Section 1

Preview this deck

Reinforced, threadlike pseudopods that can perform phagocytosis are generally characteristic of which groups?

Front

Star 0%
Star 0%
Star 0%
Star 0%
Star 0%

0.0

0 reviews

5
0
4
0
3
0
2
0
1
0

Active users

0

All-time users

0

Favorites

0

Last updated

6 years ago

Date created

Mar 1, 2020

Cards (166)

Section 1

(50 cards)

Reinforced, threadlike pseudopods that can perform phagocytosis are generally characteristic of which groups?

Front

radiolarians and forams

Back

Which statement about the beak size of finches on the island of Daphne Major during prolonged drought is true?

Front

Each bird's survival was strongly influenced by the dept and strength of its beak as the drought persisted

Back

the most important feature that permits a gene to act as a molecular clock is

Front

having a reliable average rate of mutation

Back

Although each of the following has a better chance of influencing gene frequencies in small populations than in large populations, which one most consistently requires a small population as a precondition for its occurrence?

Front

genetic drift

Back

Which statement represents the best explanation for the observation that the nuclear DNA of wolves and domestic dogs has a very high degree of sequences homology?

Front

Dogs and wolves shared a common ancestor very recently

Back

You are given 5 test tubes, each containing an unknown protist, and your task is to match these 5 protists to the correct test tube. In test tube 1, you observe an organism feeding. When light, especially red and blue light, is shone on the tubes, oxygen bubbles accumulate on the inside of test tubes 2 and 3. Chemical analysis of test tube 3 indicates the presence of substantial amounts of silcia. Chemical analysis of test tube 2 indicates the presence of a chemical that is toxic to fish and humans. Microscopic ananlysis of organisms in test tubes 2,4, and 5 reveals the presence of membrane bound sacs just under the plasma membrane. Microscopic analysis of test tube 4 revelas the presence of an apicoplast in each. Microscopic analysis of the contents of test tube 5 reveals the presence of one large and several small nuclei in each organism. Test tube 4 contains what?

Front

Plasmodium

Back

Placing whales and hippos in the same clade means?

Front

that they had a common ancestor

Back

Which of the following is correctly described as a primary poducer?

Front

diatom

Back

Two species of frogs belonging to the same genus occasionally mate, but the offspring fail to develop and hatch. What is the mechanism for keeping the two frog species separate?

Front

a postzygotic barrier called hybrid inviability

Back

According to the endosymbiotic theory of the origin of eukaryotic cells, how did mitochondria originate?

Front

from engulfed, orignally free-living proteobacteria

Back

Which of the following must exist in a population before natural selection can act upon that population?

Front

genetic variation among individuals

Back

the chloroplasts of land plants are thought to have been derived according to which evolutionary sequence?

Front

cyanobacteria -green algae-land plants

Back

Assuming each of these possesses a weak cell wall, which prokaryotes should be expected to be most strongly resistant to plasmolysis in hypertonic environments?

Front

extreme halophiles

Back

Dogs (canis lupus familiaris) and gray wolves (canis lupus) can interbreed to produce viable, fertile offspring. These species shared a common ancestor recently (in geologic time) and have a high degree of genetic similarity, although their anatomies vary widely. Judging from this evidence, which two species concepts are most likely to place dogs and wolves together into a single species?

Front

biological and phylogentic

Back

Catastrophism, meaning the regular occurrence of geological or meteorological disturbances (catastrophes) was Cuvier's attempt to explain the existence of

Front

the fossil record

Back

What does the biological species concept use as the primary criterion for determining species boundries?

Front

gene flow

Back

Biologists suspect that endosymbiosis gave rise to mitochondria before plastids partly because ?

Front

All eukaryotes have mitochondria (or their remnants), whereas many eukaryotes do not have plastids

Back

Though plants, fungi, and prokaryotes all have cell walls, we place them in different taxa. Which of these observations come closest to explaining the basis for placing these organisms in different taxa, well before relevent data from molecular systematics became available?

Front

their cell walls are composed of very different biochemicals

Back

Which term best describes the symbiotic relationship of well fed P. bursaria to their zoochlorellae?

Front

mutualistic

Back

The best classification system is that which most closely?

Front

unites organisms that possess similar morphologies

Back

Which of the following was derived from an ancestral cyanobacterium?

Front

chloroplast

Back

Cladograms (a phylogenetic tree) constructed from evidence from molecular systematics are based on similarities in?

Front

mutations to homologous genes

Back

Which statement about genomes of prokaryotes is correct?

Front

prokaryotic genomes are composed of circular DNA

Back

Which statement concerning protists is true?

Front

Euglenozoans that are mixotrophic lack functional chloroplasts

Back

Which two structures play direct roles in permitting bacteria to adhere to each other or to other surfaces?

Front

capsules and fimbrae

Back

Which eukaryotic kingdom includes members that are the result of endosymbiosis that included an ancient bacterium and an ancient cyanobacterium?

Front

plantae or protista

Back

Which pair of alternatives is highlighted by the life cycle of the cellular slime molds, such as Dictyostelium?

Front

autotroph or heterotroph

Back

Dog breeders maintain the purity of breeds by keeping dogs of different breeds apart when they are fertile. This kind of isolation is most similar to which of the followin reproductive isolating mechanisms?

Front

habitat isolation

Back

Which of following must exist in a population before natural selection can act upon that population?

Front

genetic variation among individuals

Back

Which of following is the correct sequence of events in the origin of life? I. formation of protobionts II. synthesis of organic monomers III. synthesis of organic polymers IV. formation of DNA-based genetic systems

Front

II. synthesis of organic monomers, III. synthesis of organic polymers, I. formation of protobionts, IV. formation of DNA-based genetic systems

Back

Which statement about the domain Archaea is true?

Front

Genetic prospecting has recently revealed the existence of many previously unknown archaean species

Back

You are given 5 test tubes, each containing an unknown protist, and your task is to match these 5 protists to the correct test tube. In test tube 1, you observe an organism feeding. When light, especially red and blue light, is shone on the tubes, oxygen bubbles accumulate on the inside of test tubes 2 and 3. Chemical analysis of test tube 3 indicates the presence of substantial amounts of silcia. Chemical analysis of test tube 2 indicates the presence of a chemical that is toxic to fish and humans. Microscopic ananlysis of organisms in test tubes 2,4, and 5 reveals the presence of membrane bound sacs just under the plasma membrane. Microscopic analysis of test tube 4 revelas the presence of an apicoplast in each. Microscopic analysis of the contents of test tube 5 reveals the presence of one large and several small nuclei in each organism. Test tube 3 contains?

Front

Navicula (diatom)

Back

The predatory bacterium, Bdellovibrio bacteriophorus, drills into a prey bacterium and once inside digests it. In an attack upon a gram-negative bacterium that has a slimy cell covering, what is the correct sequence of structures penetrated by the B. bacteriophorus on its way to the prey's cytoplasm?

Front

capsule, membrane composed mostly of lipopolysaccharide, peptidoglycan, membrane composed mostly of phospholipids

Back

chloramphenicol is an antibiotic that targets prokaryotic (70S) ribosomes, but not eukaryotic (80S) ribosomes. Which of these questions stems from this observation, plus an understanding of eukaryotic origins?

Front

If chloramphenicol inhibits prokaryotic ribosomes, should it not also inhibit mitochondrial ribosomes

Back

The importance of computer software to modern cladistics is most closely linked to advances in?

Front

molecular genetics

Back

which eukaryotic kingdom is polyphyletic, and therefore unacceptable, based on cladistics?

Front

protista

Back

One morphological feature of modern cetaceans is a vestigial pelvic girdle. If it is determined that cetacean lineage diverged from the artiodactyls lineage after the divergence of pigs and other artiodactyla, then what should be true of the vestigial pelvic girdle of cetaceans?

Front

It should be considered a shared derived character of the cetaceans

Back

In the formula for determining a population's genotype frequencies, the 2 in the term 2pq is necessary because?

Front

heterozygotes can come about in 2 ways

Back

Which statement about bacterial walls is false? A. Cell walls prevent cells from bursting ins hypotonic environments B. Bacterial walls are similar in function to the cell walls of many protists, fungi and plants C. Cell walls provide the cell with a degree of physical protection from the environment D. Cell walls prevent cells from dying in hypertonic conditions E. Bacterial cell walls differ in molecular composition from plant cell walls.

Front

D. Cell walls prevent cells from dying in hypertonic conditions

Back

The various taxonomic levels (namely, genera, classes, etc.) of the hierarchial classification system differ from each other on the basis od

Front

morphological characters that are applicable to all organisms

Back

Prokaryotic ribosomes differ from those present in eukaryotic cytosol. Because of this, which of the following is correct?

Front

Some antibiotics can block the synthesis of peptidoglycan in the walls of bacteria and translation can occur at the same time as transcription in eukaryotes but not prokaryotes

Back

Which term most accurately describes the nutritional mode of healthy P. bursaria?

Front

mixotroph

Back

natural selection is based on all of the following except?

Front

individuals adapt to their environments and thereby evolve

Back

Which of the following traits do archeans and bacteria share? 1. composition of cell wall 2. presence of a plasma membrane 3. lack of a nuclear envelope 4. indentical rRNA sequences

Front

2 and 3

Back

It has been observed that organisms on islands are different from, but closely related to, similar forms found on the nearest continent. This is taken as evidence that

Front

island forms and mainland forms descended from common ancestors

Back

How were the conditions on the early earth more than 3 billion years ago different from those on todays earth?

Front

Only early earth was intensely bombarded by large space debris

Back

The chloroplasts of all of the following are thought to be derived from ancestral red algae, except those of

Front

green algae

Back

During a study session about evolution, one of your fellow student's remarks, "The giraffe stretched its neck while reaching for higher leaves; its offspring inherited longer necks as a result. "Which statement is most likely to be helpful in correcting this student's misconception?

Front

Characteristics acquired during an organism's life are generally not passed on through genes

Back

which kind of DNA should provide the best molecular clock for determining the evolutionary relatedness of several species whose common ancestor became extinct billions of years ago?

Front

that coding for ribosomal RNA

Back

Which is a major cause of size limits for certain types of cells

Front

the need for a surface area of sufficient area to support the cell's metabolic needs

Back

Section 2

(50 cards)

Which of the following is the most accurate summary of Cuvier's consideration of fossils found in the vicinity of Paris?

Front

extinction of species yes, evolution of a new species no

Back

jaws first occurred in which extant group of fishes

Front

chondrichthyans (sharks and rays)

Back

There is still some controversy among biologists about whether Neanderthals should be placed within the same species as modern humans or into a separate species all their own. Most DNA sequence data analyzed so far indicate that there was probably little or no gene flow between Neanderthals and Homo sapiens. Which species concept is most applicable in this example?

Front

Biological

Back

Bird guides once listed the myrtle warbler and Audubon's warbler as distinct species. Recently, these birds have been classified as eastern and western forms of a single species, the yellow-rumped warbler. Which of the following pieces of evidence, if true, would be cause for this reclassification?

Front

The two forms interbreed often in nature, and their offspring have good survival and reproduction

Back

In a hypothetical population's gene pool, an autosomal gene, which had previously been fixed, undergoes a mutation that introduces a new allele, one inherited according to incomplete dominance. Natural selection then causes stabilizing selection at this locus. Consequently, what should happen over the course of many generations?

Front

the proportion of the population that is heterozygous at this locus should remain constant

Back

chemicals, secreted by soil fungi, that inhibit the growth of bacteria are known as

Front

antibiotics

Back

Within six months of successfully using methicillin to treat S. aureus infections in a community, all new infections were caused by MRSA. How can this result best be explained?

Front

Some drug-resistant bacteria were present at the start of treatment,and natural selection increased their frequency

Back

The oxygen revolution changed Earth's environment dramatically. which of the following took advantage of the presence of free oxygen in the oceans and atmosphere?

Front

the evolution of cellular respiration which used oxygen to help harvest energy from organic molecules

Back

Adult male humans generally have deeper voices than do adult female humans, which is the direct result of higher levels of testosterone causing growth of the larynx. If the fossil records of apes and humans alike show a trend toward decreasing larynx size in adult females and increasing larynx size in adult males then

Front

sexual dimorphism was developing over time these species

Back

Which of the following is a defining characteristic that all protobionts had in common?

Front

a surrounding membrane or membrane like structure

Back

The most likely explanation for the high rate of sympatric speciation that apparently existed among cichlids of Lake Victoria in the past is

Front

pollution

Back

Which of the following is not a characteristic of arthropods

Front

a pseudocoelom

Back

if a meteor impact or volcanic eruption injected a lot of dust into the atmosphere and reduced the sunlight reaching earths surface by 70% for one year, which of the following marine communities most likely would be least affected?

Front

deep-sea vent

Back

Which of the following factors would not contribute to allopatric speciation?

Front

Gene flow between two populations is extensive

Back

which of these should decline in hybrid zones where reinforcement is occurring?

Front

gene flow between distinct gene pools

Back

The difference between geographic isolation and habitat differentiation is the

Front

relative locations of the two populations as speciation occurs

Back

An early consequence of the release of oxygen gas by plant and bacterial photosynthesis was to

Front

cause iron in ocean water and terrestrial rocks to rust

Back

immediately after karyogamy occurs which term applies

Front

diploid

Back

Which of the following statement about species, as defined by the biological species concept, is (are) correct? I. Biological species are defined by reproductive isolation II. Biological species are the model used for grouping extinct forms of life III. The biological species is the largest unit of population in which successful interbreeding is possible.

Front

I. Biological species are defined by reproductive isolation and III. The biological species is the largest unit of population in which successful interbreeding is possible.

Back

In the wild, male house finches (carpous mexicanus) vary considerably in the amount of red pigmentation in their head and throat feathers, with colors ranging from pale yellow to bright red. These colors come form carotenoid pigments that are found in the birds diets; no vertebrates are known to synthesize cartotenoid pigments. Thus, the brighter red the male's feathers are the more successful he has been at aquiring red carotenoid pigment by his food gathering efforts(all factors being equal). During breeding season, one should expect femal house finches to prefer to mate with males with the brightest red feathers. Which of the following is true of this situation?

Front

alleles that promote more efficient acquisition of cartoenoid containing foods by males should increase over the course of generations, there should be directional selection for bright red feathers in males, and allels that promote more effective deposition of carotenoid pigments in the feathers of males should increase over the course of generations.

Back

In the Hardy-Weinberg population with 2 alleles A and a that are in equilibrium the frequency of allele a is 0.2. What is the percentage of the population that is heterozygous fro this allele?

Front

32.0

Back

natural selection involves energetic trade-offs between

Front

high survival rates of offspring and the cost of parental care

Back

which of the following abiotic factors has the greatest influence on the metabolic rates of plants and animals

Front

temperature

Back

Given a population that contains genetic variation, what is the correct sequence of the following events, under the influence of natural selection 1. Well-adapted individuals leave more offspring than do poorly adapted individuals 2. A change occurs in environment 3. Genetic frequencies within the population change 4. Poorly adapted individuals have decreased survivorship

Front

2-4-1-3

Back

A hybrid zone is defined as?

Front

an area where mating occurs between members of two closely related species, producing viable offspring

Back

In modern terminology, diversity is understood to be the result of genetic variation. Which of the following is a recognized source of variation for evolution?

Front

recombination by crossing over in meiosis

Back

two closley related populations of mice have been separated for many generations by a river. Climatic change causes the river to dry up, thereby bringing the mice populations back into contact in a zone of overlap. Which of the following is not a possible outcome when they meet?

Front

They interbreed in the region of overlap, producing an inferior hybrid. Subsequent interbreeding between inferior hybrids produces progressively superior hybrids over several generations.

Back

which of the following statements correctly describes a portion of the pine life cycle?

Front

female gametophytes use mitosis to produce eggs

Back

In Hardy-Weinberg population with two alleles, A and a, that are in equilibrium, the frequency of allele a is 0.1. What is the frequency of individuals with the AA genotype?

Front

0.81

Back

Some green algae exhibit alternation of generations. No charyophytes exhibit alternation of generations. Keeping in mind recent evidence from molecular systematic, the correct interpretation of these observations is that

Front

plants evolved alternation of generations independently of green algae

Back

If the half life of carbon 14 is about 5730 years, then a fossil that has one-fourth the normal proportion of carbon 14 to carbon 12 should be about how many years old?

Front

11,460

Back

You are confronted with a box of preserved grasshoppers of various species that are new to science and have not been described. Your assignment is to separate them into species. There is no accompanying information as to where or when they were collected. Which species concept will you have to use?

Front

morphological

Back

Which of these observations give the most support to the endosymbiotic theory for the origin of eukaryotic cells?

Front

the similarity in size between the cytosolic ribosomes of prokaryotes and the ribosomes within mitochondria and chloroplasts

Back

Which of the following is not an observation or inference on which natural selection is based?

Front

poorly adapted individuals never produce offspring

Back

palm trees and subtropical plants are commonplace in Land's End England, whose latitude is the equivalent of Labrador in coastal Canada where local flora is subarctic. Which statement best explains why this apparent anomaly exists between north America and Europe?

Front

Warm ocean currents interact with England, whereas cold ocean currents interact with Labrador

Back

which extant chordates are postulated to be the most like the earliest chordates in appearance?

Front

lancelets

Back

Which of the following statements best describes theories

Front

they are supported by, and make sense of, many observations

Back

If a fern gametophyte is a hermaphrodite (that is, has both male and female gametangia on the same plant)then it

Front

belongs to a species that is homosporous

Back

Males of different species of the fruit fly Drosophilia that live in the same parts of the Hawaiian Islands have different elaborate courtship rituals. These rituals involve fighting other males and making stylized movements that attract females. What type of reproductive isolation does this represent?

Front

behavioral isolation

Back

The role that humans play in artificial selection is to

Front

choose which organisms to breed and which do not

Back

during chordate evolution, what is the sequence (from the earliest to most recent) in which the following structures arose? 1. amniotic eqq 2. paired fins 3. jaws 4. swim bladder 5. four-chambered heart

Front

32415 or 23415

Back

The synthesis of new DNA requires the prior existence of oligonucleotides to serve as primers. On earth, these primers are small RNA molecules. This latter observation is evidence in support of the hypothesized existence of

Front

earlier genetic systems than those based on DNA

Back

DNA sequences in many human genes are very similar to the sequences of corresponding genes in chimpanzees. The most likely explanation for this result is that

Front

humans and chimpanzees share a relatively recent common ancestor

Back

What was the prevailing belief prior to the time of Lyell and Darwin?

Front

earth is a few thousand years old and populations are unchanging

Back

the last common ancestor of all animals was probably a

Front

flagellated protist

Back

Most Swiss starling produce four to five eggs in each clutch. Which of the following terms best describes this situation?

Front

stabilizing selection

Back

Which of the following statements provides the strongest evidence that prokaryotes evolved before eukaryotes?

Front

the oldest fossilized cells resemble prokaryotes

Back

If the bacterium staphylococcus aureus experiences a cost for maintaining antibiotic-resistant genes, then what should happen in the environments from which antibiotics are missing?

Front

these bacteria should be outcompeted and replaced by bacteria that have lost these genes

Back

According to the concept of punctuated equilibrium, the "sudden" appearance of a new species in the fossil record means that?

Front

speciation occurred rapidly in geologic time

Back

fossilized stromatolites

Front

resemble structures formed by bacterial communities that are found today in some warm shallow salty bays

Back

Section 3

(50 cards)

Based on the intermediate disturbance hypothesis, a community's species diversity is

Front

increased by moderate levels of disturbance.

Back

In plants, which of the following are produced by mitosis?

Front

haploid gametophytes

Back

an adult animal that possesses radial symmetry is most certainly also?

Front

diploblastic

Back

In both lichens and mycorrhizae, what does the fungal partner provide to its photosynthetic partner?

Front

water and minerals

Back

which of the following is a diploblastic phylum of aquatic predators?

Front

Cnidaria

Back

At which developmental stage should one be able to first distinguish a diploblastic embryo from a triploblastic embryo?

Front

gastrulation

Back

In septate fungi, what structures allow cytoplasmic streaming to distribute needed nutrients, synthesized compounds, and organelles throughout the hyphae?

Front

pores in cross-walls

Back

All of the following have been used by plants to avoid being eaten except

Front

producing tissues that have unappealing colors.

Back

How does phosphorus normally enter ecosystems?

Front

rock weathering

Back

Which of the following is primarily responsible for limiting the number of trophic levels in most ecosystems?

Front

Energy transfer between tropic levels is in almost all cases less than 20% efficient.

Back

Which of the following are the only extant animals that descended directly from dinosaurs?

Front

birds

Back

in the development of terrestrial biomes, which factor is most dependent on all the others?

Front

the species of colonizing animals

Back

Which of the following causes an increase in the intensity of UV radiation reaching the Earth?

Front

depletion of atmospheric ozone

Back

Dwarf mistletoes are flowering plants that grow on certain forest trees. They obtain nutrients and water from the vascular tissues of the trees. The trees derive no known benefits from the dwarf mistletoes. Which of the following best describes the interactions between dwarf mistletoes and trees?

Front

parasitism

Back

In which of the following taxa does the mature sporophyte depend completely on the gametophyte for nutrition?

Front

bryophytes

Back

Which of the following are true concerning flowering plants?

Front

the flower includes sporophyte tissue

Back

what is true of charyophytes?

Front

they are the closest living algal relatives of land plants

Back

lichens are symbiotic associations of fungi and a. cyanobacteria b. mosses c.green algae d. three of these responses are correct e. two of these responses are correct

Front

two of these responses are correct

Back

In a tide pool, 15 species of invertebrates were reduced to eight after one species was removed. The species removed was likely a(n)

Front

keystone species.

Back

Which of the following is true of seedless vascular plants?

Front

whole forest were dominated by large, seedless vascular plants during the Carboniferous period

Back

which of the following was not a challenge for survival of the first land plants?

Front

absorbing enough light and animal predation

Back

The main reason polar regions are cooler than the equator is that?

Front

sunlight strikes the poles at a lower angle

Back

population ecologists are primarily interested in

Front

understanding how biotic and abiotic factors influence the density , distribution, size and age structure of populations

Back

which of these characteristics added most to vertebrate success in relatively dry environments?

Front

bony sclaes, and the shelled amniotic eggs

Back

What adaptations should one expect of the seed coats of angiosperm species whose seeds are dispersed by frugivorous (fruit-eating) animals, as opposed to angiosperm species whose seeds are dispersed by other means?

Front

the seed coat should contain secondary compounds that irritate the lining of the animals mouth and the seed coat should be resistant to the animals digestive enzymes

Back

Community ecologists would consider which of the following to be significant in understanding the structure of an ecological community?

Front

which particular species are present, determining how many species are present overall, the kinds of interactions that occur among organisms of different species and the relative abundance of species

Back

why do populations grow more slowly as they approach their carrying capacity?

Front

density dependent factors lead to fewer births and increased mortality

Back

Which of the following best describes resource partitioning?

Front

Slight variations in niche allow similar species to coexist.

Back

As N approaches K for a certain population, which of the following is predicted by the logistic equation?

Front

the growth rate will approach zero

Back

the vegetative (nutritionally active) bodies of most fungi are?

Front

composed of hyphae, usually underground, and referred to as mycelium

Back

A new species of aquatic chordate is discovered that closely resembles and ancient form. It has the following characteristics: external armor of bony plates, no paired lateral fins, and a suspension-feeding mode of nutrition. In addition to these, it will probably have which of the following characteristics?

Front

no jaws

Back

What is the most important role of photosynthetic organisms in an ecosystem?

Front

converting inorganic compounds into organic compounds

Back

As you study two closely related predatory insect species, the two-spot and the three-spot avenger beetles, you notice that each species seeks prey at dawn in areas without the other species. However, where their ranges overlap the two-spot avenger beetle hunts at night and the three-spot hunts in the morning. When you bring them into the laboratory, their offspring behave in the same manner. You have discovered an example of

Front

character displacement

Back

Chordate pharyngeal slits appear to have functioned first as

Front

suspension feeding devices

Back

According to the competitive exclusion principle, two species cannot continue to occupy the same

Front

niche.

Back

The swim bladder of ray-finned fishes?

Front

provides for regulation of buoyancy

Back

Plasmogamy can directly result in which of the following? 1. cells with a single haploid nucleus 2. heterokaryotic cells 3. dikaryotic cells 4. cells with two diploid nuclei

Front

2 or 3

Back

While sampling marine plankton in a lab, a student encounters large numbers of fertilized eggs. The students rears some of the eggs in the laboratory for further study and finds that the blastopore becomes the mouth. The student observes that the adult organisms grew continuously and did not molt. These eggs belonged to a ?

Front

mollusc

Back

What do fungi and arthropods have in common?

Front

the protective coats of both groups are made of chitin

Back

Which of the following examples best describes an ecological community?

Front

The interactions of all the plant and animal species inhabiting a 2 hectare forest.

Back

Deserts typically occur in a band at about 30 degrees north and south latitude because

Front

descending air masses tend to be cool and dry

Back

Subtraction of which of the following will convert gross primary productivity into net primary productivity?

Front

the energy used by autotrophs in respiration

Back

Evidence shows that some grasses benefit from being grazed. Which of the following terms would best describe this plant-herbivore interaction?

Front

mutualism

Back

Carrying capacity is?

Front

the maximum population size that a particular environment can support

Back

Two barnacles, Balanus and Chthamalus, can both survive on the lower rocks just above the low-tide line on the Scottish coast, but only Balanus actually does so, with Chthamalus adopting a higher zone. Which of the following best accounts for this niche separation?

Front

competitive exclusion

Back

The sum total of an organism's interaction with the biotic and abiotic resources of its environment is called its

Front

ecological niche.

Back

A certain species of pine tree survives only in scattered locations at elevations above 2800 m in the western United States. To understand why this tree grows only in these specific places, an ecologist should?

Front

investigate the various biotic and abiotic factors taht are unique to altitude

Back

How are matter and energy used in ecosystems?

Front

Matter is cycled through ecosystems; energy is not.

Back

what should be true of the fossils of the earliest tetrapods?

Front

they should indicate limited adaptation to the life on land

Back

Which of the following is (are) unique to animals?

Front

nervous conduction and muscular movement

Back

Section 4

(16 cards)

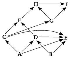
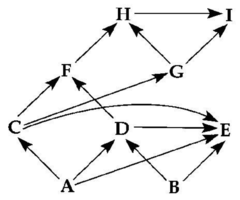
less than the biomass of A + B.

Front

If this were a terrestrial food web, the combined biomass of C + D would probably be

Back

According to the U.S. Endangered Species Act (ESA), the difference between an endangered species and a threatened one is that

Front

an endangered species is closer to extinction.

Back

Which of these ecosystems has the highest net primary productivity per square meter?

Front

tropical rain forest

Back

How is habitat fragmentation related to biodiversity loss?

Front

Populations of organisms in fragments are smaller and, thus, more susceptible to extinction.

Back

Which of the following members of a marine food chain occupies a similar tropic level to a grasshopper in a terrestrial food chain?

Front

zooplankton

Back

Approximately how many kg of carnivore production can be supported by a field plot containing 2000 kg of plant material?

Front

20

Back

Which of the following conditions is the most likely indicator of a population in an extinction vortex?

Front

Genetic measurements indicate a continuing loss of genetic variation.

Back

Which of the following is an example of an ecosystem?

Front

Interactions between all of the organisms and their physical environment in a tropical rain forest.

Back

How is it that the open ocean produces the highest net primary productivity of Earth's ecosystems, yet net primary productivity per square meter is relatively low?

Front

Oceans have the greatest total area.

Back

A movement corridor

Front

unites otherwise isolated patches of quality habitat.

Back

If the Sun were to suddenly stop providing energy to Earth, most ecosystems would vanish. Which of the following ecosystems would likely survive the longest after this hypothetical disaster?

Front

benthic ocean

Back

To recycle nutrients, the minimum an ecosystem must have is

Front

producers and decomposers.

Back

Which of the following terms includes all of the others?

Front

biodiversity

Back

Which of the following is the most accepted hypothesis as to why invasive species take over communities into which they have been introduced?

Front

Invasive species are not held in check by the predators and agents of disease that have always been in place for the natives.

Back

Aquatic primary productivity is most limited by which of the following?

Front

light and nutrient availability

Back

Which of the following is the most direct threat to biodiversity?

Front

habitat destruction

Back