation

Front

the pairing of inputs with outputs

Back

Linear parent function

Front

y=x

Back

Reasonable Range

Front

the range that takes into account the restrictions of a situation

Back

Point-slope form

Front

Back

Simplify

Front

to perform all indicated operations

Back

Solution of a system of linear equations

Front

an ordered pair that is a solution to all of the equations in the system;The solution is (-4,2)

Back

Perpendicular lines

Front

two lines that intersect at a 90 degree angle

Back

Quadratic formula

Front

the formula used to find the solutions of a quadratic equation

Back

Scatter plot

Front

a graphing of points to determine if data has a relationship

Back

Parallel lines

Front

two lines that never intersect

Back

Percent of change

Front

the percent a quantity increases/decreases;

Back

Ratio

Front

the comparison of two numbers using division (6:4 or 6/4)

Back

Slope-intercept form

Front

an equation in the form y = mx + b

Back

Perfect square

Front

a number that has a whole number square root; 1=1(1); 4=2(2); 9=3(3); 16=4(4) so, 1, 4, 9, 16,... are perfect squares

Back

Range of a function

Front

all the possible x-values of a function; Range = {6, 6.50}

Back

Similar figures

Front

figures that have the same shape and are proportional

Back

Profit

Front

the amount of money made after costs are subtracted

Back

Section 4

(28 cards)

x-axis

Front

the horizontal axis on a coordinate plane

Back

Translation

Front

moves an image the same distance and same direction

Back

y-intercept

Front

the point where the graph crosses the y-axis; the x-value will always be zero

Back

Transformation

Front

a new image created by applying a rule to the coordinates of the original image

Back

Vertex of a parabola

Front

the minimum or maximum point of a parabola

Back

Undefined slope

Front

the slope of a vertical line

Back

y-axis

Front

the vertical axis on a coordinate plane

Back

Greater than

Front

>

Back

System of linear inequalities in two variables

Front

two or more linear inequalities using the same variables

Back

Zero exponent

Front

Back

System of linear equations

Front

two or more equations using the same variables

Back

x-intercept

Front

the point where the graph crosses the x-axis; the y-value will always be zero

Back

Terms of an expression

Front

parts of an expression separated by a + or - sign

Back

Prime

Front

is only divisible by 1 and itself

Back

Zero term

Front

the value before a function rule has been applied to the situation

Back

Vertical line test

Front

a test in order to determine if graph is a function by seeing if a vertical line can be placed anywhere on the graph and it will only pass through one point

Back

Greater than or equal to

Front

Back

Verbal model

Front

describes a real-world situation using labels and math symbols

Back

Variable

Front

a letter used to represent a number

Back

Unit rate

Front

a rate in which the denominator is 1

Back

Vertical line

Front

a line that goes up and down perpendicular to the x-axis

Back

Compound interest

Front

interest that is earned on the principle as well as previously earned interest

Back

Zero of a function

Front

where the graph crosses the x-axis; the x-value for which f(x) = 0 (or y = 0)

Back

Less than

Front

<

Back

Less than or equal to

Front

Back

Trinomial

Front

a polynomial with three terms

Back

Volume

Front

the amount of space needed to fill a 3-dimensional figure

Back

Whole numbers

Front

the numbers 0, 1, 2, ...

Back