Section 1

Preview this deck

competitive coexistence

Front

Star 0%
Star 0%
Star 0%
Star 0%
Star 0%

0.0

0 reviews

5
0
4
0
3
0
2
0
1
0

Active users

0

All-time users

0

Favorites

0

Last updated

6 years ago

Date created

Mar 1, 2020

Cards (10)

Section 1

(10 cards)

competitive coexistence

Front

the ability of species to coexist with one another despite sharing limiting resources

Back

competitive exclusion

Front

result of diatoms & silica experiment in which two diatom species grown together competed for silica and one species drove the other to extinction

Back

interspecific competition

Front

interaction between two species in which each is harmed when they both use the same limiting resource

Back

intraspecific competition

Front

competition between individuals of a single species

Back

interference competition

Front

Directly interfering with a competitor's access to a resource. (e.g. taking up space or blocking access) direct

Back

character displacement

Front

Natural selection acting upon variation in a physical or behavioral trait because competition reduces fitness for those with the trait overlapping with the competitor

Back

exploitation competition

Front

Supply of shared resource is reduced as individuals use it. (e.g. eat the same food, drink the same water, extract the same nutrients from soil, etc.) indirect

Back

resource partitioning

Front

the use of different parts of a resource or use of a resource at different times to reduce/avoid competition (e.g. warblers in a tree)

Back

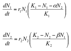
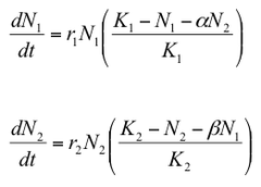
Competition coefficients (alpha and beta)

Front

constants that describe effect of one species on the other

Back

Lotka-Volterra

Front

A logistic model of interspecific competition of intuitive factors; supports the idea that competitive exclusion is likely when competing species require very similar resources.

Back