AP Calculus AB - Theorems

AP Calculus AB - Theorems

memorize.aimemorize.ai (lvl 286)
Section 1

Preview this deck

Integral Evaluation Theorem (AKA pt.2) (chp.5)

Front

Star 0%
Star 0%
Star 0%
Star 0%
Star 0%

0.0

0 reviews

5
0
4
0
3
0
2
0
1
0

Active users

0

All-time users

0

Favorites

0

Last updated

6 years ago

Date created

Mar 1, 2020

Cards (8)

Section 1

(8 cards)

Integral Evaluation Theorem (AKA pt.2) (chp.5)

Front

If f is continuous at every point of [a,b], and if F is any antiderivative of f on [a,b], then ∫ (from a to b) of f(x)d(x) = F(b) - F(a).

Back

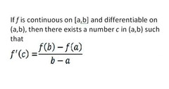
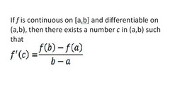
Mean Value Theorem (Rolle's Theorem) (chp. 4)

Front

The instantaneous rate of change will equal the mean rate of change somewhere in the interval. Or, the tangent line will be parallel to the secant line.

Back

Fundamental Theorem of Calculus (AKA pt.1)(chp.5)

Front

If f is continuous on [a,b], then the function F(x)=∫ (from a to x) of f(t)d(t) has a derivative at every point x in [a,b], and dF/dx=d/dx∫(from a to x) of f(t)d(t) = f(x)

Back

Intermediate Value Theorem for Derivatives (chp.3)

Front

If a and b are any two points in an interval on which f is differentiable, then f' takes on every value between f'(a) and f'(b)

Back

Extreme Value Theorem (chp.4)

Front

If f is continuous on a closed interval [a,b], then f has both a maximum and a minimum on the interval.

Back

Intermediate Value Theorem for Limits (chp. 2)

Front

A function y=f(x) that is continuous on a closed interval [a,b] takes on every value between f(a) and f(b). In other words, if y0 is between y(a) and y(b), then y0=f(c) for some c in (a,b).

Back

Sandwich Theorem (chp. 2)

Front

Back

Mean Value Theorem for Definite Integrals (chp.5

Front

If f is continuous on [a,b], then at some point c in [a,b], f(c) = 1/b-a ∫ (from a to b) of f(x)dx

Back