Unit 1: Beginning Algebra 2 Vocabulary

Unit 1: Beginning Algebra 2 Vocabulary

memorize.aimemorize.ai (lvl 286)
Section 1

Preview this deck

product rule for exponents

Front

Star 0%
Star 0%
Star 0%
Star 0%
Star 0%

0.0

0 reviews

5
0
4
0
3
0
2
0
1
0

Active users

0

All-time users

0

Favorites

0

Last updated

6 years ago

Date created

Mar 1, 2020

Cards (32)

Section 1

(32 cards)

product rule for exponents

Front

When multiplying two powers that have the same base, you can add the exponents.

Back

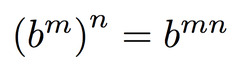
Raising a Power to a Power Property

Front

When raising a power to another power, keep the base and multiply the exponents.

Back

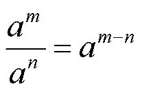
quotient rule for exponents

Front

to divide two exponents with the same base, you keep the base and subtract the powers

Back

Anything raised to the zero power is ...

Front

one

Back

difference

Front

the result of subtraction

Back

Monomial

Front

an expression with only one term.

Back

sum

Front

To add

Back

like terms

Front

Terms that contain the same variables raised to the same power.

Back

Binomial

Front

A polynomial with two terms.

Back

Distribution Property

Front

a(b+c)=ab+ac

Back

index of a radical

Front

A numeral or letter written above and to the left of the radical sign to indicate the required root.

Back

complex conjugates

Front

Two complex numbers of the form a + bi and a - bi

Back

Adding polynomials

Front

combine like terms

Back

binomial expansion

Front

Raising a binomial to a power

Back

complex number

Front

a number of the form a+bi where a and b are real numbers and i is the square root of -1

Back

exponent

Front

A mathematical notation indicating the number of times a quantity is multiplied by itself.

Back

rational number

Front

A number that can be written as a fraction

Back

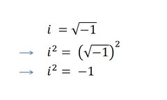
i

Front

the square root of negative one

Back

(x+3)^2

Front

x^2+6x+9

Back

Trinomial

Front

A polynomial with three terms.

Back

Base

Front

The quantity being multiplied by itself.

Back

Multiplying Binomials

Front

FOIL or multiply using the area model (box)

Back

radical expression

Front

An expression that contains a radical sign such as a square root or cubed root

Back

i^2

Front

= -1

Back

Pascal's Triangle

Front

a pattern for finding the coefficients of the terms of a binomial expansion

Back

product

Front

the answer to a multiplication problem

Back

Subtracting polynomials

Front

The process of subtracting all the terms of one polynomial from another and combining like terms.

Back

rational exponent

Front

a fractional exponent

Back

Pythagorean Theorem

Front

a²+b²=c²

Back

converting rational exponents into radicals

Front

Back

Dividing complex numbers

Front

1) Find conjugate of denominator (Change sign) 2) Multiply 3) Simplify REPLACE i^2 with -1 4) Write answer in standard form (a+bi)

Back

Polynomial

Front

A monomial or the sum of monomials. Monomials, binomials, and trinomials are types of polynomials.

Back