Section 1

Preview this deck

halcyon (adj)

Front

Star 0%
Star 0%
Star 0%
Star 0%
Star 0%

0.0

0 reviews

5
0
4
0
3
0
2
0
1
0

Active users

0

All-time users

0

Favorites

0

Last updated

6 years ago

Date created

Mar 1, 2020

Cards (405)

Section 1

(50 cards)

halcyon (adj)

Front

happy, perfect, idyllic, prosperous, carefree

Back

prudent

Front

wise, sensible

Back

violate

Front

overstep, disobey

Back

relinquish

Front

give up

Back

vitiated

Front

spoil, waste away, impair quality of

Back

buttress

Front

support

Back

precociously

Front

advanced

Back

unctuous

Front

oily; flattering

Back

abstruse (adj)

Front

difficult to understand, complicated

Back

paragon

Front

ideal model

Back

analogous (adj)

Front

similar

Back

pontificate

Front

express opinions pompously

Back

unencumbered (adj)

Front

not having burden or impediment

Back

saliently

Front

obvious or prominent

Back

deferential

Front

showing deference, respectful

Back

fanfare

Front

a short ceremonial tune

Back

cataclysmic

Front

violent natural event

Back

esoteric (adj)

Front

hard to understand

Back

synergistic

Front

2 things combined > alone

Back

supercilious

Front

arrogant, superiority complex

Back

ostensibly

Front

seemingly on surface

Back

retroactive

Front

looking to the past

Back

manifesto

Front

public declaration of goals

Back

licentious

Front

scandalous

Back

quiescent (adj)

Front

dormant, quiet, inactive, motionless

Back

onerous (adj)

Front

burdensome

Back

caustic (adj)

Front

able to burn/ corrosive, sarcastic in a bitter way

Back

perfunctory

Front

carried out w/ minimum effort, mechanical

Back

penitent

Front

feeling guilty

Back

sinuously

Front

having many curves & turns

Back

belie (v)

Front

to contradict

Back

sycophantic

Front

fawning, flattering

Back

remonstrate

Front

make a forcefully reproachful protest

Back

affability (n)

Front

friendliness; the quality of being affable; geniality

Back

assiduousness (n)

Front

diligently working

Back

avant-garde

Front

new forms, innovative

Back

feckless (adj)

Front

useless, lacking skill, incompetent, futile, indifferent, lazy

Back

circumlocution (n)

Front

evasive speech, speaking around a subject

Back

exhort

Front

strongly encourage or urge

Back

prevaricator

Front

speaking/ acting evasively

Back

reticent

Front

not revealing one's thoughts or feelings readily

Back

scintillating

Front

shine brightly

Back

jaded

Front

lacking enthusiasm

Back

tenacious

Front

stubborn

Back

impugned

Front

dispute truth of something, challenge

Back

succinctly

Front

briefly & clearly expressed

Back

deftly

Front

skillful

Back

demagogue

Front

political leader who follows popular ideals; mob leader; unofficial leader of the people

Back

squalid

Front

gross, dirty

Back

watershed

Front

significant moment in history, turning point

Back

Section 2

(50 cards)

aphorisms

Front

saying, proverb

Back

disparaged

Front

regard or represent as being of little worth

Back

placatory

Front

intended to make someone less angry or hostile; conciliatory

Back

proliferated

Front

grow, spread

Back

paradigms

Front

model, pattern, example

Back

scrupulous

Front

diligent, extremely attentive to detail

Back

patron

Front

benefactor

Back

garrulous

Front

excessive talking, verbose, loquacious

Back

wistful

Front

nostalgic, pensive

Back

polyglot

Front

speaks many languages

Back

denizen

Front

inhabitant or occupant of a particular place

Back

sophistry

Front

making false arguments

Back

bent

Front

natural talent

Back

commiseration

Front

sympathy, pity, compassion

Back

repudiate

Front

renounce, abandon

Back

didactic

Front

instructive, learning

Back

progenitor

Front

ancestor

Back

fraudulent

Front

dishonest, corrupt

Back

slovenly

Front

messy or dirty

Back

bolster

Front

to strengthen

Back

salutary

Front

producing good effects, beneficial

Back

solicitor

Front

a person who tries to obtain business orders

Back

defected

Front

abandon one's country or cause in favor of an opposing one

Back

ruse

Front

ploy, cunning scheme

Back

imminent

Front

about to happen

Back

terse

Front

abrupt

Back

acolytes

Front

assistant or follower

Back

dissolute

Front

morally loose, licentious

Back

ungainly

Front

awkward, clumsy

Back

miserly

Front

stingy, cheap

Back

deleterious

Front

causing harm or damage

Back

rancorously

Front

bitterly

Back

taciturn

Front

reserved, reticent

Back

epistles

Front

letter

Back

pervasive

Front

spreading widely

Back

rancor

Front

bitterness, spite

Back

compunction

Front

feeling of guilt after doing something bad

Back

stealthy

Front

cautiously, secretively

Back

yen

Front

yearning, desire

Back

detractor

Front

critic

Back

benign

Front

gentle, kind, warm

Back

euphemisms

Front

different way of saying something, indirect, circumlocution

Back

avaricious

Front

greedy

Back

capitulated

Front

surrender, give in/ up

Back

prodigious

Front

remarkable in extent, unnatural

Back

naturalistic

Front

derived from real life or nature, or imitating it very closely

Back

nefarious

Front

wicked or criminal

Back

austere

Front

1. severe, 2. simple

Back

punctilious

Front

showing great attention to detail

Back

altruistic

Front

selfless

Back

Section 3

(50 cards)

acquiescence

Front

the reluctant acceptance of something without protest

Back

maudlin

Front

over sentimental, emotional

Back

vacillation

Front

to be indecisive

Back

quandary

Front

terrible situation

Back

beleaguered

Front

under siege, blockaded, surrounded, hindered

Back

triage

Front

sorting, determining assignment

Back

sinecure

Front

easy job

Back

incontrovertible

Front

indisputable, undeniable

Back

impervious

Front

unaffected by , not allowing to pass through

Back

expedience

Front

convenient and practical, appropriate

Back

triumvirate

Front

3 rulers

Back

neither

Front

but also

Back

castigation

Front

reprimand (someone) severely

Back

harbinger

Front

sign, indication, signal, messenger

Back

assailed

Front

assault

Back

intemperate

Front

having or showing a lack of self-control; immoderate

Back

predisposed

Front

have hunches, prepared, ready, of a mind, inclined

Back

doggedness

Front

persistance

Back

vociferous

Front

vehement, passionate

Back

laconic

Front

concise, terse, succinct, short

Back

bolstered

Front

strengthen, reinforce

Back

histrionic

Front

melodramatic

Back

vertiginous

Front

nauseating, lightheadedness

Back

both

Front

and

Back

impasse

Front

stoppage, blockage

Back

fecund

Front

fertile, fruitful, productive

Back

munificent

Front

generous, philanthropic

Back

more

Front

than

Back

extraneous

Front

irrelevant or unrelated to subject

Back

auspicious

Front

favorable, oppertune

Back

whether

Front

or

Back

neither

Front

nor

Back

zealous

Front

passionate, fervent

Back

voluble

Front

talkative, loquacious, garrulous

Back

bane

Front

headache, nightmare, trial

Back

from

Front

to (until)

Back

idiosyncratic

Front

individual

Back

either

Front

or

Back

superfluous

Front

excessive, unnecessary

Back

supplanted

Front

supersede and replace

Back

ebullient

Front

cheerful, joyful, bubbly

Back

recondite

Front

abstruse, arcane, esoteric, recherché, profound, difficult, complex

Back

not only

Front

but also

Back

fallacious

Front

fake

Back

happenstance

Front

coincidence

Back

parochial

Front

1. church parish, 2. narrow-minded

Back

corollary

Front

result, consequence

Back

exacerbated

Front

make (a problem, bad situation, or negative feeling) worse

Back

convocation

Front

calling pple for a formal ceremony, meeting

Back

serendipity

Front

the occurrence and development of events by chance in a happy or beneficial way; chance, luck

Back

Section 4

(50 cards)

figurehead

Front

puppet w/ authority

Back

inculcating

Front

instill (an attitude, idea, or habit) by persistent instruction

Back

castigated

Front

reprimand (someone) severely

Back

obfuscation

Front

ender obscure, unclear, or unintelligible

Back

subverting

Front

overthrow, undermine

Back

eschewing

Front

abstain from, refrain from

Back

recapitulate

Front

summarize

Back

fatalistic

Front

the belief that all events are predetermined and therefore inevitable

Back

voracious

Front

wanting or devouring great quantities of food

Back

acrimonious

Front

angry, rancorous, caustic

Back

obstreperous

Front

noisy and difficult to control

Back

pedantic

Front

scrupulous, precise, exact, perfectionist, punctilious, meticulous, fussy, fastidious

Back

mendacity

Front

untruthfulness

Back

succinct

Front

short (and sweet), brief, compact, condensed

Back

imperturbable

Front

unable to be upset or excited; calm

Back

not

Front

but

Back

between

Front

and

Back

emphatic

Front

vehement, firm, wholehearted, forceful

Back

vehement

Front

forceful, ardent, impassioned, heated, spirited

Back

flippant

Front

casual, disrespectful

Back

at once

Front

and

Back

sanguine

Front

optimistic

Back

apprise

Front

to inform

Back

edify

Front

instruct or improve (someone) morally or intellectually

Back

resigned

Front

long-suffering, uncomplaining, forbearing

Back

not so much

Front

as

Back

denunciation

Front

public condemnation of someone or something

Back

becalmed

Front

motionless

Back

mawkishness

Front

sentimental in a feeble or sickly way

Back

duplicitous

Front

deceitful

Back

juxtaposition

Front

the fact of two things being seen or placed close together with contrasting effect

Back

exonerate

Front

find innocent

Back

prefer

Front

to

Back

austerity

Front

1. strictness, seriousness, solemnity, gravity; 2. frugality

Back

clandestine

Front

kept secret or done secretively, esp. because illicit

Back

forbearance

Front

patient self-control; restraint and tolerance

Back

perennial

Front

enduring, lasting, everlasting

Back

capitulate

Front

surrender

Back

profligacy

Front

recklessly extravagant or wasteful in the use of resources

Back

ruffled

Front

disorder or disarrange (someone's hair), typically by running one's hands through it

Back

ratification

Front

approval

Back

no sooner

Front

than

Back

vindication

Front

clear (someone) of blame or suspicion

Back

stock

Front

standard, conventional

Back

resuscitate

Front

revive (someone)

Back

stoicism

Front

endurance, fortitude

Back

repudiation

Front

rejection of a proposal or idea

Back

just as

Front

so (to)

Back

precarious

Front

insecure, unpredictable, risky

Back

ameliorate

Front

make better, better, make improvements to

Back

Section 5

(50 cards)

banal

Front

commonplace; boring

Back

sardonic

Front

satirical, sarcastic, ironical, ironic; cynical, scornful, contemptuous

Back

precocious

Front

(of a child) having developed certain abilities or proclivities at an earlier age than usual

Back

feasible

Front

possible

Back

novelty

Front

the quality of being new, original, or unusual; originality

Back

alacrity

Front

brisk and cheerful readiness

Back

palatable

Front

acceptable to the mind or senses

Back

starkness

Front

severe or bare in appearance or outline

Back

irreconcilable

Front

at odds, at variance, conflicting, clashing, antagonistic, mutually exclusive

Back

concordance

Front

formal agreement

Back

callow

Front

(esp. of a young person) inexperienced and immature

Back

strident

Front

loud and harsh

Back

calamitous

Front

disastrous

Back

languor

Front

1. fatigue, weariness, sleepiness, drowsiness; 2. stillness, tranquility

Back

decimate

Front

to destroy or kill a significant portion

Back

germane

Front

relevant; appropriate

Back

protean

Front

variable, changeable, mutable, kaleidoscopic, inconstant

Back

immaterial

Front

w/out relevance

Back

vicarious

Front

experienced in the imagination through the feelings or actions of another person

Back

diffident

Front

modest or shy because of a lack of self-confidence

Back

pundit

Front

an expert in a particular subject or field who is frequently called on to give opinions about it to the public

Back

racked

Front

she was racked with guilt: torment, afflict, torture, agonize, harrow; plague, bedevil, persecute, wrack, trouble, worry

Back

vacuous

Front

inane, unintelligent, insipid, foolish, stupid, fatuous, idiotic, brainless, witless, vapid, vacant

Back

abate

Front

to decrease; to recede

Back

querulous

Front

complaining in a petulant or whining manner

Back

zealot

Front

a person who is fanatical and uncompromising in pursuit of their religious, political, or other ideals

Back

hamper

Front

to prevent

Back

aplomb

Front

self-confidence or assurance

Back

callous

Front

insensitive

Back

ascetic

Front

austere, self-denying, abstinent, abstemious, self-disciplined, self-abnegating; simple

Back

quixotic

Front

exceedingly idealistic; unrealistic

Back

abet

Front

to aid; to act as an accomplice

Back

dissension

Front

disagreement

Back

levy

Front

1. impose (a tax, fee, or fine), 2. enlisting troops

Back

tangential

Front

diverging from a previous course or line; erratic: tangential thoughts hardly touching a matter; peripheral

Back

autonomy

Front

self-rule, home rule, self-determination, independence, sovereignty, freedom

Back

antiquarian

Front

relating to or dealing in antiques or rare books

Back

dissemination

Front

the act of spreading something, esp. information, widely; circulation

Back

insurgent

Front

rebellious

Back

palpable

Front

tangible, capable of being touched

Back

cathartic

Front

providing psychological relief through the open expression of strong emotions

Back

sacrilege

Front

violation or misuse of what is regarded as sacred

Back

libertine

Front

1. a person, esp. a man, who behaves without moral principles or a sense of responsibility, esp. in sexual matters. 2 a person who rejects accepted opinions in matters of religion; a freethinker

Back

abridge

Front

to condense, to shorten

Back

pallid

Front

pale

Back

reticence

Front

restraint, inhibition, diffidence, shyness

Back

heretical

Front

holding an opinion at odds with what is generally accepted

Back

debase

Front

to lower in quality or value

Back

dilettante

Front

amateur, nonprofessional, nonspecialist, layman, layperson

Back

profundity

Front

deep insight; great depth of knowledge or thought

Back

Section 6

(50 cards)

elliptical

Front

cryptic, abstruse, ambiguous, obscure, oblique

Back

interceded

Front

intervene on behalf of another

Back

fortuitous

Front

happening by accident or chance rather than design unanticipated, random

Back

nihilistic

Front

rejecting all religious and moral principles in the belief that life is meaningless: an embittered, nihilistic teenage

Back

dowager

Front

a widow with a title or property derived from her late husband dignified elderly woman

Back

tenuous(ly)

Front

very weak or slight

Back

ostentatious

Front

characterized by vulgar or pretentious display; designed to impress or attract notice

Back

dictum

Front

pronouncement, proclamation, direction, injunction, dictate, command, commandment, order, decree

Back

acquisitive

Front

excessively interested in acquiring money or material things

Back

irrefutable

Front

impossible to deny or disprove

Back

convivial

Front

(of an atmosphere or event) friendly, lively, and enjoyable (of a person) cheerful and friendly; jovial

Back

refutation

Front

prove (a statement or theory) to be wrong or false; disprove

Back

supersedes

Front

replace

Back

marginal

Front

slight, small, tiny, minute, insignificant

Back

aspersion

Front

an attack on the reputation or integrity of someone or something: I don't think anyone is casting aspersions on you

Back

diaphanous

Front

(esp. of fabric) light, delicate, and translucent

Back

irascibility

Front

having or showing a tendency to be easily angered

Back

interloper

Front

a person who becomes involved in a place or situation where they are not wanted or are considered not to belong

Back

bombastic

Front

pompous, blustering, turgid, verbose, orotund, high-flown, high-sounding, overwrought, pretentious, ostentatious, grandiloquent

Back

mitigated

Front

alleviate, reduce, diminish, lessen, weaken, lighten

Back

staunchly

Front

loyal and committed in attitude: a staunch supporter of the antinuclear lobby

Back

magisterial

Front

authoritative, masterful, assured, lordly, commanding, assertive

Back

lethargy

Front

a lack of energy and enthusiasm

Back

bureaucratization

Front

make a system of government in which most of the important decisions are made by state officials rather than by elected representatives

Back

jingoism

Front

extreme patriotism, chauvinism, extreme nationalism, xenophobia, flag-waving; hawkishness, militarism, belligerence, bellicosity

Back

monochromic

Front

representation or reproduction in black and white or in varying tones of only one color

Back

variegated

Front

multicolored, multicolor, many-colored, many-hued, polychromatic, varicolored, colorful, prismatic, rainbow, kaleidoscopic

Back

infighting

Front

hidden conflict or competitiveness within an organization boxing closer to an opponent than at arm's length.

Back

streamlined

Front

efficient, smooth-running, well run, slick; time-saving, labor-saving

Back

credence

Front

belief in or acceptance of something as true

Back

politicized

Front

make (someone) politically aware, esp. by persuading them of the truth of views considered radical

Back

pugnacious

Front

eager or quick to argue, quarrel, or fight

Back

The triangle inequality states that...

Front

three lengths can be the lengths of the sides of a triangle if and only if each length is shorter than the sum of the other two lengths.

Back

sensationalism

Front

(esp. in journalism) the use of exciting or shocking stories or language at the expense of accuracy, in order to provoke public interest or excitement

Back

anomalous

Front

deviating from what is standard, normal, or expected

Back

perfidy

Front

duplicity, deceit, deceitfulness, disloyalty, infidelity, faithlessness, unfaithfulness, betrayal

Back

decorous

Front

proper, seemly, decent, becoming, befitting, tasteful; correct, appropriate, suitable, fitting; tactful

Back

steadfast

Front

resolutely or dutifully firm and unwavering: steadfast loyalty

Back

inimitably

Front

so good or unusual as to be impossible to copy; unique

Back

ossified

Front

become inflexible, become rigid, fossilize, calcify, rigidify, stagnate

Back

wanton

Front

deliberate, willful, malicious, spiteful, wicked, cruel

Back

defunct

Front

no longer existing, discontinued

Back

maverick

Front

an unorthodox or independent-minded person

Back

purveyor

Front

seller, vendor, retailer, supplier, trader, peddler, hawker

Back

"whereby"

Front

the meaning of which ("by which")

Back

pliant

Front

flexible, easily influenced

Back

propitiatory

Front

win or regain the favor of (a god, spirit, or person) by doing something that pleases them: the pagans thought it was important to propitiate the gods with sacrifices

Back

panache

Front

flamboyant confidence of style or manner

Back

egalitarian

Front

of, relating to, or believing in the principle that all people are equal and deserve equal rights and opportunities

Back

equivocated

Front

be evasive, be noncommittal, be vague, be ambiguous, dodge the question, beat around the bush

Back

Section 7

(50 cards)

scuttled

Front

run hurriedly or furtively with short quick steps: a mouse scuttled across the floor

Back

insolvent

Front

bankrupt, ruined

Back

substantiated

Front

provide evidence to support or prove the truth of

Back

amalgam

Front

a mixture or blend: a curious amalgam of the traditional and the modern

Back

imprudent

Front

unwise, injudicious, incautious, indiscreet, misguided

Back

hubris

Front

excessive pride or self-confidence

Back

ubiquity

Front

present, appearing, or found everywhere

Back

corroborated

Front

confirmed

Back

satirical

Front

mocking, ironic, ironical, satiric, sarcastic, sardonic

Back

quizzical

Front

inquiring, questioning, curious

Back

occlusion

Front

the act of blocking something or a specific blockage

Back

impetuosity

Front

acting or done quickly and without thought or care: her friend was headstrong and impetuous. moving forcefully or rapidly: an impetuous but controlled flow of water

Back

floundered

Front

to stumble or break down, struggle

Back

provisionary

Front

conditional, temporary

Back

indomitable

Front

impossible to subdue or defeat: a woman of indomitable spirit

Back

enigmatic

Front

mysterious

Back

innocuous

Front

not harmful or offensive: it was an innocuous question

Back

valor

Front

bravery

Back

*smaller the slope...

Front

thicker the graph

Back

sedate

Front

calm

Back

placid

Front

even-tempered, calm, tranquil, equable, unexcitable

Back

denuded

Front

strip (something) of its covering, possessions, or assets; make bare: almost overnight the Arctic was denuded of animals.

Back

trivialize

Front

treat as unimportant

Back

circumscribed

Front

restricted or limited

Back

despoiled

Front

steal or violently remove valuable or attractive possessions from; plunder: the church was despoiled of its marble wall covering.

Back

assertion

Front

declaration, statement

Back

charlatan

Front

cheat

Back

can split polygons (ex: pentagons) into...

Front

TRIANGLES

Back

credulity

Front

a tendency to be too ready to believe that something is real or true

Back

estrangement

Front

the estrangement between Vita and her family: alienation, antagonism, antipathy, disaffection, hostility, unfriendliness

Back

officious

Front

unwanted help, self-important, bumptious, self-assertive, overbearing, overzealous, domineering, opinionated, interfering, intrusive, meddlesome

Back

*bigger the slope...

Front

thinner the graph

Back

ebb

Front

dying out

Back

rancorous

Front

bitterly hated

Back

tempered

Front

moderated

Back

debilitated

Front

weakened

Back

obstinacy

Front

stubbornness, inflexibility

Back

veer

Front

turn, swerve, curve, swing, sheer, career, weave, wheel; change direction, change course, go off course, deviate.

Back

astute

Front

shrewd, sharp, acute, adroit, quick, clever

Back

redolent

Front

evocative, suggestive, reminiscent

Back

callousness

Front

insensitive & cruel regard toward others

Back

morbidity

Front

characterized by or appealing to an abnormal and unhealthy interest in disturbing and unpleasant subjects, esp. death and disease

Back

y is directly proportional to x^2

Front

means "y=kx^2"

Back

autonomous

Front

self-governing, self-ruling

Back

myopic

Front

short-sighted

Back

punctilious

Front

very careful w/ small details

Back

forthrightness

Front

(of a person or their manner or speech) direct and outspoken; straightforward and honest

Back

irresolute

Front

indecisive, uncertain

Back

waft

Front

pass or cause to pass easily or gently through or as if through the air

Back

concession

Front

compromise, acceptance, surrender

Back

Section 8

(50 cards)

mediated

Front

peacemaker

Back

perennial

Front

everlasting, perpetual

Back

impetuousness

Front

acting or done quickly and without thought or care: her friend was headstrong and impetuous

Back

burgeoned

Front

begin to grow or increase rapidly; flourish

Back

Reciprocate

Front

respond to (a gesture or action) by making a corresponding one"the favor was reciprocated"

Back

lionized

Front

celebrate, fête, glorify, honor, exalt

Back

nonporous

Front

(of a substance) not allowing liquid or air to pass through it; not porous

Back

coveted

Front

desire, yearn for, crave

Back

tenuous

Front

very weak or slight

Back

imprecation

Front

a spoken curse

Back

orthodox

Front

traditional

Back

Tenable

Front

able to be maintained or defended against attack or objection"such a simplistic approach is no longer tenable" (of an office, position, scholarship, etc.) able to be held or used"the post is tenable for three years"

Back

guileless

Front

innocent and without deception, naive

Back

inhibition

Front

1.shyness, reticence, self-consciousness 2. hinderance, obstruction

Back

impassioned

Front

emotional, heartfelt

Back

Flotsam

Front

people or things that have been rejected and are regarded as worthless"the room was cleared of boxes and other flotsam"

Back

avenger

Front

inflict harm on behalf of (oneself or someone else previously wronged or harmed): we must avenge our dead

Back

cajoling

Front

persuade, coax

Back

interposed

Front

place or insert between one thing and another

Back

immutable

Front

fixed, set, rigid, inflexible, permanent, established

Back

NOT opposition "against"

Front

opposition "to"

Back

vilified

Front

disparage, denigrate, defame, run down, revile, abuse

Back

ephemeral

Front

temporary, transitory

Back

Impugned

Front

dispute the truth, validity, or honesty of (a statement or motive); call into question"the father does not impugn her capacity as a good mother"

Back

Laconic

Front

Talk using few words

Back

transitory

Front

transient, temporary, brief, short, ephemeral

Back

teem

Front

be full of or swarming with

Back

intransigence

Front

a stubborn refusal to change your views

Back

Disingenuous

Front

Not candid or sincere

Back

indeterminate

Front

undetermined, uncertain, unknown

Back

effrontery

Front

insolent or impertinent behavior, imprudence

Back

anachronistic

Front

in the wrong time period

Back

desecration

Front

to violate the sanctity of, disrespect

Back

galvanized

Front

shock or excite (someone), typically into taking action: the urgency of his voice galvanized them into action

Back

complacent

Front

smug, self-satisfied

Back

Emphatic

Front

showing or giving emphasis; expressing something forcibly and clearly"the children were emphatic that they would like to repeat the experience"

Back

synergy

Front

combined effort

Back

Phlegmatic

Front

(of a person) having an unemotional and stolidly calm disposition

Back

Raiment

Front

clothing"ladies clothed in raiment bedecked with jewels"

Back

extrapolation

Front

to infer

Back

accosted

Front

confront, call to, shout to, hail, address

Back

attenuated

Front

1 attenuated fingers: thin, slender, narrow, slim, skinny, spindly, bony; rare attenuate 2 the patient's muscle activity was much attenuated: weakened, reduced, lessened, decreased, diminished, impaired

Back

stagnation

Front

still

Back

prosaic

Front

ordinary, everyday

Back

litigiousness

Front

concerned with lawsuits or litigation

Back

ambivalent

Front

having mixed feelings

Back

NOT the "most" number

Front

the "largest" number

Back

itinerant

Front

wanderer, traveler

Back

Reconnaissance

Front

military observation of a region to locate an enemy or ascertain strategic features"an excellent aircraft for low-level reconnaissance" preliminary surveying or research"conducting client reconnaissance"

Back

genial

Front

friendly, affable

Back

Section 9

(50 cards)

sanctimonious

Front

righteous, making a show of being morally superior to other people

Back

reticent

Front

reserved

Back

dichotomies

Front

a division or contrast between two things that are or are represented as being opposed or entirely different

Back

revisionists

Front

often derogatory a policy of revision or modification, esp. of Marxism on evolutionary socialist (rather than revolutionary) or pluralist principles. • the theory or practice of revising one's attitude to a previously accepted situation or point of view.

Back

Neither "donna" nor "Mahenoor"

Front

Believe, singular bc separated by "nor"

Back

miscreants

Front

criminal

Back

recessive

Front

withdrawn, or detached, and tending to recede

Back

vertex

Front

each angular point of a polygon, polyhedron, or other figure

Back

levity

Front

lightheartedness, high spirits, vivacity, liveliness, cheerfulness, cheeriness, humor, gaiety, fun, jocularity, hilarity, frivolity

Back

Preeminence

Front

quality of having superior rank or importance

Back

Indecisive

Front

With doubt

Back

vitality

Front

power of endurance

Back

Tenuous

Front

Thin or shaky

Back

Dry humor

Front

Subtle or understated humor

Back

Ineffable

Front

Indescribable

Back

Retrenchment

Front

cutting back on expenses

Back

bifurcations

Front

the division of something into two branches or parts

Back

reverential

Front

great respect

Back

Decisive

Front

Without doubt

Back

deferential

Front

respectful

Back

irresolute

Front

showing or feeling hesitancy; uncertain: she stood irresolute outside his door

Back

bereft of

Front

deprived of

Back

bellicose

Front

aggressive

Back

chicanery

Front

the use of trickery to achieve a political, financial, or legal purpose

Back

prolific

Front

plentiful, abundant

Back

Unequivocal

Front

clear and without a doubt

Back

panacea

Front

universal cure

Back

Incorrigible

Front

Stubborn

Back

clairvoyant

Front

psychic

Back

misnomer

Front

a wrong or inaccurate name or designation

Back

lassitude

Front

lethargy, listlessness, weariness, languor, sluggishness, tiredness, fatigue

Back

bucolic

Front

of or relating to the pleasant aspects of the countryside and country life

Back

mitigated

Front

alleviate, reduce, diminish, lessen, weaken

Back

impetuous

Front

acting or done quickly and without thought or care: her friend was headstrong and impetuous. • moving forcefully or rapidly: an impetuous but controlled flow of water.

Back

profiteer

Front

make or seek to make an excessive or unfair profit, esp. illegally or in a black market: (as noun profiteering) : the profiteering of tabloid journalists.

Back

deterrent

Front

a thing that discourages or is intended to discourage someone from doing something

Back

perused

Front

read, study, examine

Back

propulsion

Front

putting something foreward

Back

momentum

Front

energy, force, power

Back

anomilies

Front

something that deviates from what is standard, normal, or expected

Back

vector

Front

an organism, such as an insect, that transmits pollen

Back

remonstrate

Front

make a forcefully reproachful protest

Back

stringent

Front

strict, firm

Back

totalitarian

Front

a totalitarian regime: autocratic, undemocratic, one-party, dictatorial, tyrannical, despotic, fascist, oppressive, repressive, illiberal

Back

precursor

Front

a person or thing that comes before another of the same kind; a forerunner

Back

sundry

Front

various, miscellaneous

Back

absolutist

Front

the acceptance of or belief in absolute principles in political, philosophical, ethical, or theological matters

Back

antipodes

Front

direct opposites

Back

Effusive

Front

Enthusiastic

Back

lugubrious

Front

looking or sounding sad and dismal

Back

Section 10

(50 cards)

negative slope

Front

negative infinity

Back

filial

Front

a display of filial affection: dutiful, devoted, compliant, respectful, affectionate, loving

Back

infidelity

Front

disloyalty

Back

futility

Front

pointlessness or uselessness: the horror and futility of war

Back

auspicious

Front

favorable, propitious, promising, rosy, good, encouraging

Back

funerary

Front

relating to a funeral or the commemoration of the dead: funerary ceremonies

Back

chauvinistic

Front

feeling or displaying aggressive or exaggerated patriotism. • displaying excessive or prejudiced support for one's own cause, group, or sex.

Back

indictment

Front

1 Law a formal charge or accusation of a serious crime: an indictment for conspiracy. • the action of indicting or being indicted: the indictment of twelve people who had imported cocaine. 2 a thing that serves to illustrate that a system or situation is bad and deserves to be condemned: these rapidly escalating crime figures are an indictment of our society.

Back

eulogy

Front

a speech or piece of writing that praises someone or something highly, typically someone who has just died

Back

temporize

Front

he temporized for weeks, hoping the problem would go away: equivocate, procrastinate, play for time

Back

shroud

Front

something that cloaks or covers

Back

formidable

Front

inspiring fear or respect through being impressively large, powerful, intense, or capable: a formidable opponent

Back

vacillated

Front

alternate or waver between different opinions or actions; be indecisive

Back

ambiguous

Front

obscure, unclear

Back

precarious

Front

those steps look a bit precarious: uncertain, insecure, unpredictable, risky, parlous, hazardous, dangerous, unsafe

Back

intermittent

Front

intermittent bursts of gunfire: sporadic, irregular, fitful, spasmodic, broken, fragmentary

Back

comely

Front

(typically of a woman) pleasant to look at; attractive

Back

mercenary

Front

money-oriented, grasping, greedy, acquisitive, avaricious, covetous, bribable, venal, materialistic

Back

sedulous

Front

diligent, careful, meticulous, thorough, assiduous

Back

prosaic

Front

ordinary

Back

treacly

Front

overly sentimental

Back

concord

Front

agreement, harmony, accord, consensus

Back

dislodge

Front

knock or force out of position: the hoofs of their horses dislodged loose stones. • remove from a position of power or authority: government opponents failed to dislodge the prime minister

Back

positive slope

Front

positive infinity

Back

judicious

Front

sensible

Back

convival

Front

(of an atmosphere or event) friendly, lively, and enjoyable (of a person) cheerful and friendly; jovial

Back

ineffable

Front

indescribable

Back

in quadratic function: g(x)= ax^2 + bx + c ...a affects & c affects

Front

+a: graph open up, -a: graph open down +c: positive y- int, -c: negative y- int

Back

quelled

Front

1 troops quelled the unrest: put an end to, put a stop to, end, crush, put down, check, crack down on, curb, nip in the bud, squash, quash, subdue, suppress, overcome; informal squelch. 2 he quelled his misgivings: calm, soothe, pacify, settle, quiet, silence, allay, assuage, mitigate, moderate; literary stay.

Back

avuncular

Front

1 of or relating to an uncle. • kind and friendly toward a younger or less experienced person: an avuncular manner. 2 Anthropology of or relating to the relationship between men and their siblings' children.

Back

conflagration

Front

an extensive fire that destroys a great deal of land or property

Back

infelicity

Front

a thing that is inappropriate, esp. a remark or expression: she winced at their infelicities and at the clumsy way they talked.

Back

equitable

Front

fair and impartial

Back

propensity

Front

his propensity for giving long speeches: tendency, inclination, predisposition, proneness, proclivity

Back

remiss

Front

I would be remiss if I did not thank my sister: negligent, neglectful, irresponsible, careless, thoughtless, heedless, lax, slack, slipshod, lackadaisical

Back

cursory

Front

hasty and therefore not thorough or detailed

Back

contemptuous

Front

the contemptuous look on your face says it all: scornful, disdainful, disrespectful, insulting, insolent, derisive, mocking, sneering

Back

vindication

Front

clear (someone) of blame or suspicion

Back

dalliance

Front

a casual romantic or sexual relationship. • brief or casual involvement with something: Berkeley was my last dalliance with the education system.

Back

consecrated

Front

sanctify, bless, make holy, make sacred; dedicate to God

Back

equitable

Front

fair and impartial: an equitable balance of power

Back

autonomy

Front

self-rule

Back

mellifluous

Front

sweet-sounding, dulcet, honeyed, mellow, soft, liquid, silvery, soothing

Back

petulant

Front

(of a person or their manner) childishly sulky or bad-tempered: he was moody and petulant | a petulant shake of the head

Back

cacophonous

Front

noisy, loud, ear-splitting, raucous, discordant, dissonant, jarring, grating, inharmonious

Back

consummate

Front

complete

Back

disparaging

Front

expressing the opinion that something is of little worth; derogatory: disparaging remarks about public housing

Back

abash (n)

Front

shame

Back

polarized

Front

divide or cause to divide into two sharply contrasting groups or sets of opinions or beliefs

Back

fidelity

Front

faithfulness, loyalty, constancy; trueheartedness, trustworthiness, dependability

Back

Section 11

(50 cards)

commensurate

Front

corresponding in size or degree; in proportion: salary will be commensurate with experience

Back

stagnation

Front

(of water or air) cease to flow or move; become stagnant. • cease developing; become inactive or dull: teaching can easily stagnate into a set of routines | (as adj. stagnating) : stagnating consumer confidence.

Back

trepidation

Front

fear, apprehension, dread, fearfulness, fright, agitation, anxiety, worry, nervousness

Back

dogmatic

Front

inclined to lay down principles as incontrovertibly true: he gives his opinion without trying to be dogmatic.

Back

ephemeral

Front

last year's ephemeral fashions: transitory, transient, fleeting, passing, short-lived, momentary, brief, short; temporary, impermanent, short-term; fly-by-night

Back

autonomous

Front

an autonomous republic: self-governing, self-ruling, self-determining, independent, sovereign, free, unmonitored.

Back

protracted

Front

lasting for a long time or longer than expected or usual: a protracted and bitter dispute.

Back

jocularity

Front

fond of or characterized by joking; humorous or playful: she sounded in a jocular mood | his voice was jocular

Back

deriding

Front

the kid I used to deride in junior high is now my boss: ridicule, mock, scoff at, jibe at, make fun of, poke fun at, laugh at

Back

thresholds

Front

1 the threshold of the church: doorstep, doorway, entrance, entry, door, gate, gateway, portal, doorsill. 2 the threshold of a new era: start, beginning, commencement, brink, verge, cusp, dawn, inception, day one, opening, debut; informal kickoff. 3 the human threshold of pain: lower limit, minimum.

Back

recede

Front

1 the floodwaters receded: retreat, go back, go down, move back, move away, withdraw, ebb, subside, abate. ANTONYMS advance, approach. 2 the lights receded into the distance: disappear from view, fade, be lost to view, pass from sight. 3 fears of violence have receded: diminish, lessen, decrease, dwindle, fade, abate, subside, ebb, wane. ANTONYMS intensify, grow.

Back

coinciding

Front

1 the events coincided: occur simultaneously, happen together, be concurrent, concur, coexist. 2 their interests do not always coincide: correspond, tally, agree, accord, concur, match, fit, be consistent, equate, harmonize, be compatible

Back

ambivalent

Front

having mixed feelings or contradictory ideas about something or someone: some loved her, some hated her, few were ambivalent about her | an ambivalent attitude to technology

Back

conspicuous

Front

a tropical vine with conspicuous blossoms: easily seen, clear, visible, noticeable, discernible, perceptible, detectable; obvious, manifest, evident, apparent, marked

Back

raucous

Front

making or constituting a disturbingly harsh and loud noise: raucous youths.

Back

appraisals

Front

an act of assessing something or someone: treatment begins with a thorough appraisal of the patient's condition | the report has been subject to appraisal. • an expert estimate of the value of something: the final figure is just a little more than triple the appraisal.

Back

adulation

Front

obsequious flattery; excessive admiration or praise: he found it difficult to cope with the adulation of the fans.

Back

disseminate

Front

spread or disperse

Back

clauses

Front

a new clause in the treaty: section, paragraph, article, subsection; stipulation, condition, proviso, rider.

Back

stymied

Front

prevent or hinder the progress of: the changes must not be allowed to stymie new medical treatments.

Back

joviality

Front

cheerful and friendly: she was in a jovial mood

Back

inadvertently

Front

without intention; accidentally: his name had been inadvertently omitted from the list.

Back

blitheness

Front

showing a casual and cheerful indifference considered to be callous or improper: a blithe disregard for the rules of the road. • happy or joyous: a blithe seaside comedy.

Back

converge

Front

(of several people or things) come together from different directions so as eventually to meet

Back

decried

Front

denounce, condemn, criticize, censure, attack, rail against, run down

Back

liberality

Front

1. the quality of giving or spending freely. 2. the quality of being open to new ideas and free from prejudice. "liberality toward bisexuality"

Back

soliciting

Front

1 Phil tried to solicit his help: ask for, request, seek, apply for, put in for, call for, press for, beg, plead for. 2 they are solicited for their opinions: ask, petition, importune, implore, plead with, entreat, appeal to, lobby, beg, supplicate, call on, press; literary beseech.

Back

elliptical

Front

1 (of speech or writing) using or involving ellipsis, esp. so as to be difficult to understand: an elliptical lyrical style.

Back

incumbent

Front

1 [ predic. ] (incumbent on/upon) necessary for (someone) as a duty or responsibility: it is incumbent on all decent people to concentrate on destroying this evil. 2 [ attrib. ] (of an official or regime) currently holding office: the incumbent president had been defeated.

Back

hitherto

Front

previously, formerly, earlier, before, beforehand; so far, thus far, to date, as yet, until now

Back

discursive

Front

1 dull, discursive prose: rambling, digressive, meandering, wandering, maundering, diffuse, long, lengthy, wordy, verbose, long-winded, prolix; circuitous, roundabout, circumlocutory; informal waffly. 2 an elegant discursive style: fluent, flowing, fluid, eloquent, expansive.

Back

circuitous

Front

(of a route or journey) longer than the most direct way: the canal followed a circuitous route | figurative : a circuitous line of reasoning.

Back

cumbersome

Front

1 a cumbersome diving suit: unwieldy, unmanageable, awkward, clumsy, inconvenient, incommodious; bulky, large, heavy, hefty, weighty, burdensome; informal hulking, clunky. 2 cumbersome procedures: complicated, complex, involved, inefficient, unwieldy, slow.

Back

conceded

Front

1 [ reporting verb ] admit that something is true or valid after first denying or resisting it: [ with clause ] : I had to concede that I'd overreacted | [ with obj. ] : that principle now seems to have been conceded. • [ with obj. ] admit (defeat) in a contest: he conceded defeat. • [ with obj. ] admit defeat in (a contest): ready to concede the gold medal. 2 [ with obj. ] surrender or yield (something that one possesses): to concede all the territory he'd won. • grant (a right, privilege, or demand): their rights to redress of grievances were conceded once more. • (in sports) fail to prevent the scoring of (a goal or point) by an opponent: the coach conceded three safeties rather than kick into the wind. • allow (a lead or advantage) to slip: he took an early lead that he never conceded.

Back

intransigence

Front

unwilling or refusing to change one's views or to agree about something.

Back

reviling

Front

he was reviled as a traitor: criticize, censure, condemn, attack, inveigh against, rail against, castigate, lambaste, denounce; slander, libel

Back

eclectic

Front

an eclectic mix of party music: wide-ranging, broad-based, extensive, comprehensive, encyclopedic; varied, diverse, catholic, all-embracing, multifaceted, multifarious, heterogeneous, miscellaneous, assorted.

Back

fundamentalism

Front

a form of a religion, especially Islam or Protestant Christianity, that upholds belief in the strict, literal interpretation of scripture. • strict adherence to the basic principles of any subject or discipline: free-market fundamentalism.

Back

lofty

Front

1 of imposing height: the elegant square was shaded by lofty palms. • of a noble or exalted nature: an extraordinary mixture of harsh reality and lofty ideals. • proud, aloof, or self-important: lofty intellectual disdain. 2 (of wool and other textiles) thick and resilient

Back

vilified

Front

speak or write about in an abusively disparaging manner: he has been vilified in the press.

Back

adverse to

Front

preventing success or development; harmful; unfavorable

Back

vacillate

Front

alternate or waver between different opinions or actions; be indecisive

Back

dogmatism

Front

the tendency to lay down principles as incontrovertibly true, without consideration of evidence or the opinions of others: a culture of dogmatism and fanaticism.

Back

cantankerous

Front

bad-tempered, argumentative, and uncooperative: a crusty, cantankerous old man.

Back

callous

Front

showing or having an insensitive and cruel disregard for others: his callous comments about the murder made me shiver.

Back

efficacious

Front

(typically of something inanimate or abstract) successful in producing a desired or intended result; effective: the vaccine has proved both efficacious and safe.

Back

doctrinaire

Front

she is by no means a doctrinaire conservative: dogmatic, rigid, inflexible, uncompromising; authoritarian, intolerant, fanatical, zealous, extreme.

Back

sedate

Front

calm, dignified, and unhurried

Back

amenable

Front

(of a person) open and responsive to suggestion; easily persuaded or controlled: parents who have had easy babies and amenable children. • [ predic. ] (amenable to) (of a thing) capable of being acted upon in a particular way; susceptible to: the patients had cardiac failure not amenable to medical treatment.

Back

effrontery

Front

insolent or impertinent behavior: one juror had the effrontery to challenge the coroner's decision.

Back

Section 12

(50 cards)

ardor

Front

approaching the project with ardor: passion, fervor, zeal, vehemence, intensity, verve, fire, emotion; enthusiasm, eagerness, avidity, gusto, keenness, dedication.

Back

jocular

Front

fond of or characterized by joking; humorous or playful

Back

inscrutable

Front

impossible to understand or interpret: Guy looked blankly inscrutable.

Back

dilatory

Front

slow

Back

orthodox

Front

1 orthodox views: conventional, mainstream, conformist, established, well-established, traditional, traditionalist, prevalent, popular, conservative, unoriginal. 2 an orthodox Hindu: conservative, traditional, observant, devout, strict.

Back

hackneyed

Front

your hackneyed arguments fail to persuade anyone: overused, overdone, overworked, worn out, timeworn, platitudinous, vapid, stale

Back

constitute

Front

be (a part) of a whole: single parents constitute a great proportion of the poor. • (of people or things) combine to form (a whole): there were enough members present to constitute a quorum. • be or be equivalent to (something): his failure to act constituted a breach of duty.

Back

licentiousness

Front

1 promiscuous and unprincipled in sexual matters. 2 archaic disregarding accepted rules or conventions, esp. in grammar or literary style.

Back

resilient

Front

(of a substance or object) able to recoil or spring back into shape after bending, stretching, or being compressed. • (of a person or animal) able to withstand or recover quickly from difficult conditions: the fish are resilient to most infections.

Back

impunity

Front

exemption from punishment or freedom from the injurious consequences of an action: the impunity enjoyed by military officers implicated in civilian killings | protesters burned flags on the streets with impunity

Back

ubiquitous

Front

present, appearing, or found everywhere: his ubiquitous influence was felt by all the family | cowboy hats are ubiquitous among the male singers.

Back

alacrity

Front

brisk and cheerful readiness: she accepted the invitation with alacrity.

Back

metropolis

Front

the capital or chief city of a country or region

Back

discrepancy

Front

a lack of compatibility or similarity between two or more facts: there's a discrepancy between your account and his.

Back

ebullient

Front

exuberant, buoyant, cheerful, joyful, cheery, merry, jolly, sunny, jaunty, lighthearted

Back

profusion

Front

abundance

Back

soporific

Front

tending to induce drowsiness or sleep: the motion of the train had a somewhat soporific effect. • sleepy or drowsy: some medicine made her soporific. • tediously boring or monotonous: a libel trial is in large parts intensely soporific.

Back

polemical

Front

critical, hostile, bitter, polemic, virulent, vitriolic, venomous, caustic, trenchant

Back

galvanized

Front

the reverend's words galvanized our group into action: jolt, shock, startle, impel, stir, spur, prod, urge, motivate, stimulate

Back

sanguine

Front

optimistic, bullish, hopeful

Back

facetious

Front

treating serious issues with deliberately inappropriate humor; flippant

Back

malleable

Front

1 a malleable substance: pliable, ductile, plastic, pliant, soft, workable. ANTONYMS hard. 2 a malleable young woman: easily influenced, suggestible, susceptible, impressionable, pliable, amenable, compliant, tractable; biddable, complaisant, manipulable, persuadable, like putty in someone's hands.

Back

placid

Front

(of a person or animal) not easily upset or excited: this horse has a placid nature. • (esp. of a place or stretch of water) calm and peaceful, with little movement or activity: the placid waters of a small lake.

Back

surly

Front

bad-tempered and unfriendly: he left with a surly expression

Back

propitious

Front

giving or indicating a good chance of success; favorable

Back

conjecture

Front

an opinion or conclusion formed on the basis of incomplete information

Back

incongruity

Front

not in harmony or keeping with the surroundings or other aspects of something

Back

contrived

Front

forced, strained, studied, artificial, affected

Back

sedulous

Front

(of a person or action) showing dedication and diligence: he watched himself with the most sedulous care.

Back

prescient

Front

having or showing knowledge of events before they take place: a prescient warning.

Back

subsidize

Front

support (an organization or activity) financially: it was beyond the power of a state to subsidize a business.

Back

opaque

Front

not able to be seen through; not transparent: the windows were opaque with steam. • (esp. of language) hard or impossible to understand; unfathomable: technical jargon that was opaque to her.

Back

fulsome

Front

1 complimentary or flattering to an excessive degree: they are almost embarrassingly fulsome in their appreciation. 2 of large size or quantity; generous or abundant: a fulsome harvest.

Back

transient

Front

transitory, temporary, short-lived, short-term, ephemeral, impermanent, brief, short, momentary

Back

equanimity

Front

mental calmness, composure, and evenness of temper, esp. in a difficult situation: she accepted both the good and the bad with equanimity.

Back

disparage

Front

regard or represent as being of little worth: he never missed an opportunity to disparage his competitors.

Back

reticent

Front

not revealing one's thoughts or feelings readily: she was extremely reticent about her personal affairs.

Back

lauds

Front

praise, extol, hail, applaud, acclaim, commend, sing the praises of, speak highly of

Back

baleful

Front

menacing, threatening, unfriendly, hostile, antagonistic, evil, evil-intentioned

Back

avuncular

Front

1 of or relating to an uncle. • kind and friendly toward a younger or less experienced person: an avuncular manner. 2 Anthropology of or relating to the relationship between men and their siblings' children.

Back

vindicate

Front

clear (someone) of blame or suspicion: hospital staff were vindicated by the inquest verdict. • show or prove to be right, reasonable, or justified: more sober views were vindicated by events.

Back

inundation

Front

1 an overwhelming abundance of people or things: we see an inundation of campaign posters. 2 flooding: the annual inundation of the Nile | areas at risk of inundation.

Back

somnolent

Front

sleepy; drowsy. • causing or suggestive of drowsiness: a somnolent summer day. • Medicine abnormally drowsy.

Back

dogmatic

Front

opinionated, peremptory, assertive, insistent, emphatic, adamant, doctrinaire

Back

treatise

Front

a treatise on the principles of democracy: disquisition, essay, paper, work, exposition, discourse, dissertation, thesis, monograph, opus, oeuvre, study, critique; tract, pamphlet, account.

Back

emporium

Front

a large retail store selling a wide variety of goods a business establishment that specializes in products or services on a large scale (often used for humorously formal effect)

Back

eschew

Front

abstain from, refrain from, give up, forgo

Back

tractable

Front

malleable, manageable, amenable, pliable, governable, yielding, complaisant, compliant, game, persuadable, accommodating, docile

Back

obdurate

Front

stubbornly refusing to change one's opinion or course of action

Back

reticent

Front

not revealing one's thoughts or feelings readily: she was extremely reticent about her personal affairs.

Back

Section 13

(50 cards)

effacement

Front

erase (a mark) from a surface make oneself appear insignificant or inconspicuous.

Back

slipshod

Front

careless, lackadaisical, slapdash, disorganized, haphazard, hit-or-miss, untidy

Back

anachronistic

Front

a thing belonging or appropriate to a period other than that in which it exists, esp. a thing that is conspicuously old-fashioned: everything was as it would have appeared in centuries past apart from one anachronism, a bright yellow construction crane. • an act of attributing a custom, event, or object to a period to which it does not belong. DERIVATIVES

Back

inversely proportional

Front

xk= y

Back

proponents

Front

advocate, champion, supporter, backer, promoter, protagonist, campaigner, booster, cheerleader.

Back

quadrilaterals

Front

360 degrees

Back

susceptible

Front

1 likely or liable to be influenced or harmed by a particular thing: patients with liver disease may be susceptible to infection. • (of a person) easily influenced by feelings or emotions; sensitive: they only do it to tease him—he's too susceptible.

Back

reproach

Front

reprimand

Back

engender

Front

be the cause of

Back

corollary

Front

consequence, result, end result, upshot, effect, repercussion, product, by-product, offshoot.

Back

dissonance

Front

lack of harmony among musical notes

Back

apolitical

Front

not interested or involved in politics: a former apolitical housewife.

Back

adroit

Front

clever or skillful in using the hands or mind: he was adroit at tax avoidance.

Back

curtails

Front

reduce

Back

ascertain

Front

find out, discover, get to know, work out, make out

Back

husbandry

Front

1 the care, cultivation, and breeding of crops and animals: crop husbandry. 2 management and conservation of resources.

Back

resolute

Front

determined

Back

nonpartisans

Front

a lack of affiliation with a political party

Back

corrective

Front

remedial

Back

stockpiling

Front

a large accumulated stock of goods or materials, esp. one held in reserve for use at a time of shortage or other emergency

Back

extirpation

Front

root out and destroy completely

Back

subversive

Front

disruptive troublemaker

Back

precursor

Front

a person or thing that comes before another of the same kind; a forerunner

Back

poignant

Front

evoking a keen sense of sadness or regret: a poignant reminder of the passing of time

Back

fissure

Front

• a state of incompatibility or disagreement: the fissure between private sector business and the newly expanding public sector. verb [ with obj. ] (usu. as adj. fissured) split or crack (something) to form a long narrow opening: the skin becomes dry, fissured, and cracked.

Back

centennial

Front

of or relating to a hundredth anniversary

Back

opulence

Front

great wealth or luxuriousness

Back

sophistry

Front

the use of fallacious arguments, esp. with the intention of deceiving. • a fallacious argument.

Back

doctrinaire

Front

dogmatic, rigid, inflexible, uncompromising; authoritarian, intolerant, fanatical, zealous, extreme

Back

seditious

Front

inciting or causing people to rebel against the authority of a state or monarch: the letter was declared seditious.

Back

patronage

Front

1 art patronage: sponsorship, backing, funding, financing, promotion, assistance, support. 2 political patronage: power of appointment, favoritism, nepotism, preferential treatment, cronyism, pork-barreling. 3 thank you for your patronage: custom, trade, business.

Back

integrates

Front

combine

Back

cataloged

Front

a complete list of items, typically one in alphabetical or other systematic order, in particular

Back

altruism

Front

the belief in or practice of disinterested and selfless concern for the well-being of others

Back

receptivity

Front

able or willing to receive something, esp. signals or stimuli.

Back

proportional

Front

y=kx

Back

byzantine

Front

situation) excessively complicated, typically involving a great deal of administrative detail: Byzantine insurance regulations. • characterized by deviousness or underhanded procedure: Byzantine intrigues | he has the most Byzantine mind in politics.

Back

pedagogy

Front

the method and practice of teaching, esp. as an academic subject or theoretical concept

Back

multifarious

Front

diverse, many, numerous, various, varied, diversified, multiple, multitudinous

Back

pertinent

Front

relevant or applicable to a particular matter; apposite

Back

autonomy

Front

self-gov

Back

arcane

Front

mysterious

Back

tout

Front

1 street merchants were touting their wares: peddle, sell, hawk, offer for sale, promote. 2 cab drivers were touting for business: solicit, seek, drum up; ask for, petition for, appeal for. 3 she's being touted as the next party leader: recommend, speak of, extol, advocate, talk of; predict.

Back

consummate

Front

complete something or highly skilled

Back

insurrectionists

Front

a violent uprising against an authority or government: the insurrection was savagely put down | opposition to the new regime led to armed insurrection.

Back

distension

Front

swell or cause to swell by pressure from inside

Back

vitriolic

Front

filled with bitter criticism or malice: vitriolic attacks on the politicians | vitriolic outbursts.

Back

obsequious

Front

obedient or attentive to an excessive or servile degree

Back

extrapolated

Front

estimate or conclude (something) by extrapolating

Back

acumen

Front

astuteness, shrewdness, acuity, sharpness, sharp-wittedness, cleverness, smartness, brains; judgment, understanding, awareness, sense, common sense, canniness

Back

Section 14

(50 cards)

backlash

Front

1 [ in sing. ] a strong and adverse reaction by a large number of people, esp. to a social or political development: a public backlash against racism. 2 recoil arising between parts of a mechanism. • degree of play between parts of a mechanism.

Back

aggrandize

Front

increase the power, status, or wealth of: an action intended to aggrandize the Frankish dynasty. • enhance the reputation of (someone) beyond what is justified by the facts: he hoped to aggrandize himself by dying a hero's death.

Back

soporific

Front

1 soporific drugs: sleep-inducing, sedative, somnolent, calmative, tranquilizing, narcotic, opiate; drowsy, sleepy, somniferous; Medicine hypnotic. ANTONYMS invigorating. 2 a soporific TV drama: boring, tedious, tired, dreary, turgid, dry

Back

pervasive

Front

prevalent

Back

insofar

Front

to the extent that: he decided that philosophy spoke of personal problems only insofar as they illustrated general ones.

Back

forbearance

Front

patient self-control; restraint and tolerance

Back

corroborating

Front

confirm or give support to (a statement, theory, or finding)

Back

hilarity

Front

extreme amusement

Back

bromide

Front

trite and unoriginal idea or remark, typically intended to soothe or placate: feel-good bromides create the illusion of problem solving.

Back

plaudits

Front

praise

Back

reckoning

Front

1 by my reckoning, this comes to $2 million: calculation, estimation, count, computation, working out, summation, addition. 2 by her reckoning, the train was late: opinion, view, judgment, evaluation, estimate, estimation. 3 the terrible reckoning that he deserved: retribution, fate, doom, nemesis, punishment. PHRASES day of reckoning I promise you, the enemy w

Back

countenance

Front

1 a person's face or facial expression: his impenetrable eyes and inscrutable countenance give little away. 2 support: she was giving her specific countenance to the occasion. verb [ with obj. ] admit as acceptable or possible: he was reluctant to countenance the use of force.

Back

empirical

Front

experimental

Back

annotate

Front

add notes to (a text or diagram) giving explanation or comment

Back

archaic

Front

very old or old-fashioned

Back

tandem

Front

a bicycle with seats and pedals for two riders, one behind the other. • a carriage driven by two animals harnessed one in front of the other. • a group of two people or machines working together.

Back

divulge

Front

disclose, make known

Back

entangled

Front

cause to become twisted together with or caught in: fish attempt to swim through the mesh and become entangled. • involve (someone) in difficulties or complicated circumstances from which it is difficult to escape: the case of murder in which she had found herself so painfully entangled.

Back

deride

Front

express contempt for; ridicule

Back

hedonistic

Front

engaged in the pursuit of pleasure; sensually self-indulgent: a hedonistic existence of drink, drugs, and parties.

Back

rectitude

Front

morally correct behavior or thinking; righteousness: Maddie is a model of rectitude.

Back

fitful

Front

fitful night's sleep: intermittent, sporadic, spasmodic, broken, disturbed, disrupted, patchy, irregular, uneven, unsettled; informal herky-jerky.

Back

rescind

Front

revoke, cancel, or repeal (a law, order, or agreement): the government eventually rescinded the directive.

Back

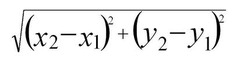
distance formula

Front

Back

debilitate

Front

weaken

Back

finesse

Front

1 intricate and refined delicacy: orchestral playing of great finesse. • artful subtlety, typically that needed for tactful handling of a difficulty: clients want advice and action that calls for considerable finesse. 2 (in bridge and whist) an attempt to win a trick with a card that is not a certain winner.

Back

invigorate

Front

give strength or energy to: the shower had invigorated her

Back

finesse

Front

1 intricate and refined delicacy: orchestral playing of great finesse. • artful subtlety, typically that needed for tactful handling of a difficulty: clients want advice and action that calls for considerable finesse. 2 (in bridge and whist) an attempt to win a trick with a card that is not a certain winner. verb [ with

Back

quash

Front

cancel, put an end to

Back

ignominy

Front

public shame or disgrace

Back

imbued

Front

inspire or permeate with a feeling or quality: the entire performance was imbued with sparkle and elan.

Back

recourse

Front

option, possibility, alternative, resort, way out, hope, remedy, choice, expedient.

Back

stratified

Front

form or arrange into strata: socially stratified cities | [ no obj. ] : the residues have begun to stratify.

Back

pathos

Front

tragedy

Back

odoriferous

Front

having or giving off a smell, esp. an unpleasant or distinctive one: spicily concocted with odoriferous herbs

Back

tactile

Front

of or connected with the sense of touch: vocal and visual signals become less important as tactile signals intensify. • perceptible by touch or apparently so; tangible: she had a distinct, almost tactile memory. • designed to be perceived by touch: tactile exhibitions help blind people enjoy the magic of sculpture.

Back

hackneyed

Front

overused, overdone, overworked

Back

embroiled

Front

involve (someone) deeply in an argument, conflict, or difficult situation: she became embroiled in a dispute between two women she hardly knew | the movie's about a journalist who becomes embroiled with a nightclub owner. • bring into a state of confusion or disorder

Back

consort

Front

a wife, husband, or companion, in particular the spouse of a reigning monarch.

Back

insipid

Front

asteless, flavorless, bland, weak, wishy-washy; unappetizing, unpalatable. ANTONYMS tasty. 2 insipid pictures: unimaginative, uninspired, uninspiring, characterless, flat, uninteresting, lackluster, dull, drab, boring, dry, humdrum, ho-hum, monochrome, tedious, uneventful, run-of

Back

modicum

Front

small amount

Back

quadratic function

Front

is a parabola

Back

reproach

Front

address (someone) in such a way as to express disapproval or disappointment

Back

vindicate

Front

clear (someone) of blame or suspicion: hospital staff were vindicated by the inquest verdict; exonerate

Back

bequeath

Front

pass (something) on or leave (something) to someone else

Back

exploit

Front

make full use of and derive benefit from (a resource)

Back

adroitness

Front

cleverness or skill: he lacks political adroitness.

Back

forestall

Front

prevent or obstruct (an anticipated event or action) by taking action ahead of time

Back

rudimentary

Front

basic, elementary, primary, fundamental, essential

Back

ramshackle

Front

(esp. of a house or vehicle) in a state of severe disrepair: a ramshackle cottage

Back

Section 15

(50 cards)

precipitous

Front

steep or sudden

Back

provincialism

Front

1 the way of life or mode of thought characteristic of the regions outside the capital city of a country, esp. when regarded as unsophisticated or narrow-minded. • narrow-mindedness, insularity, or lack of sophistication: the myopic provincialism of women's studies. 2 concern for one's own area or region at the expense of national or supranational unity.

Back

rhapsodize

Front

speak or write about someone or something with great enthusiasm and delight: he began to rhapsodize about Gaby's beauty and charm.

Back

unassailable

Front

unable to be attacked, questioned, or defeated: an unassailable lead.

Back

bucolic

Front

of or relating to the pleasant aspects of the countryside and country life

Back

sanguine

Front

optimistic

Back

genteel

Front

polite, refined, or respectable, often in an affected or ostentatious way

Back

preachy

Front

moralistic

Back

inhibited

Front

unable to act in a relaxed and natural way because of self-consciousness or mental restraint

Back

dichotomize

Front

regard or represent as divided or opposed

Back

avocation

Front

a hobby or minor occupation

Back

synchrony

Front

simultaneous action, development, or occurrence.

Back

officious

Front

assertive of authority in an annoyingly domineering way, esp. with regard to petty or trivial matters

Back

menagerie

Front

a collection of wild animals kept in captivity for exhibition

Back

cavalcade

Front

procession

Back

compulsive

Front

obsessive

Back

austerity

Front

severity, strictness, seriousness, solemnity, gravity; frugality, thrift, economy, asceticism; self-discipline, abstinence, sobriety, restraint, chastity; starkness.

Back

genially

Front

friendly and cheerful

Back

scathing

Front

witheringly scornful; severely critical

Back

trepidation

Front

fear

Back

revelry

Front

lively and noisy festivities, esp. when these involve drinking a large amount of alcohol

Back

contentious

Front

causing or likely to cause an argument; controversial

Back

ardent

Front

enthusiastic or passionate

Back

bereavement

Front

be deprived of a loved one through a profound absence, esp. due to the loved one's death

Back

mediation

Front

intervention in a dispute in order to resolve it; arbitration: the parties have sought mediation and it has failed. • intervention in a process or relationship; intercession: they are offering sacrifice and mediation between God and man.

Back

milieu

Front

a person's social environment: he grew up in a military milieu.

Back

decried

Front

publicly denounce

Back

shopworn

Front

(of an article) made dirty or imperfect by being displayed or handled in a store

Back

auxiliaries

Front

providing supplementary or additional help and support

Back

reticent

Front

reserved

Back

economizing

Front

spend less; reduce one's expenses

Back

degeneration

Front

the state or process of being or becoming degenerate; decline or deterioration: overgrazing has caused serious degeneration of grassland.

Back

destitution

Front

poverty so extreme that one lacks the means to provide for oneself: the family faced eviction and destitution

Back

archaic

Front

very old or old-fashioned

Back

perverse

Front

awkward, illogical

Back

invectives

Front

an abusive expression or speech

Back

mediated

Front

peacemaker, resolve

Back

ornamentation

Front

things added to something to provide decoration: a baroque chandelier with plasterwork ornamentation.

Back

explications

Front

analyze and develop (an idea or principle) in detail

Back

obstinate

Front

stubborn

Back

prolific

Front

plentiful

Back

vivacious

Front

(esp. of a woman) attractively lively and animated

Back

florid

Front

1 having a red or flushed complexion: a stout man with a florid face. 2 elaborately or excessively intricate or complicated: florid operatic-style music was out. • (of language) using unusual words or complicated rhetorical constructions: the florid prose of the nineteenth century.

Back

tenuous

Front

very weak or slight

Back

contingency

Front

a future event or circumstance that is possible but cannot be predicted with certainty

Back

astute

Front

smart

Back

virtuosity

Front

skillful

Back

arboretum

Front

a botanical garden devoted to trees

Back

vagary

Front

an unexpected and inexplicable change in a situation or in someone's behavior: the vagaries of the weather.

Back

cerebral

Front

intellectual

Back

Section 16

(50 cards)

copious

Front

abundant in supply or quantity

Back

unequivocal

Front

leaving no doubt; unambiguous: an unequivocal answer

Back

constituents

Front

1 being a part of a whole: the constituent minerals of the rock. 2 being a voting member of a community or organization and having the power to appoint or elect: the constituent body has a right of veto

Back

callously

Front

showing or having an insensitive and cruel disregard for others

Back

pluralistic

Front

two coexist

Back

acquisition

Front

an asset or object bought or obtained, typically by a library or museum

Back

sanctioned

Front

a threatened penalty for disobeying a law or rule

Back

pernicious

Front

having a harmful effect, esp. in a gradual or subtle way

Back

tenacity

Front

persistence, determination, perseverance, doggedness, strength of purpose, tirelessness, indefatigability

Back

conspicuous

Front

visible

Back

cataclysmic

Front

relating to or denoting a violent natural event

Back

despondent

Front

in low spirits from loss of hope or courage

Back

transience

Front

the state or fact of lasting only for a short time; transitory nature: the transience of life and happiness

Back

statute

Front

a written law passed by a legislative body

Back

leery

Front

cautious or wary due to realistic suspicions: a city leery of gang violence

Back

unmarred

Front

not impaired

Back

lofty

Front

tall, of imposing height

Back

inconspicuous

Front

not clearly visible or attracting attention; not conspicuous: an inconspicuous red-brick building.

Back

tumultuous

Front

loud

Back

clandestine

Front

kept secret or done secretively, esp. because illicit: she deserved better than these clandestine meetings.

Back

amenable

Front

(of a person) open and responsive to suggestion; easily persuaded or controlled: parents who have had easy babies and amenable children

Back

perverse

Front

awkward & Illogical

Back

curtail

Front

reduce in extent or quantity; impose a restriction on

Back

inane

Front

silly; stupid

Back

disparaging

Front

expressing the opinion that something is of little worth; derogatory

Back

prodigious

Front

remarkably or impressively great in extent, size, or degree

Back

avaricious

Front

greed

Back

incongruous

Front

not in harmony or keeping with the surroundings or other aspects of something

Back

indiscriminate

Front

done at random or without careful judgment

Back

impelled

Front

drive, force, or urge (someone) to do something: financial difficulties impelled him to desperate measures

Back

precursor

Front

a person or thing that comes before another of the same kind; a forerunner

Back

penitent

Front

feeling or showing sorrow and regret for having done wrong; repentant: a penitent expression

Back

recursive

Front

characterized by recurrence or repetition

Back

florid

Front

1 a florid complexion: ruddy, red, red-faced, rosy, rosy-cheeked, pink; flushed, blushing, high-colored; archaic sanguine. ANTONYMS pale. 2 florid plasterwork: ornate, fancy, elaborate, embellished, curlicued, extravagant, flamboyant, baroque, rococo, fussy, busy. ANTONYMS plain. 3 florid prose: flowery, flamboyant, high-flown, high-sounding, grandiloquent, ornate, fancy, bombastic, elaborate, turgid, pleonastic; informal highfalutin; rare fustian. ANTONYMS plain.

Back

cursory

Front

hasty and therefore not thorough or detailed: a cursory glance at the figures.

Back

resolute

Front

admirably purposeful, determined, and unwavering

Back

cantankerous

Front

bad-tempered, argumentative, and uncooperative: a crusty, cantankerous old man

Back

permeated

Front

pervade, spread through

Back

evanescence

Front

soon passing out of sight, memory, or existence; quickly fading or disappearing

Back

contemporaneous

Front

existing or occurring in the same period of time: Pythagoras was contemporaneous with Buddha

Back

complacent

Front

smug

Back

gargantuan

Front

huge

Back

elucidates

Front

make (something) clear; explain

Back

impetus

Front

the force or energy with which a body moves

Back

conscientious

Front

even Douglas, the most conscientious worker in our department, was laid off: diligent, industrious, punctilious, painstaking, sedulous, assiduous, dedicated

Back

feverish

Front

having or showing the symptoms of a fever: he suffered from feverish colds. • displaying a frenetic excitement or energy: the next couple of weeks were spent in a whirl of feverish activity.

Back

castigated

Front

reprimand (someone) severely

Back

pertinent

Front

relevant or applicable to a particular matter; apposite: she asked me a lot of very pertinent questions

Back

predilection

Front

a preference or special liking for something; a bias in favor of something

Back

despotic

Front

of or typical of a despot; tyrannical: a despotic regime

Back