AP Calculus BC Review

AP Calculus BC Review

memorize.aimemorize.ai (lvl 286)
Section 1

Preview this deck

Circular Cross-Sections

Front

Star 0%
Star 0%
Star 0%
Star 0%
Star 0%

0.0

0 reviews

5
0
4
0
3
0
2
0
1
0

Active users

0

All-time users

0

Favorites

0

Last updated

6 years ago

Date created

Mar 14, 2020

Cards (51)

Section 1

(50 cards)

Circular Cross-Sections

Front

V=π/4∫(top function-bottom function)^2 dx

Back

Rectangular Cross-Sections

Front

V=∫(top function-bottom function)(height) dx

Back

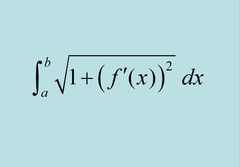
Arc Length

Front

Back

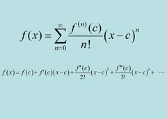
Taylor Series

Front

Back

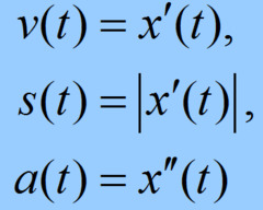
Velocity, Speed, Acceleration

Front

Speed increases when v(t) and a(t) have the same sign, decreases when opposite signs.

Back

Harmonic Series

Front

Back

Trapezoidal Rule

Front

Back

Comparison Test

Front

Back

Isosceles Right Triangle Cross-Sections (hypotenuse in XY plane)

Front

V=1/4∫(top function-bottom function)^2 dx

Back

Power Series

Front

Back

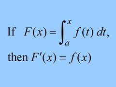
Second Fundamental Theorem of Calculus

Front

Back

Limit Comparison Test

Front

Back

Intermediate Value Theorem

Front

Back

Integration by Parts

Front

∫vdu is easier to solve than original ∫udx = uv − ∫vdu .

Back

Volume of Solids of Revolution

Front

V=π∫(furthest from a.r-a.r)^2-(closest from a.r-a.r)^2dx

Back

lim→∞ln(n)/n =

Front

0

Back

Extreme-Value Theorem

Front

Back

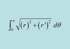
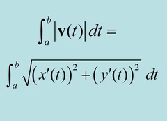
Arc Length in Parametric form

Front

Back

Derivative of an inverse function

Front

1/(g'(g^-1(x))

Back

Distance

Front

Back

Equilateral Cross-Sections

Front

V=√3/4∫(top function-bottom function)^2 dx

Back

lim→∞x^n/n! =

Front

0

Back

Arc Length in Polar Form

Front

Back

tangent line equation (Linear Approximation)

Front

Back

Average Value

Front

Back

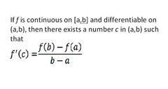
Mean Value Theorem

Front

Back

Fundamental Theorem of Calculus

Front

Back

Isosceles Right Triangle Cross-Sections (leg in the XY plane)

Front

V=1/2∫(top function-bottom function)^2 dx

Back

Square Cross-Sections (diagonal in XY plane)

Front

V=1/2∫(top function-bottom function)^2 dx

Back

The n-th Term Test

Front

lim→∞an ≠ 0 then the series diverges, the converse is false

Back

ln(x)<0

Front

when 0<x<1

Back

Geometric Series

Front

Back

Logistics

Front

dY/dT= ky(1-Y/L) L: carrying capacity (maximum); horizontal asymptote. L/2: max rate

Back

P-series

Front

∑1/(n^p) p>1 Converges p≤1 Diverges

Back

Average Rate of Change

Front

Back

Euler's Method

Front

Yn= Yn-1 + hF(Xn-1, Yn-1)

Back

Area in Polar Coordinates

Front

A=1/2∫(f(θ)^2)dθ = 1/2∫(r^2)dθ

Back

Square Cross-Sections

Front

V=∫(top function-bottom function)^2 dx

Back

Semi-Circular Cross-Sections

Front

V=π/8∫(top function-bottom function)^2 dx

Back

Area Between Curves

Front

[top-bottom]dx [right-left]dy

Back

Integral Test

Front

Back

Instantaneous rate of change

Front

Back

L'hopital's Rule

Front

Back

lim→∞ⁿ√n =

Front

1

Back

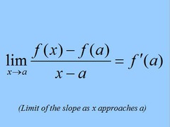
Definition of Derivative

Front

Back

Speed

Front

magnitude of velocity

Back

lim→∞x^(1/n) =

Front

1

Back

Ratio Test

Front

Back

Cartesian vs. Polar Coordinates

Front

x=rcos(θ) y=rsin(θ) x²+y² tan⁻¹(y/x)

Back

Alternating Series

Front

also test: |a n+1|≤ |a n|

Back

Section 2

(1 card)

A general method for finding convergence or divergence

Front

POWER SERIES -geometric -ratio test NUMERICAL SERIES -geometric? -nth term test

Back