Algebra 2 Vocabulary

Algebra 2 Vocabulary

memorize.aimemorize.ai (lvl 286)
Section 1

Preview this deck

leading coefficient

Front

Star 0%
Star 0%
Star 0%
Star 0%
Star 0%

0.0

0 reviews

5
0
4
0
3
0
2
0
1
0

Active users

0

All-time users

0

Favorites

0

Last updated

6 years ago

Date created

Mar 1, 2020

Cards (33)

Section 1

(33 cards)

leading coefficient

Front

the coefficient of the first term of a polynomial in standard form

Back

constant

Front

A term without a variable

Back

Root

Front

the zeroes of a function, the x-value when y = 0

Back

Function

Front

each x value has only one y value VERTICAL LINE TEST!!!!

Back

Negative Slope

Front

The line heads downwards from left to right

Back

standard form of a polynomial

Front

The form of a polynomial that places the terms in descending order by degree.

Back

Axis of symmetry

Front

the line that separates each side of the parabola

Back

Range

Front

the set of all y values

Back

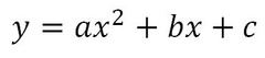
Quadratic Equation

Front

an equation with degree of 2

Back

quintic function

Front

a polynomial function of degree five

Back

Parabola

Front

the graph of a quadratic function

Back

cubic function

Front

a polynomial with a degree of 3

Back

Binomial

Front

A polynomial of two terms

Back

Slope-Intercept Form

Front

y=mx+b

Back

Domain

Front

The set of x values

Back

Zero Slope

Front

Horizontal Line

Back

Linear function

Front

A function whose graph is a line. Same as Linear Equation.

Back

Positive Slope

Front

The line heads upwards from left to right

Back

Solutions of a Function

Front

Also called roots, zeros or x-intercepts

Back

Polynomial

Front

a mathematical expression that is the sum of a number of terms

Back

quartic function

Front

a polynomial function of degree four

Back

y-intercept

Front

the point where the graph crosses the y-axis.

Back

x-intercept

Front

the point where the graph crosses the x-axis.

Back

Slope

Front

The steepness of a line on a graph

Back

Undefined Slope

Front

Vertical Line

Back

Maximum

Front

the greatest y coordinate

Back

Zeroes of a function

Front

x intercept, solutions, roots

Back

end behavior

Front

The behavior of the graph as x approaches positive infinity or negative infinity.

Back

degree of a polynomial

Front

the greatest degree of any term in the polynomial

Back

Vertex

Front

The point at which the parabola turns around

Back

Minimum

Front

the lowest y coordinate

Back

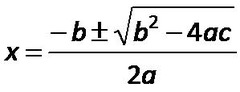
Quadratic formula

Front

x = -b ± √(b² - 4ac) -------------------- 2a

Back

Trinomial

Front

A polynomial of three terms

Back