Section 1

Preview this deck

Intraspecific Competition

Front

Star 0%
Star 0%
Star 0%
Star 0%
Star 0%

0.0

0 reviews

5
0
4
0
3
0
2
0
1
0

Active users

0

All-time users

0

Favorites

0

Last updated

6 years ago

Date created

Mar 1, 2020

Cards (17)

Section 1

(17 cards)

Intraspecific Competition

Front

Competition between members of the same species Drives population regulation & evolutionary change Logistic Growth Model Lowers carrying capacity because of sharing of resources competition between members of the same species

Back

"Ghost of Competitions Past"

Front

Species missing from habitats they were once found

Back

Niche

Front

Environmental factors that influence: Growth Survival Reproduction of a species Full range of physical and biological conditions in which an organism lives and the way in which the organism uses those conditions The role of an organism in its habitat

Back

Lotka-Volterra

Front

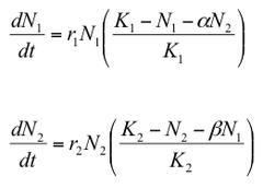
Effect of interspecific competition on population growth of each species Logistic Growth Model Predicts coexistence of two species when, for both species, interspecific competition if weaker than intraspecific competition Allows regulation within a species to occur Inter. < intra. = an individual species will have a lesser effect of survival among the two. A modified form of the logistic equation used to model competition. Calculates rate of change in prey population and rate of change in predator population

Back

Human Introductions

Front

Best natural means of observation of competition A number of animals from Australia go missing once animals for Europe get introduced (exotic species pushing out native species)

Back

Interspecific Competition

Front

Competition between members of more than 1 species Depresses both populations Can lead to extinction or extripation Lotka-voltera models- a series of equations that work together to model both population sizes at the same time Lowers carrying capacity because of sharing of resources Competition for resources is more intense at higher population densities Has been predicted to lead to directional selection for reduced niche overlap competition for resources between individuals of two or more species when resources are in short supply

Back

Conditions for competition

Front

1. Species found in the same area at the same time 2. Species utilize a shared resource (niche overlap) 3. Shared resource found in a limited supply (important because if theres too much available then they won't compete for it) 4. Shared resource is a limiting resource of species Two species in the same place living off the same limited resource will not always compete (like bats and birds...day and night)

Back

Logistic competition

Front

Outcome independent of rate of growth (r) Only affects rate Equilibrium occurs when isoclines cross

Back

Sympatric Species

Front

Species that coexist in the same geographic area Competition exists different species that live in the same area but are prevented from successfully reproducing by a reproductive isolating mechanism ranges overlap

Back

Competition

Front

Any use or defense of a resource by one individual that reduces the availability of that resource to other individuals Resourses: Food Water Sunlight Habitat Space Matings A common demand by two or more organisms upon a limited supply of a resource; for example, food, water, light, space, mates, nesting sites. It may be intraspecific or interspecific.

Back

Isocline

Front

If above, population increasing If below, population decreasing Coexistence of two species is only possible when isoclines cross Equilibrium occurs when isoclines cross a line on a map or graph connecting points of equal gradient. For our purpose, the isocline is where the growth rate (dN/dt) is equal to zero for the population of interest. a set of abundances for which the growth rate (dN/dt) of one species is zero A line joining points on a graph at which combinations of resource levels or population densities produce a similar rate of population growth for a particular species.

Back

Self- Thinning

Front

Predicts that plants will decrease in population density as the total biomass of the population increases. reduction in population density as a stand of plant increases in biomass, due to intraspecific competition a phenomenon in plants in which individuals at high density have smaller population size but larger individuals

Back

Character displacement

Front

Divergence in characteristics of two otherwise similar species where their ranges overlap Caused by selective effects of competition between the species in the area that overlaps We will not get a completely different species because they are still sharing a gene pool and has to be maintained over several generations Tendency of characteristics to be more divergent in sympatric populations than allopatric populations. Species evolve non-overlapping traits to avoid competition the phenomenon where differences among similar species whose distributions overlap geographically are accentuated in regions where the species co-occur, but are minimized or lost where the species' distributions do not overlap.

Back

Realized niche

Front

Includes interactions such as competition that may restrict environments where a species may live What a species DOES survive in Includes competition, predation, and other species If competition interactions are strong and pervasive enough, they may produce an evolutionary response in the competitor population (changes fundamental niche) the range of abiotic and biotic conditions under which a species actually lives The niche species actually occupies.

Back

Competitive Exclusion Principle

Front

Gause- two species competing for the same resource cannot coexist indefinitely. One will be a better competitor thus have a higher fitness and eventually exclude the other Hardin- "complete competitors cannot coexist" Two or more species cannot coexist on a single limiting resource (MORE ACCEPTED) principle that states that no two species can occupy the same niche in the same habitat at the same time Two species competing for same limiting resource cannot coexist in one place; one species will have an advantage that will eventually lead to competitive exclusion

Back

Fundamental Niche

Front

Hypervolume What a species CAN survive in Does not include competition, predation, or other species The niche species could potentially occupy.

Back

Allopatric Species

Front

Species whose ranges do not overlap No competition present Two closely related species that are geographically isolated from each other live in different geographic locations and are often separated by some sort of physical barrier such as a body of water or mountain range

Back