AP Calculus AB Formulas

AP Calculus AB Formulas

memorize.aimemorize.ai (lvl 286)
Section 1

Preview this deck

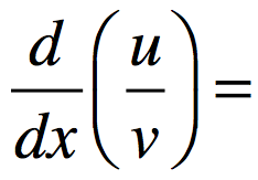
(u'v-v'u)/(v^2)

Front

Star 0%
Star 0%
Star 0%
Star 0%
Star 0%

0.0

0 reviews

5
0
4
0
3
0
2
0
1
0

Active users

0

All-time users

0

Favorites

0

Last updated

6 years ago

Date created

Mar 14, 2020

Cards (65)

Section 1

(50 cards)

(u'v-v'u)/(v^2)

Front

Back

inflection point

Front

Back

y'

Front

Back

Volume of Cross-Sections

Front

Back

ft

Front

Back

u'/[|u|√(u^2-1)]

Front

Back

Definition of Derivative

Front

Back

Total distance traveled

Front

Back

cosx

Front

Back

vertical asymptote

Front

Back

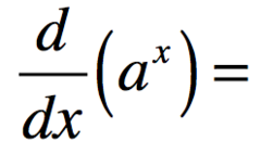
a^x∙lna

Front

Back

y

Front

position

Back

concavity

Front

Back

slope

Front

Back

secxtanx

Front

Back

Displacement

Front

Back

removable discontinuity

Front

Back

u'/√(1-u^2)

Front

Back

-sinx

Front

Back

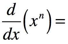
nx^(n-1)

Front

Back

1/(xlna)

Front

Back

-u'/√(1-u^2)

Front

Back

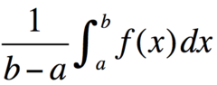
Average value

Front

Back

The particle is slowing down

Front

Back

u'v+uv'

Front

Back

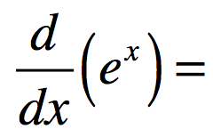
e^x

Front

Back

ft/sec^2

Front

Back

ft/sec

Front

Back

Alternate Definition of Derivative

Front

Back

Average rate of change or average velocity

Front

Back

|velocity|

Front

Back

The particle is speeding up

Front

Back

critical point

Front

Back

u'/(1+u^2)

Front

Back

Volume using Disks

Front

Back

f'(g(x))∙g'(x)

Front

Back

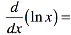
1/x

Front

Back

x^(n+1)/(n+1) + C

Front

Back

-cscxcotx

Front

Back

-u'/[|u|√(u^2-1)]

Front

Back

-(cscx)^2

Front

Back

Volume using Washers

Front

Back

(x')f(x)

Front

Back

y''

Front

Back

-u'/(1+u^2)

Front

Back

(secx)^2

Front

Back

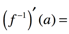
1/[f'(f^(-1)(a))]

Front

Back

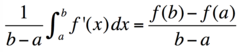
Fundamental Theorem of Calculus

Front

Back

True

Front

~True or False

Back

e^u + C

Front

Back

Section 2

(15 cards)

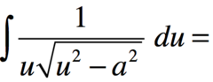
(1/a)arcsec(|u|/a) + C

Front

Back

tanu + C

Front

Back

(a^u)/lna + C

Front

Back

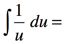
ln|u| + C

Front

Back

-cotu + C

Front

Back

ln|secu+tanu| + C

Front

Back

sinu + C

Front

Back

secu + C

Front

Back

-cosu + C

Front

Back

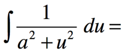
(1/a)arctan(u/a) + C

Front

Back

ln|sinu| + C

Front

Back

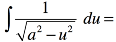
arcsin(u/a) + C

Front

Back

-ln|cscu+cotu| + C

Front

Back

-ln|cosu| + C

Front

Back

-cscu + C

Front

Back