AP Chemistry Big Idea 1: Atomic Theory

AP Chemistry Big Idea 1: Atomic Theory

memorize.aimemorize.ai (lvl 286)
Section 1

Preview this deck

ionization energy

Front

Star 0%
Star 0%
Star 0%
Star 0%
Star 0%

0.0

0 reviews

5
0
4
0
3
0
2
0
1
0

Active users

0

All-time users

0

Favorites

0

Last updated

6 years ago

Date created

Mar 1, 2020

Cards (19)

Section 1

(19 cards)

ionization energy

Front

the minimum energy needed to remove the electron

Back

absorbance

Front

can be used to determine the concentration of the absorbing molecules in that solution, via the Beer-Lambert law

Back

core electrons

Front

inner electrons

Back

orbital

Front

the region of space in which an electron is found

Back

valence electrons

Front

outer electrons

Back

gravimetric analysis

Front

a substance is added to a solution that reacts specifically with a dissolved analyte to form a solid

Back

photoelectron spectroscopy (PES)

Front

determines the energy needed to eject electrons from the material and deduces the shell structure of an atom.

Back

magnetic moment

Front

results from the unpaired spin of electrons in an atom

Back

electron configuration

Front

describes the distribution of electrons in an atom or ion using "shells" and "subshells"

Back

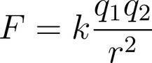
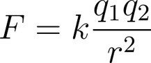
Coulomb's law

Front

Back

ultraviolet/visible radiation

Front

associated with transitions in electronic energy levels and so can be used to probe electronic structure

Back

molarity

Front

moles of solute per liter of solution

Back

empirical formula

Front

lowest whole number ratio of atoms in a compound

Back

percent composition

Front

the mass percent of each element in a compound

Back

mole

Front

the fundamental unit for counting numbers of particles on the macroscopic level

Back

isotopes

Front

atoms of an element having different numbers of neutrons

Back

electronegativity

Front

the ability to attract electons

Back

mass spectrometry

Front

shows different isotopes of the same element; average atomic mass can be estimated

Back

infrared radiation

Front

associated with transitions in molecular vibrations and so can be used to detect the presence of different types of bonds

Back