Section 1

Preview this deck

subtracting polynomials

Front

Star 100%
Star 100%
Star 100%
Star 100%
Star 100%

5.0

3 reviews

5
3
4
0
3
0
2
0
1
0

Active users

52

All-time users

58

Favorites

1

Last updated

1 year ago

Date created

Mar 1, 2020

Cards (1.8k)

Section 1

(50 cards)

subtracting polynomials

Front

change the signs of the terms being subtracted, then add ex: a-b = a+(-b)

Back

zero exponent

Front

a(0) = 1, as long as a is not 0

Back

power of quotient rule

Front

if n is a positive integer and a & c are real numbers, then (a/c)(n) = a(n)/c(n), and c does not equal 0

Back

A linear equation is...

Front

variables x_1, x_2,...,x_n, any equation that can be written in the form: a_1x_1+a_2x_2+...+a_nx_n=b; a_1, a_2, ..., a_n are real numbers

Back

GCF of list of common variables raised to powers

Front

the variable raised to the smallest exponent in the list.

Back

FOIL method

Front

F: product of FIRST terms O: product of OUTER terms I: product of INNER terms L: product of LAST terms; then combine like terms

Back

degree of a term

Front

the sum of exponents on the variables contained in the term

Back

substitution method

Front

substituting 2nd equation into 1st equation

Back

perfect square trinomial

Front

a trinomial that is the square of some binomial: x(sq)+4x+4= (x+2)sq formulae: 1) a(sq)+2ab+b(sq)=(a+b)(sq); a(sq)-2(ab)+b(sq)=(a-b)(sq)

Back

Gauss elimination method

Front

1) keep the x_1 term in one equation, eliminate x_1 from all others 2) keep the x_2 term in the second equation, eliminate x_2 from all next ones 3) and so on

Back

quotient rule for exponents

Front

if m & n are positive integers & a is a real number, then a(m)/a(n)=a(m-n) as long as a is not 0

Back

Solving a linear system:

Front

Replace the system by an equivalent system that is easier to solve

Back

squaring a binomial

Front

= to the square of the first term plus or minus twice the product of both terms plus the square of the second term (a+b)(sq) = (a)(sq) + 2ab +2b(sq) OR (a-b)(sq) = a(sq)-2ab+b(sq)

Back

product rule for exponents

Front

if m and n are positive numbers, and a is a real number, then a(m) * a(n) = a(m+n) {add exponents but keep common base}

Back

Two linear systems are equivalent if...

Front

they have the same solution set

Back

Solving a two variable system amounts to...

Front

finding the intersection of two lines

Back

to solve quad expressions by factoring

Front

1) write the equation in standard form: ax(sq)+bx+c=0 2) factor the quadratic 3)set each factor containing a variable = to 0 4) solve the equations 5)check in the original equation

Back

Any linear system can have either...

Front

1) no solutions 2) exactly 1 solution 3) infinite many solutions

Back

power rule for exponents

Front

if m and n are positive integers and a is a real number, then multiply exponents and keep the base a(m)(n)= a(mn)

Back

standard form of quadratic equations

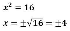
Front

formula: ax(sq)+bx+c=0, with a not being 0 ex: x(sq)=16 in standard form is x(sq)-16=0 y=2y(sq)+5 in standard form is 2y(sq)+y-5=0

Back

zero factor theorem

Front

if a & b are real numbers and if ab=0, then a=0 or b=0 ex: if (x+3)(x-1)=0, then x+3=0 or x-1=0

Back

slope of a line

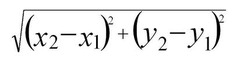
Front

the slope(m) of a line containing points (x(1), y(1)) & (y(1), y(2)) is given by: m = rise/run = y(2)-y(1)/x(2)-x(1) as long as x(2) does not equal x(1)

Back

sum or difference of cubes

Front

a(cu)+b(cu) = (a+b)(a(sq) -ab+b(sq)) ex: y(cu)+8= y(cu)+2(cu) =(y+2) (y(sq)-2y+4) OR a(cu)-b(cu)= (a-b)(a(sq)+ab+b(sq) ex: 125z(cu)-1= (5z(cu)-1(cu)= (5z-1)(25z(sq)+5z+1)

Back

finding slope given 2 points on a line

Front

slope= change in y (vertical change)/change in x (horizontal change) to do this, choose two points of a line. label the two x-coordinates of two points x(1), x(2) [read "x sub one" and "x sub 2], and label the corresponding y-coordinates y(1) and y(2) the vertical change(rise) btwn these points is the diff in the y-coordinates: y(2)-y(1). the horizontal change(run) btwn the points is the diff of the x-coordinates: x(2)-x(1). the slope of the line is the ratio of y(2)-y(1) to x(2)-x(1), and we use the letter m to denote slope in this formula: m=y(2)-y(1)/x(2)-x(1)

Back

to graph x<or=3

Front

shade the numbers to the left of 3 and place a bracket at 3 on the number line. the bracket indicates that 3 is a solution:3 is less than or =to 3. in interval notation we write (-infinity,3] *may be easier to graph the inequality first then write it in interval notation. to help, think of the number line as approaching -infinity to the left or +infinity to the right. then simply write the interval notation by following your shading from left to right

Back

problem-solving linear equations

Front

1) understand the problem. read and re-read it. choose 2 variables to represent the two unknowns. construct a drawing if possible. propose a solution and check. 2) translate the problem into two equations 3)solve the system of equations 4) interpret the results: CHECK the proposed solution in the stated problem and state your conclusion

Back

Scaling:

Front

multiply all terms in one equation by a nonzero constant

Back

factoring trinomials

Front

1) use the form x(sq) + bx + c 2) factor out the GCF and then factor a trinomial of the form x(sq) + bx + c To factor ax(sq) + bx + c, try various combinations of factors of ax(sq) and c until a middle term of bx is obtained when checking

Back

power of a product rule

Front

if n is a positive integer and a & b are real numbers, then (ab)(n) = a(n)b(n)

Back

A solution to the linear system x_1, ..., x_n is...

Front

any ordered n-tuple (S_1,...,S_n) of real numbers if you substitute S_1 for x_1, S_2 for x_2, ..., S_n for x_n, then every equation becomes a true relation

Back

A matrix is...

Front

a rectangular array of numbers aligned in rows and columns

Back

multiplication property of inequality

Front

1) if a,b,c are real numbers, and c is positive, then a<b & ac<bc are equivalent inequalities 2) if a,b,c are real numbers, and c is negative, then a<b & ac>bc are equivalent numbers. *the direction of the inequality symbol must be reversed for the inequalities to remain equivalent

Back

degree of a polynomial

Front

the greatest degree of any term of the polynomial

Back

difference of squares

Front

a(sq)-b(sq) = (a+b) (a-b) ex: x(sq)-9=x(sq)-3(sq) = (x+3)(x-3)

Back

slope-intercept form

Front

y=mx+b

Back

Replacement:

Front

add a multiple of one equation to another

Back

interval notation

Front

instead of open circle, parenthesis are used. instead of closed circle, brackets are used. -infinity is all the numbers less than x to infinity.

Back

multiplying the sum & diff of two terms

Front

the product of the sum & difference of two terms is the square of the first term minus the square of the second term (a+b) (a-b) = a(sq)-b(sq)

Back

factor trinomials by grouping

Front

ax(sq)+bx+c 1) find two numbers whose product is a*c and whose sum is b 2) rewrite bx, using the factors in step 1 3) factor by grouping ex: 3x(sq)+14x-5 step 1: 15&-1 step 2: 3x(sq)+14x-5 = 3x(sq)+15x-1x-5 step 3: 3x(x+5) -1(x+5) = (x+5) (3x-1)

Back

solving linear inequalities in one variable

Front

1) clear the inequality of fractions by mult. both sides of ineq. by LCD of all fractions in the inequality. 2) remove grouping symbols such as ( ) by using distributive property 3) simplify each side of inequality by combining like terms 4) write the inequality w variable terms on one side and numbers on the other by using addition prop of inequalities 5) get the variable alone by using multiplication prop of inequalities

Back

factor by grouping

Front

1) arrange terms so the first two terms have a common factor & the last two have a common factor 2) for each pair of terms, factor out the the pair's GCF 3) if there is now a common binomial factor, factor it out 4) if no common binomial factor, begin again, rearranging terms differently. if no rearrangement works it can't be factored.

Back

graphing

Front

picturing the solutions of inequalities on a number line. the picture is called the graph

Back

Solving a linear system means...

Front

to find the solution set, i.e. the set of all possible solutions

Back

A system of linear equations (a linear system) is...

Front

x_1,x_2,...,x_n a collection of linear equations that is the value of the same set of variables

Back

linear inequality in 1variable

Front

an inequality that can be written in the form ax+b<c where a,b,c are real numbers and a is not 0

Back

adding polynomials

Front

combine all like terms

Back

addition property of inequality

Front

if a, b, and c are real numbers, then a<b & a+c<b+c are equivalent inequalities

Back

Interchange:

Front

swap 2 equations

Back

solving linear equalities in one variable

Front

1) clear the equality of fractions by mult. both sides of ineq. by LCD of all fractions in the equality. 2) remove grouping symbols such as ( ) by using distributive property 3) simplify each side of equality by combining like terms 4) write the equality w variable terms on one side and numbers on the other by using addition prop of equalities 5) get the variable alone by using multiplication prop of equalities

Back

linear equation in 3 variables

Front

1) write ea. equation in standard form: Ax+By+Cz=D 2)choose a pr of equations& use the equations to eliminate a variable 3) choose any other pr of equations & eliminate the same variable as in step 2 4) two equations & two variables should be obtained by step 2 & step 3. solve this system for both variables 5) to solve for the 3rd variable, substitute the values of the variables found in step 4 into any of the original equations containing the third variable 6) check the ordered triple solution in all three orig. equations

Back

Section 2

(50 cards)

Two matrices A and B are row equivalent if...

Front

there is a sequence of row operations that transform one into another

Back

A matrix with one column is called a...

Front

column vector

Back

Verticle line test:

Front

Given the graph of a relation, if you can draw a verticle line that crosses the graph in more than one place, the relation is not a function

Back

T is onto if and only if...

Front

the equation Ax=b is always consistent, the matrix A has a pivot in every row, the column of A spans R^m

Back

Symmetric about the Y-axis:

Front

Whatever the graph is doing on one side of the Y-axis is mirrored on the other side

Back

The set of all possible linear combinations of v_1, ..., v_p is called...

Front

the subset of R^n spanned by v_1, ..., v_p, denoted by Span(v_1,...,v_p)

Back

The vector equation x_1a_1+x_2a_2+...+x_na_n = b and the system with the augmented matrix [a_1,a_2,...a_n|b] are equivalent if and only if

Front

the corresponding system is consistent

Back

The identity matrix is...

Front

I_n, nxn matrix

Back

To compute the i-entry of Ax...

Front

multiply every entry in the i-row of A by corresponding entries in x, take the sum of these products

Back

The arguement of a function:

Front

Is the " X " in f(x)

Back

The leading entry of a nonzero is...

Front

the leftmost nonzero entry

Back

If v_1,v_2,..,v_pER^n then the set {v_1,v_2,v_p} is dependent if and only if

Front

one of the vectors is a linear combination of the preceding ones

Back

R is...

Front

the set of all real numbers

Back

If the system is consistent, these statements are true:

Front

1) The equation Ax=b is always consistent for all bER^m 2) The column a_1, a_2,...,a_n fo A span R^m 3) the coefficient matrix has a pivot in every row

Back

Relation:

Front

A relationship between sets of infomation

Back

The free variable is...

Front

the non-pivot column of the coefficient matrix

Back

v_1...v_p are linear dependent if...

Front

there is a nontrivial linear relation between them; i.e. fi we can find some scalars c_1, c_2, ..., c_p, not all zeros, where c_1v_1 + c_2v_2 +...+c_pv_p = 0

Back

T is 1-1 if and only if...

Front

the homogeneous equation Ax=0 has only the trivial solution, has no free variables, has a pivot in every column, the n column of A are linear independent

Back

onto

Front

range (-infinity, infinity)

Back

Augmented matrix transformation is...

Front

linear

Back

The product Ax = x_1a_1+x_2a_2+...+x_na_n and is only defined when...

Front

the number of columns in A equals the number of entries in x

Back

Fundamental question about a linear system:

Front

Is the system consistent, i.e. does a solution exist, if it does, is this a unique solution?

Back

The basic variables are...

Front

the variables corresponding to the pivot column in the coefficient matrix

Back

Any given matrix A is row equivalent to...

Front

exactly one matrix B in Reduced Echelon form; B = rref(A)

Back

R^n is...

Front

the set of all vectors in n entries with real coefficients

Back

v_1,v_2,...,v_p are independent if and only if...

Front

the system has no free variables

Back

Best way to solve any system of linear equations is to...

Front

row reduce the augmented matrix

Back

The system Ax=b is called homogeneous if...

Front

b=0

Back

f(x) = X² + 2 :

Front

Shifts parabola up two units

Back

A linear system is consistent if and only if

Front

the last column of the augmented matrix is not a pivot column, a consistent linear system has 1 solution precisely when it has no free variables

Back

A transformation T:R^n-R^m is linear if...

Front

T respects the vector addition and scalar multiplication; i.e. T(u + v) = T(u) + T(v), T(cu)=cT(u)

Back

Elementary row operation:

Front

row replacement, row interchange, row scaling

Back

How to solve a linear system

Front

1) Write down the augmented matrix B of the system 2) Row reduce B to Echelon form; if the last column of B is pivot, the system is inconsistent; if the last column of B is not pivot, it is consistent 3) Complete the row reduction to C = rref(B) 4) Write down the new system corresponding to C; locate basic/free variables 5) Use the new system to express all variables in terms of free variables

Back

The homogeneous system Ax=0 has a nontrivial solution if and only if...

Front

the system has infinite many solutions, the system has at least one free variable

Back

If you have more vectors than the number of entries in each of them, i.e. p>n then they are...

Front

dependent

Back

Any row/column is...

Front

a row/column with 1 nonzero entry in it

Back

To find the parametric vector form for the solution set...

Front

1) Row reduce the augmented matrix 2)Get a parametric description of the solution set 3) Write your solution x as a column vector; single out the coefficient for each variable in a column

Back

v_1...v_p are linear independent if...

Front

there is no non-trivial linear relation between them, i.e. has only the trivial solution

Back

The system Ax-b is not homogeneous if...

Front

b!=0

Back

1-1

Front

same images

Back

Unordered lists:

Front

Are sets of information; {2, 4, 8}

Back

The homogeneous system is always...

Front

consistent, x=0 is always a solution

Back

Row reduction algorithm

Front

1) Locate the first pivot column/first pivot position 2) Locate a pivot, choose a nonzero entry in the pivot column to be the pivot, if necessary do row interchange to move the pivot to the pivot position, if necessary do row scaling to make the pivot equal to 1 3) Create zeros below the pivot use row replacement to make all entries below pivot equal to 0 4) Cover the row containing the pivot and any row above it, apply steps 1-3 to the remaining submatrix 5) Start from the right most pivot and then move upward and to the left, if a pivot does not equal 1, make it equal 1 with row scaling, use row replacement to create zeros above each pivot

Back

A is in Echelon from if it has 2 properties:

Front

1) All nonzero rows have to lie above any row of all zeros 2) The leading entry of any nonzero row is to the right of the leading entry of any row above it

Back

x=0 is the...

Front

trivial, zero solution

Back

The operation of reading any vector vER^n to p + v is called...

Front

the translation by p

Back

A is in Reduced Echelon form if...

Front

1) All nonzero rows have to lie above any row of all zeros 2) The leading entry of any nonzero row is to the right of the leading entry of any row above it 3) The leading entry of any nonzero row is 1 4) The entry is the only nonzero entry in the column

Back

f (x) :

Front

Means plug a value for " X " in a formula " f "

Back

v_1, v_2, ..., v_p are dependent if and only if...

Front

the system has >= 1 free variable

Back

f(x) = X²:

Front

Parabola pointing up; graphs at zero

Back

Section 3

(50 cards)

ⁿ√60 where n=6:

Front

60 1/6

Back

f(x) = | X - 3 | :

Front

Shifts V three units right

Back

f(x) = | X | - 3 :

Front

Shifts V down three units

Back

f(X) = | X | + 1 :

Front

Shifts V up one unit

Back

f(x) = - √ x :

Front

Graphs +x, -y to infinity

Back

Slope-intercept form:

Front

Y=mx + b

Back

f(x) = 4 X² :

Front

Shrink of a parabola

Back

Reflection about the "X" axis:

Front

The - sign outside the arguement indicates what?

Back

f(-x) :

Front

Example of a reflection about the y axis

Back

(f/g)(x)= :

Front

f(x)/g(x)

Back

Linear Function formula:

Front

f(x)=mx + b ; where m ╫ 0

Back

f(x) = ( X-3 )² :

Front

Shifts parabola right 3 units

Back

Are the inverse of each other:

Front

√ and ( )²

Back

f(x) = ¼ X :

Front

Stretch of a parabola

Back

f(x) = √ -x :

Front

Graphs -x, +y to infinity

Back

- f(x):

Front

Example of a reflection about the X axis

Back

f(x) = X² - 3 :

Front

Shifts parabola down three units

Back

Union symbol:

Front

U

Back

f(x) = | X | :

Front

V pointing up

Back

f(x) = ( X + 3 ) ³ :

Front

Shifts graph left 3 units

Back

f(x) = X³ - 5 :

Front

Shifts graph down 5 units

Back

f(x) = ±√ X :

Front

Not a function because it would have two answers; + 9 or - 9

Back

Horizontal line test:

Front

A function is one-to-one ONLYif every horizontal line intersects the graph at ONLY one point

Back

f(½x):

Front

Example of a horizontal stretch

Back

√5 √5 = :

Front

√ 5 × 5

Back

f(X) = - | X + 7 | :

Front

Reflection (V pointing down) shifted seven left

Back

2f(x):

Front

Example of a vertical stretch

Back

³√ a = :

Front

a 1/3

Back

Intersection symbol:

Front

Back

One to One function:

Front

No two ordered pairs in a function have the same second componet (y-value)

Back

g ° f = :

Front

g(f(x))

Back

f(x) = - X³ :

Front

Reflection of X³

Back

f(2x):

Front

Example of a horizontal shrink

Back

Point slope form:

Front

y - y1 = M ( X - X1 )

Back

Slope of a Line:

Front

M= Y2 - Y1 / X2 - X1 , where X1 ╪ X2

Back

f(x) = | X + 2 | :

Front

Shifts V two units left

Back

f(x) = √ X :

Front

Graphs as ½ of a horizontal parabola pointing towards ∞

Back

f ° g = :

Front

f (g (x))

Back

Reflection about the "Y" axis:

Front

The sign inside the arguement indicates what?

Back

½ f(x) :

Front

Example of a vertical shrink

Back

11x/2-x divided by 11/2-x:

Front

11x/2-x × 2-x/11 = ?

Back

f(x) = ( X - 6 ) ³ :

Front

Shifts graph right 6 units

Back

f(x) = X³ + 3 :

Front

Shifts graph up 3 units

Back

f(x) = - √ -x :

Front

Graphs -x, -y to infinity

Back

f(x) = X³ :

Front

A vertical line that bends to the right, goes horizontal, then bends to the left, turning vertical again; this crosses at the (0,0)

Back

f(x) = ( X + 2 ) ² :

Front

Shifts parabola left 2 units

Back

Constant function:

Front

f(x)= mx + b , where m = 0

Back

a/b divided by c/d:

Front

a/b × d/c = ?

Back

Linear graph in 2 variables:

Front

A + By = C , where A or B ╪ 0

Back

Exponet rule:

Front

√16+9 ╪ 4 + 3

Back

Section 4

(51 cards)

How would you describe this inequality in a solution set: x < 5 ?

Front

{x|x<5}

Back

What is the difference in slopes for perpendicular lines?

Front

They have negative reciprocals. ex. Line¹: m= 2/4, would mean Line²: m= -4/2

Back

What do parallel lines have in common?

Front

Equal slopes. m¹ = m²

Back

The graph of y = b is?

Front

A horizontal line through b on the y axis. (Slope = 0)

Back

How does slope tell us the tilt? y/x

Front

Because y/x = rise/run

Back

These two equations would be easiest to solve by what method Equation¹: y = -2x + 6 Equation²: 3x - 2y = 16?

Front

The substitution method, substitue first equation in place of y in the second: 3x - 2(-2x + 6) = 16 and solve.

Back

If m=0 what type of line would be viewed on the graph?

Front

A horizontal line.

Back

How is a positive line viewed?

Front

It runs upwards. m>0

Back

What is the first step in this equation : 2|2x+1| -4 = 16 ?

Front

Get rid of the variables outside of the absolute value.

Back

What three methods could be used to solve systems of linear equations? Equation¹: 2x + y = 6 Equation²: 3x - 2y = 16

Front

By graphing, the substitution method, and the addition method.

Back

For what inequality symbols do you use parenthesis?

Front

< and >

Back

Horizontal line:

Front

Y = b ; slope 0

Back

How is a negative line viewed?

Front

It runs downwards. m<0

Back

How would you express this inequality in a solution set: -4 < t ≤ 5/3 ?

Front

{t| -4 < t ≤ 5/3}

Back

What will the solution of this absolute value equation look like |exp.| < a ?

Front

-a < exp < a

Back

What is the solution for |x - 5| < 0?

Front

∅ The absolute value of a number can never be < 0. No solution.

Back

How do we view lines on the graph to get the correct slope?

Front

Left to right

Back

What do you do when you have a negative denominator? ex b-2/-5

Front

Move it up top. answer: 2-b/5 (Make sure to change signs)

Back

Is this a linear equation or a linear function: f(x) = 2x - 1 ?

Front

A linear function

Back

How do you find the equation of a line if you are given two points, but no y-intercept or slope? Such as: (4 , 3) (6 , -2)

Front

You would have to find the slope first, x² - x¹/y² - y¹, and then use the point slope equation, y - y¹ = m(x - x¹)

Back

For what inequality symbols do you use brackets?

Front

≤ and ≥

Back

When graphing linear inequalities, for what symbols would you use a dotted line in the graph?

Front

< and >

Back

What is the first step in graphing a linear inequality? y ≥ 1/2x - 3

Front

Decide what type of line it will be. In this case it's a solid line because of the ≥ sign.

Back

What is the equation of the line through (0 , 2) that is perpendicular to the graph of the line: y = 1/2x - 4 ? (Think of the perpendicular rule)

Front

y = -2/1x + 2 because (0 , 2) gives us the y intercept and -2/1 is the reciprocal of the line in the question.

Back

What will the solution of this absolute value equation look like |exp.| = a ?

Front

exp = a or exp = -a

Back

Is this a linear equation or a linear function: y = 2x - 1 ?

Front

A linear equation.

Back

What is the formula for slope-intercept form?

Front

y = mx + b

Back

How would you word the function (front) part of this equation? P(x) = 7.25x

Front

P is a function of x

Back

What is the point slope equation? Used when you have a slope and a random point.

Front

y - y¹ = m(x - x¹)

Back

How is slope defined?

Front

The slope of a line measures the tilt of the line.

Back

These two equations would be easiest to solve by what method Equation¹: 4x + 2y = 6 Equation²: 3x - 2y = 16?

Front

The addition method. If set up as if adding them together the y's would cancel. Then you could solve for x and then solve for y.

Back

What will the solution of this absolute value equation look like |exp.| > a ?

Front

exp. < -a or exp. > a

Back

Vertical line:

Front

X = s ; slope undefined

Back

How do you graph the line of a linear inequality? (Also the 2nd step) y ≥ 1/2x - 3

Front

Set the inequality as an equation y ≥ 1/2x - 3 turns into y = 1/2x - 3, and plot the line.

Back

When graphing linear inequalities, for what symbols would you use a solid line in the graph?

Front

≤ and ≥

Back

A linear system where two lines cross (one answer) would be what type of system?

Front

A consistent system.

Back

What is the standard form for a linear equation?

Front

ax + by = c Both x and y are on the right side of the equation.

Back

What is the solution for |x - 5| ≤ 0?

Front

{5} Absolute value of a number can never be < 0 but it can be 0 when x =5. |5 - 5| = 0

Back

How do you find the x-intercept in a linear equation? ax + by = c

Front

Set y = 0 to isolate the x.

Back

What is the solution for |x - 5| ≥ 0?

Front

R. Any real number, because the absolute value of a number is always ≥ 0.

Back

How do we calculate slope from two given points? (x¹,y¹) (x²,y²)

Front

y² - y¹/x² - x¹ to get the slope. (rise/run)

Back

How should you decide what side will be shaded in while graphing a linear inequality? y ≥ 1/2x - 3

Front

Test it by putting in a point, typically (0 , 0) and see if it's true. 0 ≥ 1/2(0) -3 is 0 ≥ 3, which means true. Shade on the side of the point. If false shade on opposite side.

Back

Parallel lines:

Front

Two lines with equal slopes are...

Back

What do you do when you divide a negative number in an inequality?

Front

Switch the signs

Back

Describe this inequality in interval notation: x < 5/3 ?

Front

( -∞ , 5/3)

Back

The graph of x = b is?

Front

A vertical line through b on the x axis. (Slope undefined)

Back

How do you find the y-intercept in a linear equation? ax + by = c

Front

Set x = 0 to isolate the y.

Back

Perpendicular lines:

Front

Two lines whose slopes are negative reciprocal of each other are...

Back

How would you describe this inequality in interval notation: x ≥ 2 ?

Front

[ 2 , ∞ )

Back

A linear system where two lines are parallel (no answer) would be what type of system?

Front

An inconsistent system.

Back

Section 5

(50 cards)

What is the first step in graphing a linear inequality? y ≥ 1/2x - 3

Front

Decide what type of line it will be. In this case it's a solid line because of the ≥ sign.

Back

How is a positive line viewed?

Front

It runs upwards. m>0

Back

What do you do when you divide a negative number in an inequality?

Front

Switch the signs

Back

How would you describe this inequality in interval notation: x ≥ 2 ?

Front

[ 2 , ∞ )

Back

A linear system where two lines cross (one answer) would be what type of system?

Front

A consistent system.

Back

When solving a linear system of equations, if the substitution or addition method resulted in 2 ≠ 4, what system would you have?

Front

An inconsistent system, parallel lines. No solution.

Back

What is the formula for slope-intercept form?

Front

y = mx + b

Back

A linear system where two lines are parallel (no answer) would be what type of system?

Front

An inconsistent system.

Back

What is the equation of the line through (0 , 2) that is perpendicular to the graph of the line: y = 1/2x - 4 ? (Think of the perpendicular rule)

Front

y = -2/1x + 2 because (0 , 2) gives us the y intercept and -2/1 is the reciprocal of the line in the question.

Back

What is the standard form for a linear equation?

Front

ax + by = c Both x and y are on the right side of the equation.

Back

How would you describe this inequality in a solution set: x < 5 ?

Front

{x|x<5}

Back

How do you find the x-intercept in a linear equation? ax + by = c

Front

Set y = 0 to isolate the x.

Back

Is this a linear equation or a linear function: f(x) = 2x - 1 ?

Front

A linear function

Back

What is the point slope equation? Used when you have a slope and a random point.

Front

y - y¹ = m(x - x¹)

Back

How would you word the function (front) part of this equation? P(x) = 7.25x

Front

P is a function of x

Back

How would you express this inequality in a solution set: -4 < t ≤ 5/3 ?

Front

{t| -4 < t ≤ 5/3}

Back

What is the first step in this equation : 2|2x+1| -4 = 16 ?

Front

Get rid of the variables outside of the absolute value.

Back

What will the solution of this absolute value equation look like |exp.| < a ?

Front

-a < exp < a

Back

A linear system where two lines are directly on top of each other (infinite answers) would be what type of system?

Front

A dependent system.

Back

How is slope defined?

Front

The slope of a line measures the tilt of the line.

Back

How should you decide what side will be shaded in while graphing a linear inequality? y ≥ 1/2x - 3

Front

Test it by putting in a point, typically (0 , 0) and see if it's true. 0 ≥ 1/2(0) -3 is 0 ≥ 3, which means true. Shade on the side of the point. If false shade on opposite side.

Back

These two equations would be easiest to solve by what method Equation¹: y = -2x + 6 Equation²: 3x - 2y = 16?

Front

The substitution method, substitue first equation in place of y in the second: 3x - 2(-2x + 6) = 16 and solve.

Back

The graph of x = b is?

Front

A vertical line through b on the x axis. (Slope undefined)

Back

These two equations would be easiest to solve by what method Equation¹: 4x + 2y = 6 Equation²: 3x - 2y = 16?

Front

The addition method. If set up as if adding them together the y's would cancel. Then you could solve for x and then solve for y.

Back

What will the solution of this absolute value equation look like |exp.| = a ?

Front

exp = a or exp = -a

Back

When graphing linear inequalities, for what symbols would you use a solid line in the graph?

Front

≤ and ≥

Back

Describe this inequality in interval notation: x < 5/3 ?

Front

( -∞ , 5/3)

Back

What is the solution for |x - 5| < 0?

Front

∅ The absolute value of a number can never be < 0. No solution.

Back

What will the solution of this absolute value equation look like |exp.| > a ?

Front

exp. < -a or exp. > a

Back

When solving a linear system of equations, if the substitution or addition method resulted in 2 = 2, what would you have?

Front

A dependent system, two lines on top of each other. ∞ Solutions

Back

How is a negative line viewed?

Front

It runs downwards. m<0

Back

What is the solution for |x - 5| ≤ 0?

Front

{5} Absolute value of a number can never be < 0 but it can be 0 when x =5. |5 - 5| = 0

Back

Is this a linear equation or a linear function: y = 2x - 1 ?

Front

A linear equation.

Back

What three methods could be used to solve systems of linear equations? Equation¹: 2x + y = 6 Equation²: 3x - 2y = 16

Front

By graphing, the substitution method, and the addition method.

Back

For what inequality symbols do you use parenthesis?

Front

< and >

Back

If m=0 what type of line would be viewed on the graph?

Front

A horizontal line.

Back

For what inequality symbols do you use brackets?

Front

≤ and ≥

Back

How do we view lines on the graph to get the correct slope?

Front

Left to right

Back

What is the solution for |x - 5| ≥ 0?

Front

R. Any real number, because the absolute value of a number is always ≥ 0.

Back

How do we calculate slope from two given points? (x¹,y¹) (x²,y²)

Front

y² - y¹/x² - x¹ to get the slope. (rise/run)

Back

How do you find the equation of a line if you are given two points, but no y-intercept or slope? Such as: (4 , 3) (6 , -2)

Front

You would have to find the slope first, x² - x¹/y² - y¹, and then use the point slope equation, y - y¹ = m(x - x¹)

Back

How does slope tell us the tilt? y/x

Front

Because y/x = rise/run

Back

How do you find the y-intercept in a linear equation? ax + by = c

Front

Set x = 0 to isolate the y.

Back

What do you do when you have a negative denominator? ex b-2/-5

Front

Move it up top. answer: 2-b/5 (Make sure to change signs)

Back

What is the difference in slopes for perpendicular lines?

Front

They have negative reciprocals. ex. Line¹: m= 2/4, would mean Line²: m= -4/2

Back

A linear system where two lines are directly on top of each other (infinite answers) would be what type of system?

Front

A dependent system.

Back

The graph of y = b is?

Front

A horizontal line through b on the y axis. (Slope = 0)

Back

What do parallel lines have in common?

Front

Equal slopes. m¹ = m²

Back

When graphing linear inequalities, for what symbols would you use a dotted line in the graph?

Front

< and >

Back

How do you graph the line of a linear inequality? (Also the 2nd step) y ≥ 1/2x - 3

Front

Set the inequality as an equation y ≥ 1/2x - 3 turns into y = 1/2x - 3, and plot the line.

Back

Section 6

(50 cards)

Example: 0/a

Front

0.

Back

With Verticle Lines...

Front

The Slope is undefined!

Back

Example: a/0

Front

Not defined.

Back

Real Numbers

Front

2, -10, -131.3337, 1/3, etc. Real Numbers can be represented by decimal numbers. Real numbers include both the rational and irrational numbers.

Back

What is Median?

Front

The median (middle) value of a range of values.

Back

What is the Domain?

Front

x.

Back

Increasing & Decreasing Functions

Front

f increases on l if, whenever x^1<x^2, f(x^1)<f(x^2). f decreases on l if, whenever x^1<x^2, f(x^1)>f(x^2).

Back

When solving a linear system of equations, if the substitution or addition method resulted in 2 ≠ 4, what system would you have?

Front

An inconsistent system, parallel lines. No solution.

Back

Classify: 13/7

Front

Rational Number

Back

Integers

Front

-3, -2, -1, 0, 1, 2, 3, etc. These are the natural numbers, their additive inverses (negatives), and 0.

Back

What is the Standard Form?

Front

Back

Natural Numbers (Counting Numbers)

Front

1, 2, 3, 4, 5, 6, 7, 8, 9, etc. Whole numbers that are not negative.

Back

What is the Difference Quotient?

Front

Back

How do we read? And how should I read a graph?

Front

From left to right. Read a graph the same way.

Back

What is an Ordered Pair?

Front

(x, y)

Back

When solving a linear system of equations, if the substitution or addition method resulted in 2 = 2, what would you have?

Front

A dependent system, two lines on top of each other. ∞ Solutions

Back

What is the Distance Formula?

Front

Back

What is a Linear Equation?

Front

A Linear Equation in one variable is an equation that can be written in the form ax+b=0. It must be equal to 1 (variable). It can not be squared or cubed unless they cancel out. Some may not even have variables, which it then is undefined.

Back

What is the Standard Equation of a Circle?

Front

Back

What is a Function?

Front

A Function is a relation in which every element in a first set (domain) is paired to a unique element on a second set (range).

Back

What are the "Library of Functions?"

Front

Back

How do you Solve Application Problems?

Front

Back

Classify: -1.2

Front

Rational Number.

Back

What is the Vertical Line Test?

Front

If every vertical line intersects a graph at no more than one point, then the graph represents a function.

Back

What is a Circle?

Front

A Circle is a collection/set of points that are on a fixed distance (radius) from a fixed point (center).

Back

What must you ALWAYS be careful with?

Front

Your signs!

Back

Absolute Value is...

Front

Absolute Value is the distance from zero; always positive.

Back

What is a Cartesian (rectangular) coordinate plane?

Front

Back

What is the Domain of a Function?

Front

The Domain of a Function is the set of values that makes the function well defined. If the function is not well defined at a point, then that point is not in the domain.

Back

What is the Slope-Intercept Form of an Equation of a Line?

Front

Also known as a Linear Function.

Back

What is Mean?

Front

The quotient of the sum of several quantities and their number; an average.

Back

Order of Operations is...

Front

PEMDAS Parenthesis, Exponents, Multiplication, Division, Addition, Subtraction.

Back

The General Form of the Equation of a Line is...

Front

Back

Classify: 5

Front

Natural Number, Integer, Rational Number.

Back

What is the Range?

Front

y.

Back

What is Function Notation?

Front

f(x)=y

Back

What is the Slope Formula?

Front

Back

What is the Point-Slope Form of an Equation of a Line?

Front

Back

What does Relation mean?

Front

A relation is a set of ordered pairs.

Back

What is an Equation?

Front

An Equation is a statement that two mathematical expressions are equal.

Back

What is the U (Union) Symbol?

Front

Joins two pairs. You write this in between the inequality of the interval notation.

Back

How do you do Intersection-of-Graph method on a Calculator?

Front

Type in your results using Y=, Graph and then hit 2nd>Calc and Intersect to find the Intersection. Can also be done by hand.

Back

What are the three types of Equations?

Front

1. Contradiction - No solution. 2. Identity - There is a solution. 3. Conditional - Satisfied by some, but not by all values of the variable.

Back

Rational Numbers

Front

2/1, 1/3, (-1/4), 22/7, 0, 1.2, etc. Every integer is a rational number. Rational numbers can be expressed as decimals that either terminate (end) or repeat a sequence of digits.

Back

What is the Midpoint Formula?

Front

Back

What is Interval Notation and how do you use it?

Front

Back

What is the Range of a Function?

Front

The Range of a Function f(x) is the set {y=f(x)}.

Back

What are the Properties of Equality?

Front

Back

What is the Average Rate of Change?

Front

The Average Rate of Change of f from x^1 to x^2 is... y^2-y^1/x^2-x^1

Back

Irrational Numbers

Front

Irrational Numbers are numbers which are no rational numbers. They cannot be expressed as the ratio of two integers and has a decimal representation that does not terminate or repeat.

Back

Section 7

(50 cards)

Independent Variable

Front

variable that is changed in an experiment

Back

Constant of Variation

Front

the number k in equations of the form y=kx

Back

Standerd Form

Front

ax+by=c

Back

x-intercept

Front

The x-coordinate of the point where a line crosses the x-axis.

Back

Scatter Plot

Front

a graph with points plotted to show a possible relationship between two sets of data.

Back

How do you make a Perfect Square?

Front

Back

Function

Front

A relation which one element from the domain is paired with range

Back

What is the Quadratic Function Equation?

Front

The "a" in f(x) is called the Leading Coefficient.

Back

What is an easier alternate formula to find the vertex?

Front

Back

Mapping Diagram

Front

a way to show a relation that links elements of the domain with cooresponding elements of the range

Back

Stretch

Front

Multiplys all y values by the same factor greater than 1

Back

What is the Absolute Value Function?

Front

It is V-Shaped and is represented by y=|x|. It cannot be represented by single linear function.

Back

How do you do a Quadratic Equation by Calculator?

Front

Use Y^1 & Y^2 in your Calc. Hit Graph, and then use the Intersection.

Back

What is Set Builder Notation?

Front

Back

How can you Graph Quadratic Functions?

Front

By hand or by using a calculator. A calculator is a good tool to check your answer by hand!

Back

A Projectile is...

Front

... anything you can throw.

Back

Domain

Front

The set of x-coordinates of the set of points on a graph; the set of x-coordinates of a given set of ordered pairs. The value that is the input in a function or relation.

Back

What is the Square Root Property?

Front

Back

y-intercept

Front

the y-coordinate of the point where the line crosses the y-axis.

Back

Direct Variation

Front

y=kx

Back

Range

Front

The y-coordinates of the set of points on a graph. Also, the y-coordinates of a given set of ordered pairs.

Back

What is the basic Absolute Value Equation?

Front

You can also have a number inside, such as |x-3| and the equal sign can be changed to something such as < or >.

Back

Trend Line

Front

a line that approximates the relationship between the data sets of a scatter plot

Back

Slope Intersept Form

Front

the equation of a line in the form of y=mx+b, where m is the slope and b is the y intersept

Back

Linear Inequality

Front

an inequality in two variables whose graph is a region of the coordinate plane that is bounded by a line

Back

Function Notation

Front

an equation in the form of 'f(x)=' to show the output value of a function, f, for an input value x

Back

What is a Parabola?

Front

The graph f(x) is called a Parabola. Examples: f(x) = 2x^2 - x + 1 (Opens Upward because positive. a>0.) g(x) = -x^2 + 3x -5 (Opens Downward because negitive. a<0.) The highest (Absolute Max)/lowest (Absolute Min) point is called the Vertex.

Back

Shrink

Front

Reduces y values by a factor between 1-0

Back

What is a Compound Inequality?

Front

Make sure to isolate the variable in between. The solution set (in interval notation) of a compound inequality is always an interval of these: (a,b), [a,b], (a,b], [a,b).

Back

Relation

Front

A set of ordered pairs

Back

Parent Function

Front

The simplest function in a family; all functions in the family are transformations of it

Back

Linear Equation

Front

an equation whose graph is a straight line

Back

What is the Vertex Form?

Front

Parabola graph of f(x) = a (x-h)^2 + k with a not equal to 0; vertex (h,k). For the Vertex, h is always the opposite and k is what is displayed. This formula is known as the Standard Form of the Parabola.

Back

What are the Inequality Symbols?

Front

Back

Dependent Variable

Front

a factor that can change in an experiment in response to changes in the independent variable

Back

Transformation

Front

An operation that moves or changes a geometric figure in some way to produce a new figure

Back

Vertical Line Test

Front

a method to determine if a graph is a function or not

Back

How do you find the Area of a Rectangle?

Front

Back

What is the Formula when dealing with Distance, Speed, Time, etc.?

Front

Back

Absolute Value Function

Front

a function written in the form y = /x/, and the graph is always in the shape of a v

Back

Translation

Front

A transformation that "slides" each point of a figure the same distance in the same direction.

Back

Reflection

Front

A transformation that "flips" a figure over a mirror or reflection line.

Back

What can a Linear Function Equation be written as?

Front

f(x) = ax + b or f(x) = mx + b. The formula for a quadratic function is different from that of a linear function because it contains an x^2 term. Examples: f(x) = 3x^2 + 3x + 5 and g(x) = 5 - x^2 are not linear equations because of the ^2's.

Back

Slope

Front

the steepness of a line, equal to the ratio of a vertical change to the corresponding horizontal change

Back

Parameter

Front

a determining or characteristic element; a factor that shapes the total outcome; a limit, boundary

Back

Point slope form

Front

Y-Y1=m(x-x1)

Back

What is Completing the Square?

Front

As a Quadratic Expression: x^2 + kx + (k/2)2. As a Perfect Square Trinomial: x^2 + kx + (k/2)^2 = (x+k/2)^2.

Back

Completing the Square Example...

Front

x^2 + 4x + 5 1. x^2 + 4x ____ + 5 2. 4/2. ALWAYS divide by 2! Then square the answer; 2^2 = 4. Now add AND THEN ALSO subtract it. 3. (x^2 + 4x + 4) + 5 - 4 4. Now make it a perfect square! (x + 2)^2 + 1. This is the Standard Form - f(x) = a(x - h)^2 + k. 1(x+2)^2+1; 1 is a, 2 is h and 1 is k. Vertex is (-2,1) and it is going Upwards.

Back

Linear Function

Front

a function in which the graph of the solutions forms a line

Back

Vertex

Front

The point in a function where the function reaches a min or a max

Back

Section 8

(50 cards)

Complete Factored Form...

Front

f(x) = a^n (x-c)(x-b)(x-n)... Such as... 7x^3 - 21x^2 + 7x + 21 = 7(x+1)(x-1)(x-3)

Back

A Function is Neither if...

Front

A Function is "Neither" if it is not odd nor even. Such as... + + +.

Back

What types of Transformations are there?

Front

There are many types of Transformations. All moving either left, right, up or down. Some are... y = f(x) + c --> Upward. y = f(x) - c --> Downward. y = f(x - c) --> Right. y = f(x + c) --> Left. If a number is in front of the X, this number makes it go slower (Ex. 1/2) or faster (Ex. 2).

Back

Local/Relative Maximum (Minimum) & Absolute/Global Maximum (Minimum) is...

Front

Back

What is the Quadratic Formula?

Front

Back

Combining Transformations...

Front

Ex. y = -2(x - 1)^2 + 3 - Reflects across the x-axis. 2 Stretches vertically by a factor of 2. - 1 Shifts to the right 1 unit. + 3 Shifts upward 3 units.

Back

When doing Quadratic Equations...

Front

When doing Quadratic Equations, you can separate the denominator. Such as... (-3/2) + or - (sqrt3/2) or (-3 + or - sqrt3)/(2)

Back

Two ways to check when Dividing by Polynomials...

Front

Dividend/Divisor = Quotient + Remainder/Divisor or Dividend = (Divisor)(Quotient) + (Remainder)

Back

Two important things to remember in math are...

Front

PEMDAS and to be careful with your signs!

Back

Commutative Property

Front

Change the order without changing the outcome.

Back

Factoring can be done by...

Front

... trial and error.

Back

When dealing with shifting of graphs (ex.)...

Front

Ex. from Exam 2... 1. f(x) = x^2 + 2x - 7; left 8 unit, up 11 units. 2. f(x+8) + 11 3. f(x+8) = (x+8)^2 + 2(x+8) - 7 + 11. Clean up and done!

Back

The Fundamentals Theorem of Algebra is...

Front

The Fundamentals Theorem of Algebra is a Polynomail of degree n with complex coefficients has a complex zero. Fact: A Polynomial of degree n has n zeros (counting multiplicity.)

Back

What are Complex Numbers?

Front

A Complex Number is a number than can be written as a + bi. A is Real and B is Imaginary. >0 (is postive) - 2 distinct real sol. >| (bottom line) ( is zero) - Two solutons, but same. So 1. <0 (is negative) - No real solutions.

Back

A Function is Odd if...

Front

f(-x) = -f(x) (- + -) Always Symmetrical with respect to the origin.

Back

Synthetic Division...

Front

A shortcut that can be used to divide h-k into a polynomial. Make sure that everything is written in decreasing order of powers!

Back

The Factor Theroem...

Front

In the Factor Theroem, X-K is a factor of P(X) if and only if the remainder is P(K) = 0. (The remainder is 0). Ex. Decide if x-3 is a factor of x^3 - 2x +1 Use Synthetic, Linear or Remainder Theorem. P(X) = x^3 - 2x + 1 P(3) = 3^3 - 2(3) + 1 = 22 It's not 0, so x-3 is not a factor.

Back

Property

Front

The actions of numbers when combined.

Back

What is a Complex Conjugate?

Front

If a + bi is given, then the Complex Conjugate is a - bi. Fact: (a + bi)(a - bi) = a^2 + b^2. The i disappears. Fact: (Conjugate Zeros Therom) - If a + bi is a solution at some polynomial eqn., then a - bi is also a solution.

Back

The Discriminate Formula is...

Front

Back

Two rules when dealing with reflections and negatives are...

Front

1. When negative is outside, it will make it look down. (Also the opposite.) 2. When negative is inside, it will make it look left. (Also the opposite.) * When dealing with square roots, when the negative is inside, the only values we can then add are those that are negative... which then make it a positive and is valid.

Back

Associative Property

Front

Change the grouping without changing the outcome.

Back

Addition Property of Zero

Front

Adding zero to a number is equal to the same number.

Back

Base

Front

Number getting multiplied by itself.

Back

Power

Front

Indicates the number of times a number is multiplied by itself.

Back

Brackets

Front

used to group things to be done first, or show multiplication.

Back

What is a Transformation?

Front

A Transformation is a shift or translations in the xy-plane.

Back

Parentheses

Front

Used to group things to be done first, or show multiplication.

Back

Long Division...

Front

Make sure that everything is written in decreasing order of powers!

Back

When Dividing Polynomials, you must make sure...

Front

Make sure that everything is written in decreasing order of powers! Ex. 3x^3 - x^2 + 5 --> 3x^3 - x^2 + 0x + 5

Back

Order of Operations

Front

Order to solve a problem. PEMDAS.

Back

Conjugate Zeros Theorem is...

Front

The Conjugate Zeros Theorem is if a Polynomial f(x) has only real coefficients and if a + bi is a zero of f(x), then the conjugate a - bi is also a zero f(x). Ex. f(x) = 1 + 2i is a zero. f(x) = 1 - 2i is also a zero.

Back

Exponent

Front

Indicates how many times the base gets multiplied by itself.

Back

Real Zero's of a Polynomial facts...

Front

Real Zero's of a Polynomial = x-intercept. No x-intercept means no real zeros.

Back

Rational Zero's Test is...

Front

The possible Rational Zero's of f(x) are: factors of a^o / factors of a^n. Steps: 1. Consider the possible rational zeros. 2. Find the zero's of the quotient. 3. Write f(x) in factoral form.

Back

These (dealing with i & Transformations) can be done by...

Front

Hand and/or Calc.

Back

Composite

Front

A number that has three or more whole number factors.

Back

Distributive Property

Front

Distribute the the number to the other ones.

Back

Factor

Front

Number multiplied by another factor to get a product in a multiplication problem.

Back

Additive Identity Property

Front

Addition Propery of Zero

Back

What does Area equal?

Front

Back

A Function is Even if...

Front

f(-x) = f(x) (+ - +) Always Symmetrical with respect to the y-axis.

Back

Basics of division...

Front

Back

What is the Zero-Product Property?

Front

ab=0 if and only if a=0 or b=0.

Back

What is an Imaginary Unit?

Front

There is also more, but the most commonly used is the one above and i^2 = -1.

Back

The Remainder Theroem...

Front

The Remainder Theroem is when the remainder of dividing P(X) by X-K is P(K). You can also use Linear or Synthetic of course. Ex. f(2) = (2)^4 - 3(2)^2 - 4(2)^2 + 12(2)... Note: P(X) = (X-K) Q(X) + R If the remainder is 0, P(X) = (X-K) Q(X). Thus, (X-K) (The divisor) is a factor of P(X).

Back

Prime

Front

A number that has no other factors but itself and 1.

Back

What is a Polynomial Function?

Front

For example, 2x^2 - 3x + 1 is a Polynomial; C(X) = 4 is a Polynomial... you just don't see the "0's."

Back

What are some Complex Numbers?

Front

1 + 2i, -3i, 4, 3 - 11i, etc. Every Real Number is a Complex Number (Ex. 4 --> 4+0i).

Back

What is the Expression of sqrt(-a)?

Front

If a > 0, then sqrt(-a) = i sqrt(a).

Back

Section 9

(50 cards)

What is the Range of a Function?

Front

The Range of a Function f(x) is the set {y=f(x)}.

Back

What is Mean?

Front

The quotient of the sum of several quantities and their number; an average.

Back

Universal Set

Front

All the elements you can use.

Back

What is the Distance Formula?

Front

Back

Complement

Front

Everything that's NOT in that set.

Back

Origin

Front

Intersection of the two axes.

Back

What is the Midpoint Formula?

Front

Back

Coordinate Plane

Front

Plane determined by the axes

Back

Graph of the Ordered Pair

Front

Graph that order pairs get plotted onto.

Back

Intersection

Front

All the elements that belong to both sets.

Back

Coordinate axes

Front

lines that have the same scale and are drawn perpendicular to eachother.

Back

Absolute Value is...

Front

Absolute Value is the distance from zero; always positive.

Back

X- Axis

Front

Horizontal line

Back

What does Relation mean?

Front

A relation is a set of ordered pairs.

Back

Classify: -1.2

Front

Rational Number.

Back

Classify: 13/7

Front

Rational Number

Back

Y- Axis

Front

Vertical line

Back

Irrational Numbers

Front

Irrational Numbers are numbers which are no rational numbers. They cannot be expressed as the ratio of two integers and has a decimal representation that does not terminate or repeat.

Back

Example: 0/a

Front

0.

Back

x- coordinate

Front

(Abscissa) 1st number in the pair

Back

Integers

Front

-3, -2, -1, 0, 1, 2, 3, etc. These are the natural numbers, their additive inverses (negatives), and 0.

Back

Polygon

Front

Closed figure whose sides are line segments.

Back

What is an Ordered Pair?

Front

(x, y)

Back

What is the Range?

Front

y.

Back

What is a Cartesian (rectangular) coordinate plane?

Front

Back

What is the Domain of a Function?

Front

The Domain of a Function is the set of values that makes the function well defined. If the function is not well defined at a point, then that point is not in the domain.

Back

Example: a/0

Front

Not defined.

Back

What is Median?

Front

The median (middle) value of a range of values.

Back

Empty Sets

Front

Disjoint Sets { } or null.

Back

What must you ALWAYS be careful with?

Front

Your signs!

Back

Order of Operations is...

Front

PEMDAS Parenthesis, Exponents, Multiplication, Division, Addition, Subtraction.

Back

Multiplication Property of Zero

Front

Multiplying 0 by a number is equal to 0.

Back

Multiplication Property of 1

Front

Multiplying 1 by a number is equal to the same number.

Back

What is the Domain?

Front

x.

Back

Natural Numbers (Counting Numbers)

Front

1, 2, 3, 4, 5, 6, 7, 8, 9, etc. Whole numbers that are not negative.

Back

Quadrants

Front

4 regions, roman numerals 1, 2, 3 and 4, in a counterclockwise order.

Back

Classify: 5

Front

Natural Number, Integer, Rational Number.

Back

Rational Numbers

Front

2/1, 1/3, (-1/4), 22/7, 0, 1.2, etc. Every integer is a rational number. Rational numbers can be expressed as decimals that either terminate (end) or repeat a sequence of digits.

Back

What is a Function?

Front

A Function is a relation in which every element in a first set (domain) is paired to a unique element on a second set (range).

Back

What is a Circle?

Front

A Circle is a collection/set of points that are on a fixed distance (radius) from a fixed point (center).

Back

Multiplicative Inverses (Reciprocals)

Front

Multiplication Property of 1

Back

Quadrilateral

Front

polygon with 4 sides.

Back

Verticies

Front

Endpoints of the sides.

Back

Real Numbers

Front

2, -10, -131.3337, 1/3, etc. Real Numbers can be represented by decimal numbers. Real numbers include both the rational and irrational numbers.

Back

What is Function Notation?

Front

f(x)=y

Back

Disjoint Sets

Front

Empty Sets { } or null.

Back

Union

Front

Everything that belongs to BOTH sets.

Back

What is the Standard Equation of a Circle?

Front

Back

y- coordinate

Front

(Ordinate) 2nd number in the pair.

Back

Ordered Pair

Front

two numbers to be plotted.

Back

Section 10

(50 cards)

What is the Average Rate of Change?

Front

The Average Rate of Change of f from x^1 to x^2 is... y^2-y^1/x^2-x^1

Back

Slope

Front

Back

Compound Interest Formula solved for P

Front

Back

How do you Solve Application Problems?

Front

Back

Quadratic Equation

Front

Back

What is the Vertical Line Test?

Front

If every vertical line intersects a graph at no more than one point, then the graph represents a function.

Back

Permutations Formula

Front

Back

What is Set Builder Notation?

Front

Back

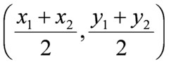
Midpoint Formula

Front

Back

What is a Compound Inequality?

Front

Make sure to isolate the variable in between. The solution set (in interval notation) of a compound inequality is always an interval of these: (a,b), [a,b], (a,b], [a,b).

Back

Slope Intercept

Front

Back

Combinations Formula

Front

Back

What are the "Library of Functions?"

Front

Back

What is the Formula when dealing with Distance, Speed, Time, etc.?

Front

Back

Log Power Rule

Front

logαMⁿ =nlogαM

Back

P(n,r) = n!/(n-r)!

Front

Permutations Formula

Back

Increasing & Decreasing Functions

Front

f increases on l if, whenever x^1<x^2, f(x^1)<f(x^2). f decreases on l if, whenever x^1<x^2, f(x^1)>f(x^2).

Back

How do we read? And how should I read a graph?

Front

From left to right. Read a graph the same way.

Back

What is the Slope-Intercept Form of an Equation of a Line?

Front

Also known as a Linear Function.

Back

Stnd Form of a Circle

Front

Back

What are the Properties of Equality?

Front

Back

Distance

Front

Back

What is Interval Notation and how do you use it?

Front

Back

Continuously Compound Interest Formula

Front

Back

What is the basic Absolute Value Equation?

Front

You can also have a number inside, such as |x-3| and the equal sign can be changed to something such as < or >.

Back

With Verticle Lines...

Front

The Slope is undefined!

Back

What is the U (Union) Symbol?

Front

Joins two pairs. You write this in between the inequality of the interval notation.

Back

Vertex Formula

Front

Back

Radioactive Decay Formula

Front

Af=Ai(2)-t/h Where Af is Amount Final(at present) is equal to Amount Initial times two raised to the negative of the amount of time passed divided by the Halflife.

Back

What is the Absolute Value Function?

Front

It is V-Shaped and is represented by y=|x|. It cannot be represented by single linear function.

Back

What is a Linear Equation?

Front

A Linear Equation in one variable is an equation that can be written in the form ax+b=0. It must be equal to 1 (variable). It can not be squared or cubed unless they cancel out. Some may not even have variables, which it then is undefined.

Back

What is an Equation?

Front

An Equation is a statement that two mathematical expressions are equal.

Back

nCr = n!/r!(n-r)!

Front

Combinations Formula

Back

How do you do Intersection-of-Graph method on a Calculator?

Front

Type in your results using Y=, Graph and then hit 2nd>Calc and Intersect to find the Intersection. Can also be done by hand.

Back

General Form of a Circle

Front

Back

Compound Interest Formula

Front

Back

Pascals Triangle

Front

Back

What is the Difference Quotient?

Front

Back

Testing Symmetry

Front

Back

Logarithmic Relationships

Front

Back

Binomial Expansion

Front

Back

What is the Standard Form?

Front

Back

What are the three types of Equations?

Front

1. Contradiction - No solution. 2. Identity - There is a solution. 3. Conditional - Satisfied by some, but not by all values of the variable.

Back

Difference Quotient

Front

Back

Log Change of Base Formula

Front

Back

What is the Slope Formula?

Front

Back

What are the Inequality Symbols?

Front

Back

The General Form of the Equation of a Line is...

Front

Back

Malthusian Population Growth

Front

P = Pµeⁿ° Where P is current population, Pµ is initial population, e is raised to the ()number in years times the °growth rate (birth rate - death rate)

Back

What is the Point-Slope Form of an Equation of a Line?

Front

Back

Section 11

(52 cards)

reciprocal

Front

one of a pair of numbers whose product is 1: the reciprocal of 2/3 is 3/2

Back

distributive property

Front

a(b + c) = ab + ac an + ac = a(b+ c)

Back

multiplication identity property

Front

The product of any number and one is that number.

Back

variable expression

Front

consists of numbers, variables, and operations

Back

terms

Front

in an expression are separated by addition and subtraction signs

Back

Point Slope Form

Front

Back

ratio

Front

a comparison of two numbers by division

Back

Inequality

Front

A statement that compares two quantities using <, >, ≤,≥, or ≠

Back

ordered pair

Front

A pair of numbers, (x, y), that indicate the position of a point on a coordinate plane.

Back

like terms

Front

terms that have identical variable parts raised to the same power

Back

area

Front

the number of square units needed to cover a flat surface

Back

equation

Front

a mathematical sentence with an equal sign that shows that two expressions are equivalent

Back

Summation Notation

Front

Back

solving an equation

Front

finding all the solutions of an equation

Back

rational number

Front

A number that can be written as a/b where a and b are integers, but b is not equal to 0.

Back

order of operations

Front

the order in which operations in an expression to be evaluated are carried out. 1. parentheses 2. exponets 3. multiplication and divison 4. addition and subtraction

Back

domain

Front

the set of all the input (x-values) for a function

Back

integers

Front

Positive and Negative Whole Numbers and 0. Examples: .... -3, -2, -1, 0, 1, 2, 3.....(Does not include fractions or decimals)

Back

additive inverse property

Front

The sum of a number and its opposite is zero.

Back

output

Front

the y-value in a function

Back

rate

Front

a ratio that compares two quantities measured in different units

Back

associative property of multiplication

Front

changing the grouping of factors will not change the product, (ab)c = a(bc)

Back

Solve for a variable

Front

To get a variable alone on one side of an equation or inequality in order to solve the equation or inequality

Back

perimeter

Front

The sum of the lengths of the sides of a polygon

Back

Binomial Expansion By Pascals Triangle

Front

Back

additive identity property

Front

The sum of a number and zero is always that number.

Back

Definition of Term in Binomial Expansion

Front

Back

range

Front

the set of all the output (y-values) for a function

Back

variable

Front

a letter used to represent one or more numbers

Back

constant

Front

a term that has no variable and does not change

Back

coefficient

Front

number in front of a variable

Back

Factorial Notation

Front

n! = n × (n - 1) × (n - 2) × (n - 3) × ... × 3 × 2 × 1

Back

base

Front

is the number that is repeatedly multiplied in a power

Back

numerical expression

Front

consists of numbers and operations

Back

commutative property of addition

Front

In a sum, you can add terms in any order, a + b = b + a

Back

exponent

Front

a mathematical notation indicating the number of times a quantity is multiplied by itself

Back

Equivalent Equations

Front

equations that have the same solution

Back

linear equation

Front

an equation whose answers are ordered pairs (x,y) and whose answers graph a straight line

Back

irrational number

Front

a number that can not be written a/b

Back

power

Front

is a number made of repeated factors

Back

coordinate plane

Front

A plane that is divided into four regions by a horizontal line called the x-axis and a vertical line called the y-axis. aka "the Cartesian plane" after René Descartes

Back

associative property of addition

Front

changing the grouping of terms will not change the sum, (a + b) + c = a + (b + c)

Back

Inverse Operation

Front

operations that undo each other, such as addition and subtraction

Back

quadrant

Front

one of four sections into which the coordinate plane is divided

Back

commutative property of multiplication

Front

the order of the factors does not change the product a x b = b x a

Back

function

Front

a relation that assigns exactly one output value for each input value

Back

evaluate

Front

to find the value of an expression

Back

input

Front

the x-value in a function

Back

x-intercept

Front

the point where a graph crosses the x-axis

Back

Standard Form of a Line

Front

Back

Section 12

(53 cards)

promoting

Front

calling attention to, advertising or publicizing

Back

in terms of

Front

with regard to,with respect to

Back

slope

Front

the steepness of a line on a graph, rise over run

Back

Range

Front

the second term in an ordered pair

Back

represents

Front

under or below

Back

reasonable conclusion

Front

a position or opinion or judgment reached after considering facts and observations

Back

effect

Front

an outward appearance

Back

approximately

Front

Almost, but not exactly; more or less

Back

per

Front

by or through

Back

non-included

Front

Not between

Back

shown

Front

to reveal

Back

Slope Intercept Form

Front

y= mx + b where "m=slope" and "b=y-intercept"

Back

composed of

Front

made up of

Back

view

Front

the act of looking or seeing or observing

Back

prove

Front

prove formally

Back

additional

Front

existing or coming by way of addition

Back

determine

Front

shape or influence

Back

chemical compound

Front

a substance formed by the chemical combination of two or more elements in definite proportions

Back

Absolute Value

Front

a number's distance from zero

Back

region

Front

the approximate amount of something usually used prepositionally as in 'in the region of'

Back

international

Front

concerning or belonging to all or at least two or more nations

Back

Domain

Front

the first term in an ordered pair

Back

Rational Numbers

Front

numbers that stop and can be written as fractions

Back

closets to

Front

something that is close to another object

Back

identical

Front

exactly alike

Back

common

Front

to be expected

Back

Coefficient

Front

the number in front of the variable (ie: 5 in 5a)

Back

joined

Front

joined

Back

regarding

Front

concerning about or with respect to

Back

elapsed

Front

passed

Back

conclusion

Front

the act of making up your mind about something

Back

Irrational Numbers

Front

numbers that do not repeat or terminate

Back

Slope Formula

Front

Slope=m= Y2 - Y1 / X2 - X1

Back

population

Front

statistics the entire aggregation of items from which samples can be drawn

Back

satisfy

Front

fill or meet a want or need

Back

routine

Front

found in the ordinary course of events

Back

corresponding

Front

Angles or lines of 2 different polygons that are in the same position

Back

best represents

Front

closest to; most similar to

Back

annual

Front

occurring or payable every year

Back

exceeds

Front

to go beyond

Back

sufficent

Front

all that is needed, enough

Back

systems

Front

groups of organs working together to perform complex functions

Back

formed

Front

clearly defined

Back

y-intercept

Front

the point where a graph crosses the y-axis

Back

counterexample

Front

refutation by example

Back

twice

Front

two times

Back

category

Front

a classification or grouping

Back

creates

Front

to make, form.

Back

shown

Front

Revealed

Back

regardless

Front

in spite of everything

Back

Section 13

(52 cards)

Monomial

Front

a number, variable, or a product of a number and variable

Back

Elimination Method

Front

eliminate a variable by adding or subtracting the equations

Back

Translation

Front

movement of a figure

Back

Relative Minimum

Front

lowest point on a graph

Back

Scalar Multiplication

Front

multiplying a matrix by a scalar

Back

Vertex

Front

the point of intersection between lines

Back

conclusion

Front

the act of making up your mind about something

Back

Determinant

Front

numbers in a square array enclosed by parallel lines

Back

Empty Set

Front

when an equation has no solution

Back

counterexample

Front

refutation by example

Back

Feasible Region

Front

the area between intersecting lines (shaded area)

Back

composed of

Front

made up of

Back

elapsed

Front

passed

Back

Synthetic Substitution

Front

the use of synthetic division to evaluate a polynomial

Back

formed

Front

clearly defined

Back

Function

Front

one domain paired with exactly one range

Back

creates

Front

to make, form.

Back

effect

Front

an outward appearance

Back

Independent Variable

Front

the variable that makes up the domain

Back

Discriminant

Front

b²-4ac

Back

Quadratic Equation

Front

x=(-b±√b²-4ac)/2a

Back

Relative Maximum

Front

highest point on a graph

Back

Leading Coefficient

Front

the coefficient of the term with the highest degree

Back

Scatter Plot

Front

a graph of ordered pairs

Back

Matrix

Front

a rectangular array of numbers inside square brackets

Back

Standard Form

Front

Ax+By=c

Back

annual

Front

occurring or payable every year

Back

corresponding

Front

Angles or lines of 2 different polygons that are in the same position

Back

common

Front

to be expected

Back

Dilation

Front

enlargement or reduction of an image

Back

Imaginary Unit

Front

i = √-1

Back

chemical compound

Front

a substance formed by the chemical combination of two or more elements in definite proportions

Back

identical

Front

exactly alike

Back

Synthetic Division

Front

method used to divide polynomials by monomials

Back

Polynomial Function

Front

function represented by a monomial or a sum of monomials

Back

Quadratic Function

Front

an equation of the form x²

Back

Systems of equations

Front

2 or more equations with the same variable

Back

Degree of a Polynomial

Front

greatest degree of any term

Back

approximately

Front

Almost, but not exactly; more or less

Back

Parabola

Front

a "u" shaped graph y=x²

Back

exceeds

Front

to go beyond

Back

Substitution Method

Front

solve an equation and substitute it into another equation

Back

Element

Front

each number in a matrix

Back

category

Front

a classification or grouping

Back

x-intercept

Front

where a graph crosses the x-axis

Back

additional

Front

existing or coming by way of addition

Back

Complex Number

Front

a number in the form a+bi

Back

Slope

Front

change in y over the change in x (rise/run)

Back

determine

Front

shape or influence

Back

Root

Front

solutions to a quadratic equation

Back

Section 14

(50 cards)

shown

Front

Revealed

Back

sufficent

Front

all that is needed, enough

Back

international

Front

concerning or belonging to all or at least two or more nations

Back

variable

Front

a letter used to represent one or more numbers

Back

population

Front

statistics the entire aggregation of items from which samples can be drawn

Back

region

Front

the approximate amount of something usually used prepositionally as in 'in the region of'

Back

in terms of

Front

with regard to,with respect to

Back

commutative property of multiplication

Front

the order of the factors does not change the product a x b = b x a

Back

terms

Front

in an expression are separated by addition and subtraction signs

Back

coordinate plane

Front

A plane that is divided into four regions by a horizontal line called the x-axis and a vertical line called the y-axis. aka "the Cartesian plane" after René Descartes

Back

associative property of multiplication

Front

changing the grouping of factors will not change the product, (ab)c = a(bc)

Back

regarding

Front

concerning about or with respect to

Back

systems

Front

groups of organs working together to perform complex functions

Back

integers

Front

Positive and Negative Whole Numbers and 0. Examples: .... -3, -2, -1, 0, 1, 2, 3.....(Does not include fractions or decimals)

Back

view

Front

the act of looking or seeing or observing

Back

best represents

Front

closest to; most similar to

Back

base

Front

is the number that is repeatedly multiplied in a power

Back

like terms

Front

terms that have identical variable parts raised to the same power

Back

area

Front

the number of square units needed to cover a flat surface

Back

variable expression

Front

consists of numbers, variables, and operations

Back

numerical expression

Front

consists of numbers and operations

Back

additive identity property

Front

The sum of a number and zero is always that number.

Back

order of operations

Front

the order in which operations in an expression to be evaluated are carried out. 1. parentheses 2. exponets 3. multiplication and divison 4. addition and subtraction

Back

power

Front

is a number made of repeated factors

Back

represents

Front

under or below

Back

distributive property

Front

a(b + c) = ab + ac an + ac = a(b+ c)

Back

closets to

Front

something that is close to another object

Back

perimeter

Front

The sum of the lengths of the sides of a polygon

Back

non-included

Front

Not between

Back

additive inverse property

Front

The sum of a number and its opposite is zero.

Back

constant

Front

a term that has no variable and does not change

Back

commutative property of addition

Front

In a sum, you can add terms in any order, a + b = b + a

Back

joined

Front

joined

Back

satisfy

Front

fill or meet a want or need

Back

routine

Front

found in the ordinary course of events

Back

coefficient

Front

number in front of a variable

Back

associative property of addition

Front

changing the grouping of terms will not change the sum, (a + b) + c = a + (b + c)

Back

equation

Front

a mathematical sentence with an equal sign that shows that two expressions are equivalent

Back

per

Front

by or through

Back

reasonable conclusion

Front

a position or opinion or judgment reached after considering facts and observations

Back

regardless

Front

in spite of everything

Back

shown

Front

to reveal

Back

solving an equation

Front

finding all the solutions of an equation

Back

prove

Front

prove formally

Back

promoting

Front

calling attention to, advertising or publicizing

Back

twice

Front

two times

Back

evaluate

Front

to find the value of an expression

Back

exponent

Front

a mathematical notation indicating the number of times a quantity is multiplied by itself

Back

multiplication identity property

Front

The product of any number and one is that number.

Back

ordered pair

Front

A pair of numbers, (x, y), that indicate the position of a point on a coordinate plane.

Back

Section 15

(52 cards)

domain

Front

the set of all the input (x-values) for a function

Back

5 ∙ 0 = 0

Front

n ∙ 0 = 0

Back

5 + 4 = 4 + 5

Front

n + m = m + n

Back

6 + 0 = 6

Front

n + 0 = n

Back

7/8 ∙ 1 = 7/8

Front

n ∙ 1 = n

Back

¼ - ¼ = 0

Front

n - n = 0

Back

6 + 1.3 = 1.3 + .6

Front

n + m = m + n

Back

Equivalent Equations

Front

equations that have the same solution

Back

x-intercept

Front

the point where a graph crosses the x-axis

Back

2/5 + ¼ = ¼ + 2/5

Front

n + m = m + n

Back

(.2)(0) = 0

Front

n ∙ 0 = 0

Back

34 - 34 = 0

Front

n - n = 0

Back

(-5)(2) = (2)(-5)

Front

nm = mn

Back

2/3 + 0 = 2/3

Front

n + 0 = n

Back

y-intercept

Front

the point where a graph crosses the y-axis

Back

Slope Intercept Form

Front

y= mx + b where "m=slope" and "b=y-intercept"

Back

9 ∙ 1 = 9

Front

n ∙ 1 = n

Back

rate

Front

a ratio that compares two quantities measured in different units

Back

(1)(1) = 1

Front

n ∙ 1 = n

Back

rational number

Front

A number that can be written as a/b where a and b are integers, but b is not equal to 0.

Back

.25 + 0 = .25

Front

n + 0 = n

Back

(-5)1 = -5

Front

nm = mn

Back

ratio

Front

a comparison of two numbers by division

Back

slope

Front

the steepness of a line on a graph, rise over run

Back

linear equation

Front

an equation whose answers are ordered pairs (x,y) and whose answers graph a straight line

Back

(-6)(-6) = (6)2

Front

n ∙ n = n[sq]

Back

5 - 5 = 0

Front

n - n = 0

Back

2 ∙ 2 = 22

Front

n ∙ n = n[sq]

Back

input

Front

the x-value in a function

Back

Solve for a variable

Front

To get a variable alone on one side of an equation or inequality in order to solve the equation or inequality

Back

function

Front

a relation that assigns exactly one output value for each input value

Back

output

Front

the y-value in a function

Back

0 ∙ 1 = 0

Front

n ∙ 0 = 0

Back

irrational number

Front

a number that can not be written a/b

Back

(½)(½) = (½)2

Front

n ∙ n = n[sq]

Back

3 ∙ 3 = 32

Front

n ∙ n = n[sq]

Back

range

Front

the set of all the output (y-values) for a function

Back

(.6)(1) = 1

Front

n ∙ 1 = n

Back

4 ∙ 7 = 7 ∙ 4

Front

nm = mn

Back

(.9)(.9) = (.9)2

Front

n ∙ n = n[sq]

Back

72 + 0 = 72

Front

n + 0 = n

Back

Inequality

Front

A statement that compares two quantities using <, >, ≤,≥, or ≠

Back

reciprocal

Front

one of a pair of numbers whose product is 1: the reciprocal of 2/3 is 3/2

Back

0 ∙ 3 = 0

Front

n ∙ 0 = 0

Back

(¾)(0) = 0

Front

n ∙ 0 = 0

Back

(.4)(.6) = (.6)(.4)

Front

nm = mn

Back

Inverse Operation

Front

operations that undo each other, such as addition and subtraction

Back

Slope Formula

Front

Slope=m= Y2 - Y1 / X2 - X1

Back

9.4 - 9.4 = 0

Front

n - n = 0

Back

quadrant

Front

one of four sections into which the coordinate plane is divided

Back

Section 16

(51 cards)

complex number

Front

z=a+bi where i=√-1

Back

½ ∙ 2 = 1

Front

n ∙ 1/n = 1

Back

Orthonormal Basis

Front

a subspace spanned by an orthogonal set of unit vectors

Back

orthogonality

Front

Subspaces and orthogonality: A vector is only in a space (that is transposed) if it is orthogonal to every other vector in that space. WT is a subspace of Rn

Back

Indefinite

Front

Q(x) assumes both positive and negative values Eigenvalues are both positive and negative

Back

spectral theorem

Front

if A is symmetric, then it has real eigenvalues and can be orthogonally diagonalized

Back

Eigenspace

Front

the set of all solutions for Ax=λx for a specific λ; the null-space of (A-λI)

Back

Cauchy-Schwarz inequality

Front

We use this to find the angle between two real vectors in terms of approximations; (find out more!)

Back

unit vector

Front

A vector with a length of one (unit, hence the name)

Back

quadratic form

Front

A function (Q()) where the vector inputed (x) = x^T Ax, where A is a symmetric matrix

Back

Linear Substitution

Front

find out about linear substitution

Back

angles between real vectors

Front

U·V=‖‖U‖‖ ‖‖V‖‖ cos (ϴ); ϴ=cos-1(U·V)/U·V

Back

orthogonal diagonalization (of a real symmetric matrix)

Front

When an orthogonal matrix P with a diagonalized matrix D where A=PDP⁻¹=PDP^T (P⁻¹=P^T)

Back

Change of Variable

Front

To change: 1. orthogonally diagonalize matrix A 2. Make D a diagonal matrix with eigenvalues 3.substitute x^T Ax with (Py)^T A (Py) where x = Py 4.simplify to get λy² +λy²...

Back

7 ∙ 1/7 = 1

Front

n ∙ 1/n = 1

Back

.3/.3 = 1

Front

n/n = 1

Back

modulus

Front

(length of a complex number) z=√(a²+b²)=‖a,b‖

Back

Trace (of a square matrix)

Front

Sum of the diagonal entries in a square matrix. Also important: It is the sum of the eigenvalues of A

Back

Length (complex and real vectors)

Front

The square root of all the entries of the vector squared, if it is a vector with complex entries than you must use the absolute values of the complex numbers.

Back

orthogonal vector

Front

a set of non-zero vectors; angle between vectors is 90; the dot product is zero

Back

Principle Axes Theorem

Front

Let A be a symmetric matrix; there is an orthogonal change of variable, x = Py, that transforms xTAx into yTDy with no cross-products

Back

Orthogonal Projection

Front

turning a vector into two other vectors r that sum up to it requires an orthogonal projection; Finding the weights for the linear combination: C1 =Y·U1/U1·U1 , given that y=c1v1+c2v2...

Back

y = x²

Front

Back

Gram-Schmidt Process

Front

used for making orthonormal/orthogonal bases; The process, which makes a set of vectors {x1..xn} into an orthogonal basis {v1...vn} 1. v1 = x1 2. v2 =x1- (x2·v1/v1·v1)v1 3. v3 = x3- (x3·v1/v1·v1)v1-x3·v2/v2·v2)v2 (etc.)

Back

Algebraic Multiplicity

Front

number of times an eigenvalue repeats. Or the number of times that a root appears in the characteristic polynomial.

Back

Orthogonal Matrix

Front

a square invertible matrix such that U-1=UT; has orthonormal columns and rows

Back

y = x² − 3

Front

Back

Positive Semidefinite

Front

Q(x)0 for all x Eigenvalues are all non-negative

Back

9/9 = 1

Front

n/n = 1

Back

5/8 ÷ 5/8 = 1

Front

n/n = 1

Back

Eigenvalue

Front

a scalar, nonzero solution to Ax=λx;Basically it is when you have a vector multiplied by a given matrix that produces another vector, which can be represented as a scalar (eigenvalue) and the original vector; Found by solving the characteristic polynomial (they are the roots)

Back

Characteristic (polynomials of square matrices)

Front

Found by setting det(A-I)=0, a scalar equation that gives us roots of eigenvalues

Back

Spectrum (of a matrix)

Front

the range or set of all eigenvalues of a square

Back

Least Square fit

Front

approximating inconsistent systems of Ax = b; the smaller difference of ||b-Ax||, the better the approximation; ATAx(approx)=ATb(approx)

Back

conjugate (of complex numbers)

Front

z=a-bi, etc.

Back

Eigenvector

Front

a nonzero vector (x) where Ax=λx;basically its a scaled vector, where the linear transformation doesn't change; It's also a nonzero in the nullspace of a given matrix [think(A-I)x=0

Back

Transpose Properties (of a matrix)

Front

1. (A^t)^t = A 2. (AB)^t = Bt At 3. (cA)t = c (A)t

Back

7/8 ∙ 8/7 = 1

Front

n ∙ 1/n = 1

Back

3 ∙ 1/3 = 1

Front

n ∙ 1/n = 1

Back

spectral decomposition

Front

A=1u1uT1 +2u2uT2....... where u are the columns of P in A=PDPTwhere PT=P-1; this is the equation for matrix A where the spectrum of eigenvalues determine each piece

Back

Orthogonal Basis

Front

Where all the vectors in the set are orthogonal to each other that forms a subspace; a.k.a where an orthogonal set that is also a subspace

Back

symmetric matrix

Front

A matrix such that it equals its transpose; any two of its eigevectors from different eigenspaces ( made from different eigenvalues) are orthogonal; counting multiplicities, has as many eigenvalues as rows or columns;orthogonally diagonizable.

Back

similar matrix

Front

When two matrices A, B and another (invertible) matrix P satisfy A=P⁻¹BP

Back

Geometric Multiplicity

Front

dimension of eigenspace (number of free variables)

Back

Positive definite

Front

Q(x)0 for all x≠0 All eigenvalues are all positive

Back

Negative definite

Front

Q(x)0 for all x≠0 All eigenvalues are all negative

Back

y = x² + 3

Front

Back

diagonalizable matrix

Front

the factorization of a matrix into three other matrices, PDP⁻¹, where D is a matrix containing the eigenvalues

Back

14/14 = 1

Front

n/n = 1

Back

Orthonormal Vector

Front

orthogonal vectors which have a length of 1(are unit vectors)

Back

Section 17

(50 cards)

y = ± √(x − 5)

Front

Back

y = −x²

Front

Back

y = (x−1)² +3

Front

Back

b = 4

Front

This graph does NOT represent ax² -1/4, where a would be a fraction less than 1. This graph is of the form (x⁴ - a)/(x² + b) Find the integer, b. HINT Type "b= ..."

Back

additive identity property

Front

The sum of a number and zero is always that number.

Back

associative property of addition

Front

changing the grouping of terms will not change the sum, (a + b) + c = a + (b + c)

Back

y = −x² −2x

Front

Back

y = ±√x + 3

Front

Back

y = (x+3)² −5

Front

Back

base

Front

is the number that is repeatedly multiplied in a power

Back

additive inverse property

Front

The sum of a number and its opposite is zero.

Back

y = ±√(x+3)

Front

Back

y = ±√(−x+3)

Front

Back

y = −5x²

Front

Back

y = (x − 3)²

Front

Back

evaluate

Front

to find the value of an expression

Back

y = x² + 3x

Front

Back

y = (x+1)²

Front

Back

area

Front

the number of square units needed to cover a flat surface

Back

numerical expression

Front

consists of numbers and operations

Back

y = ±√x − 5

Front

Back

y = (x−2)²

Front

Back

y = (x−2)² +5

Front

Back

variable expression

Front

consists of numbers, variables, and operations

Back

y = x² + 10

Front

Back

perimeter

Front

The sum of the lengths of the sides of a polygon

Back

commutative property of addition

Front

In a sum, you can add terms in any order, a + b = b + a

Back

power

Front

is a number made of repeated factors

Back

y = (x+5)²

Front

Back

y = ±√−x

Front

Back

distributive property

Front

a(b + c) = ab + ac an + ac = a(b+ c)

Back

y = ±√x

Front

Back

variable

Front

a letter used to represent one or more numbers

Back

integers

Front

Positive and Negative Whole Numbers and 0. Examples: .... -3, -2, -1, 0, 1, 2, 3.....(Does not include fractions or decimals)

Back

associative property of multiplication

Front

changing the grouping of factors will not change the product, (ab)c = a(bc)

Back

exponent

Front

a mathematical notation indicating the number of times a quantity is multiplied by itself

Back

y = x² −25

Front

Back

multiplication identity property

Front

The product of any number and one is that number.

Back

order of operations

Front

the order in which operations in an expression to be evaluated are carried out. 1. parentheses 2. exponets 3. multiplication and divison 4. addition and subtraction

Back

y = ±√−x + 2

Front

Back

c) (x⁴−9)/(x²+1)

Front

Which function is shown in blue? a) (x⁴−9)/(x²+9) b) (x⁴−9)/(x²+2) c) (x⁴−9)/(x²+1)

Back

y = − (1/5)x²

Front

Back

commutative property of multiplication

Front

the order of the factors does not change the product a x b = b x a

Back

solving an equation

Front

finding all the solutions of an equation

Back

y = x² −5x

Front

Back

y = x² − 9

Front

Back

y = x² −3x

Front

Back

equation

Front

a mathematical sentence with an equal sign that shows that two expressions are equivalent

Back

y = (x+2)²

Front

Back

y = x² − 4

Front

Back

Section 18

(54 cards)

power

Front

is a number made of repeated factors

Back

reciprocal

Front

one of a pair of numbers whose product is 1: the reciprocal of 2/3 is 3/2

Back

exponent

Front

a mathematical notation indicating the number of times a quantity is multiplied by itself

Back

Solve for a variable

Front

To get a variable alone on one side of an equation or inequality in order to solve the equation or inequality

Back

ratio

Front

a comparison of two numbers by division

Back

x-intercept

Front

the point where a graph crosses the x-axis

Back

equation

Front

a mathematical sentence with an equal sign that shows that two expressions are equivalent

Back

numerical expression

Front

consists of numbers and operations

Back

integers

Front

Positive and Negative Whole Numbers and 0. Examples: .... -3, -2, -1, 0, 1, 2, 3.....(Does not include fractions or decimals)

Back

commutative property of multiplication

Front

the order of the factors does not change the product a x b = b x a

Back

Slope Formula

Front

Slope=m= Y2 - Y1 / X2 - X1

Back

function

Front

a relation that assigns exactly one output value for each input value

Back

area

Front

the number of square units needed to cover a flat surface

Back

constant

Front

a term that has no variable and does not change

Back

Equivalent Equations

Front

equations that have the same solution

Back

slope

Front

the steepness of a line on a graph, rise over run

Back

evaluate

Front

to find the value of an expression

Back

irrational number

Front

a number that can not be written a/b

Back

terms

Front

in an expression are separated by addition and subtraction signs

Back

terms

Front

in an expression are separated by addition and subtraction signs

Back

Slope Intercept Form

Front

y= mx + b where "m=slope" and "b=y-intercept"

Back

coordinate plane

Front

A plane that is divided into four regions by a horizontal line called the x-axis and a vertical line called the y-axis. aka "the Cartesian plane" after René Descartes

Back

y-intercept

Front

the point where a graph crosses the y-axis

Back

base

Front

is the number that is repeatedly multiplied in a power

Back

multiplication identity property

Front

The product of any number and one is that number.

Back

coefficient

Front

number in front of a variable

Back

perimeter

Front

The sum of the lengths of the sides of a polygon

Back

domain

Front

the set of all the input (x-values) for a function

Back

like terms

Front

terms that have identical variable parts raised to the same power

Back

ordered pair

Front

A pair of numbers, (x, y), that indicate the position of a point on a coordinate plane.

Back

rational number

Front

A number that can be written as a/b where a and b are integers, but b is not equal to 0.

Back

variable

Front

a letter used to represent one or more numbers

Back

Inverse Operation

Front

operations that undo each other, such as addition and subtraction

Back

associative property of multiplication

Front

changing the grouping of factors will not change the product, (ab)c = a(bc)

Back

commutative property of addition

Front

In a sum, you can add terms in any order, a + b = b + a

Back

solving an equation

Front

finding all the solutions of an equation

Back

quadrant

Front

one of four sections into which the coordinate plane is divided

Back

associative property of addition

Front

changing the grouping of terms will not change the sum, (a + b) + c = a + (b + c)

Back

Inequality

Front

A statement that compares two quantities using <, >, ≤,≥, or ≠

Back

like terms

Front

terms that have identical variable parts raised to the same power

Back

linear equation

Front

an equation whose answers are ordered pairs (x,y) and whose answers graph a straight line

Back

order of operations

Front

the order in which operations in an expression to be evaluated are carried out. 1. parentheses 2. exponets 3. multiplication and divison 4. addition and subtraction

Back

additive inverse property

Front

The sum of a number and its opposite is zero.

Back

range

Front

the set of all the output (y-values) for a function

Back

variable expression

Front

consists of numbers, variables, and operations

Back

input

Front

the x-value in a function

Back

additive identity property

Front

The sum of a number and zero is always that number.

Back

rate

Front

a ratio that compares two quantities measured in different units

Back

output

Front

the y-value in a function

Back

distributive property

Front

a(b + c) = ab + ac an + ac = a(b+ c)

Back

Section 19

(53 cards)

coefficient

Front

number in front of a variable

Back

Inverse Operation

Front

operations that undo each other, such as addition and subtraction

Back

y = x² − 3

Front

Back

slope

Front

the steepness of a line on a graph, rise over run

Back

y = −5x²

Front

Back

y = (x+1)²

Front

Back

constant

Front

a term that has no variable and does not change

Back

y = x² − 4

Front

Back

y = ±√(x+3)

Front

Back

y = −x²

Front

Back

y = ±√x + 3

Front

Back

Equivalent Equations

Front

equations that have the same solution

Back

y = x² + 3

Front

Back

Slope Formula

Front

Slope=m= Y2 - Y1 / X2 - X1

Back

y = x² + 3x

Front

Back

y = (x+3)² −5

Front

Back

function

Front

a relation that assigns exactly one output value for each input value

Back

y = (x+5)²

Front

Back

output

Front

the y-value in a function

Back

y = ± √(x − 5)

Front

Back

ordered pair

Front

A pair of numbers, (x, y), that indicate the position of a point on a coordinate plane.

Back

Solve for a variable

Front

To get a variable alone on one side of an equation or inequality in order to solve the equation or inequality

Back

x-intercept

Front

the point where a graph crosses the x-axis

Back

coordinate plane

Front

A plane that is divided into four regions by a horizontal line called the x-axis and a vertical line called the y-axis. aka "the Cartesian plane" after René Descartes

Back

y = x² + 10

Front

Back

rational number

Front

A number that can be written as a/b where a and b are integers, but b is not equal to 0.

Back

y = (x − 3)²

Front

Back

irrational number

Front

a number that can not be written a/b

Back

y = (x+2)²

Front

Back

y = (x−1)² +3

Front

Back

y = x² −3x

Front

Back

reciprocal

Front

one of a pair of numbers whose product is 1: the reciprocal of 2/3 is 3/2

Back

y = (x−2)²

Front

Back

quadrant

Front

one of four sections into which the coordinate plane is divided

Back

y = x² −25

Front

Back

ratio

Front

a comparison of two numbers by division

Back

Slope Intercept Form

Front

y= mx + b where "m=slope" and "b=y-intercept"

Back

y = ±√x − 5

Front

Back

y = x² − 9

Front

Back

y = x²

Front

Back

domain

Front

the set of all the input (x-values) for a function

Back

y-intercept

Front

the point where a graph crosses the y-axis

Back

linear equation

Front

an equation whose answers are ordered pairs (x,y) and whose answers graph a straight line

Back

input

Front

the x-value in a function

Back

range

Front

the set of all the output (y-values) for a function

Back

y = (x−2)² +5

Front

Back

rate

Front

a ratio that compares two quantities measured in different units

Back

Inequality

Front

A statement that compares two quantities using <, >, ≤,≥, or ≠

Back

y = ±√x

Front

Back

y = − (1/5)x²

Front

Back

Section 20

(53 cards)

y = ±√−x + 2

Front

Back

multiplication identity property

Front

The product of any number and one is that number.

Back

base

Front

the bottom of a triangle

Back

ordered pair

Front

A pair of numbers, (x, y), that indicate the position of a point on a coordinate plane.

Back

composite

Front

a number that has more than two factors

Back

associative property of addition

Front

changing the grouping of terms will not change the sum, (a + b) + c = a + (b + c)

Back

Isolate the variable

Front

To get a variable alone on one side of an equation or inequality in order to solve the equation or inequality

Back

b = 4

Front

This graph does NOT represent ax² -1/4, where a would be a fraction less than 1. This graph is of the form (x⁴ - a)/(x² + b) Find the integer, b. HINT Type "b= ..."

Back

equation

Front

a mathematical sentence with an equal sign that shows that two expressions are equivalent

Back

exponent

Front

a mathematical notation indicating the number of times a quantity is multiplied by itself

Back

mean

Front

the sum of the values in a data set divided by the number of values in the set

Back

evaluate

Front

to find the value of an expression

Back

area

Front

the number of square units needed to cover a flat surface

Back

solving an equation

Front

finding all the solutions of an equation

Back

power

Front

is a number made of repeated factors

Back

y = x² −5x

Front

Back

integers

Front

Positive and Negative Whole Numbers and 0. Examples: .... -3, -2, -1, 0, 1, 2, 3.....(Does not include fractions or decimals)

Back

prime number

Front

A whole number that has exactly two factors, 1 and itself.

Back

coefficient

Front

number in front of a variable

Back

absolute value

Front

the distance a number is from 0 on the number line, value of n is written l n l

Back

formula

Front

An equation that shows a relationship among two or more quantities

Back

distributive property

Front

a(b + c) = ab + ac an + ac = a(b+ c)

Back

commutative property of multiplication

Front

the order of the factors does not change the product a x b = b x a

Back

perimeter

Front

The sum of the lengths of the sides of a polygon

Back

terms

Front

in an expression are separated by addition and subtraction signs

Back

prime factorization

Front

a number written as the product of its prime factors

Back

coordinate plane

Front

A plane that is divided into four regions by a horizontal line called the x-axis and a vertical line called the y-axis. aka "the Cartesian plane" after René Descartes

Back

Equivalent Inequalities

Front

inequalities that have the same solution

Back

variable expression

Front

consists of numbers, variables, and operations

Back

Inverse Operation

Front

operations that undo each other, such as addition and subtraction

Back

additive identity property

Front

The sum of a number and zero is always that number.

Back

like terms

Front

terms that have identical variable parts raised to the same power

Back

monomial

Front

a single term made up of numbers and variables

Back

order of operations

Front

the order in which operations in an expression to be evaluated are carried out. 1. parentheses 2. exponets 3. multiplication and divison 4. addition and subtraction

Back

quadrant

Front

one of four sections into which the coordinate plane is divided

Back

numerical expression

Front

consists of numbers and operations

Back

commutative property of addition

Front

In a sum, you can add terms in any order, a + b = b + a

Back

y = −x² −2x

Front

Back

greatest common factor

Front

The largest factor that two or more numbers have in common.

Back

associative property of multiplication

Front

changing the grouping of factors will not change the product, (ab)c = a(bc)

Back

constant

Front

a term that has no variable and does not change

Back

y = ±√(−x+3)

Front

Back

c) (x⁴−9)/(x²+1)

Front

Which function is shown in blue? a) (x⁴−9)/(x²+9) b) (x⁴−9)/(x²+2) c) (x⁴−9)/(x²+1)

Back

variable

Front

a letter used to represent one or more numbers

Back

base

Front

is the number that is repeatedly multiplied in a power

Back

additive inverse property

Front

The sum of a number and its opposite is zero.

Back

y = ±√−x

Front

Back

height

Front

the perpendicular (90 degrees) distance from the base of a triangle to the opposite vertex

Back

Equivalent Equations

Front

equations that have the same solution

Back

Inequality

Front

A statement that compares two quantities using <, >, ≤,≥, or ≠

Back

Section 21

(53 cards)

input

Front

the x-value in a function

Back

opposite

Front

the number that is on the other side of 0 and is exactly the same distance away from 0

Back

range

Front

is the difference of the greatest value and the least value in a set of data.

Back

scale model

Front

a model of an object in which the dimensions are in proportion to the actual dimensions of the object.

Back

radius

Front

a line segment from the center of a circle to any point on the circle (is also half the diameter)

Back

x-intercept

Front

the point where a graph crosses the x-axis

Back

cube

Front

special polyhedron with faces that are all squares

Back

simplest form

Front

when the GCF of the numerator and denominator is 1

Back

percent

Front

a ratio whose denominator is 100

Back

output

Front

the y-value in a function

Back

mode

Front

is the value in a data set that occurs most often. If all values occur the same amount of times there is no mode for that set.

Back

domain

Front

the set of all the input (x-values) for a function

Back

scientific notation

Front

a method of writing very large or very small numbers by using powers of 10

Back

diameter

Front

the distance across a circle through its center (is also twice the radius)

Back

annual interest rate

Front

apr, the percent of the principal you pay or earn a year

Back

principal

Front

the original amount of money loaned or borrowed

Back

center

Front

the point in the exact middle of a circle

Back

irrational number

Front

a number that can not be written a/b

Back

volume

Front

the amount of 3-dimensional space occupied by an object

Back

least common multiple

Front

the smallest multiple that two or more numbers have in common

Back

theoretical probability

Front

what should occur in a probability experiment...an experiment is not actually done

Back

radical expression

Front

an expression that contains a square root

Back

Pythagorean triple

Front

a set of three positive integers that work in the pythagorean theorem

Back

equivalent ratios

Front

Ratios that have the same value.

Back

reciprocal

Front

one of a pair of numbers whose product is 1: the reciprocal of 2/3 is 3/2

Back

linear equation

Front

an equation whose answers are ordered pairs (x,y) and whose answers graph a straight line

Back

median

Front

is the middle value in a data set where the numbers are ordered least to greatest

Back

circumference

Front

The distance around a circle.

Back

proportion

Front

an equation that states that two ratios are equal Ex: 1/2 = x/10

Back

least common denominator

Front

The least common multiple of the denominators of two or more fractions.

Back

slope intercept form

Front

y = mx + b

Back

ratio

Front

a comparison of two numbers by division

Back

repeating decimal

Front

a decimal in which one or more digits repeat infinitely

Back

y-intercept

Front

the point where a graph crosses the y-axis

Back

Pi

Front

3.1415.... is an irrational number resulting from the ratio of a circle's circumference to its diameter

Back

slope

Front

the steepness of a line on a graph, rise over run

Back

function

Front

a relation that assigns exactly one output value for each input value

Back

experimental probability

Front

probability based on what happens when an experiment is actually done

Back

surface area

Front

The total area of the 2-dimensional surfaces that make up a 3-dimensional object.

Back

interest

Front

is the amount paid for borrowing or lending money

Back

rate

Front

a ratio that compares two quantities measured in different units

Back

perfect square

Front

a number that has a whole number for a square root ex: 9, 16, 121

Back

rational number

Front

A number that can be written as a/b where a and b are integers, but b is not equal to 0.

Back

multiple

Front

skip-counting by any given number Ex: 4, 8, 12, 16...

Back

probability of an event

Front

number of favorable outcomes divided by total number of possible outcomes

Back

circle

Front

is the set of all points that are an equal distance from a point called the center

Back

Pythagorean Theorem

Front

a² + b² = c²

Back

equivalent fractions

Front

fractions that have the same value and the same simplest form

Back

unit rate

Front

a rate that has a denominator of 1

Back

range

Front

the set of all the output (y-values) for a function

Back

Section 22

(53 cards)

In the equation y = 3x + 7, the slope is _______________

Front

3

Back

Lesson 1-1

Front

Variables

Back

Describe how you would graph y = 1/3 x + 2 using the slope and the y interept.

Front

Put a dot on the y-axis on the number 2. Count a slope of 1/3 by going up 1 and right 3 or down 1 and left 3. Count the slope two or three times and then draw the line.

Back

Look at the graph for problem #12 on page 218. What is the equation in slope intercept form?

Front

y = −1/5 x + 1

Back

Given the point (1, 9) and the slope 4, write the equation in slope intercept form

Front

y = 4x + 5

Back

Write the equation in slope intercept form:. . . y + 2 = 4(x + 2)

Front

y = 4x + 6

Back

What is true about the slopes of parallel lines?

Front

The slopes of parallel lines are the same

Back

dependent event (probability)

Front

an event who's outcome does depend on the outcome of a previous event

Back

combinations

Front

...

Back

What form should you put lines in to determine if they are parallel, perpendicular, or neither?

Front

Slope intercept form

Back

Determine whether the lines are parallel, perpendicular, or neither: . . . . . . . . . . . . . . . . . y = −2x and 2x + y = 3

Front

Parallel

Back

Write the equations for two lines that are parallel.

Front

There are many answers. An example would by y = 2x and y = 2x + 7.

Back

In the equation y = 3x + 7, the y intercept is _______________

Front

7

Back

Look at the graph for problem #42 on page 235. Write the equation in point slope form

Front

y − 7 = −4/3(x + 3)

Back

values of a variable

Front

The numbers that can be represented by the variable.

Back

Look at the graph for problem #40 on page 235. Write the equation in point slope form

Front

y − 3 = 4(x − 1)

Back

Given the point (2, 2) and m = −3, write the equation in point slope form

Front

y − 2 = −3(x − 2)

Back

Given the point (1, 3) and (−3, −5), write the equation in slope intercept form

Front

y = 2x + 1

Back

The point slope form of a linear equation is ________

Front

y - y1 = m(x − x1)

Back

Given the point (−8, 5) and m = −2/5, write the equation in point slope form

Front

y − 5 = −2/5(x + 8)

Back

In the equation y = −2x − 6, the slope is ________________

Front

−2

Back

Write the equation in standard form: y − 11 = 3(x − 2)

Front

3x − y = −5

Back

Title

Front

Algebra Structure and Method Book 1

Back

odds

Front

the ratio of the number of ways the event can occur to the number of ways the event cannot occur. Favorable over Unfavorable.

Back

Write an equation in slope intercept form for the line that passes through (3, 2) and is parallel r to y = x + 5.

Front

y = x − 1

Back

Chapter 1

Front

Introduction to Algebra

Back

What is true about any horizontal line and a vertical line?

Front

They are perpendicular

Back

In the equation, y = mx + b, the b stands for _____________

Front

y-intercept

Back

Write an equation in slope intercept form for the line that passes through (−1, −2) and is parallel to 3x − y = 5.

Front

y = 3x + 1

Back

Write an equation in slope intercept form for the line that passes through (−2, 2) and is perpendicular to y = −1/3 x + 9.

Front

y = 3x + 8

Back

tree diagram (probability)

Front

a diagram used to show the total number of possible outcomes in an experiment

Back

Write the equation in slope intercept form: 2x + 4y = 12

Front

y = −1/2x + 3

Back

Chapter 1 Section 1

Front

Variables and Equations

Back

Determine whether the lines are parallel, perpendicular, or neither: . . . . . . . . . . . . . . . . . 3x + 5y = 10 and 5x − 3y = −6

Front

Perpendicular

Back

In the equation, y = −2x − 6, the y intercept is _____________

Front

−6

Back

Write an equation in slope intercept form for the line that passes through (10, 5) and is perpendicular to 5x + 4y = 8.

Front

y = 4/5x − 3

Back

Write the equations for two lines that are perpendicular.

Front

There are many answers. An example would by y = 2x and y = −1/2 x + 6. The product of the two slopes has to be −1

Back

fundamental counting principle

Front

...

Back

What is true about the slopes of perpendicular lines?

Front

The product of slopes of perpendicular lines is −1. (Slopes of perpendicular lines are opposite reciprocals)

Back

Look at the graph for problem #34 on page 219. What is the equation in slope intercept form?

Front

y = −4/7 x − 2

Back

Write the equation in standard form: y − 10 = −(x − 2)

Front

x + y = 12

Back

The slope intercept form of a linear equation is ____

Front

y = mx + b

Back

In the equation, y = mx + b, the m stands for _____________

Front

Slope

Back

variable expression

Front

An expression that contains a variable.

Back

Look at the graph for problem #14 on page 218. What is the equation in slope intercept form?

Front

y = −2 x + 3

Back

variable

Front

A symbol used to represent one or more numbers.

Back

Determine whether the lines are parallel, perpendicular, or neither: . . . . . . . . . . . . . . . . . 2x + 5y = 15 and 3x + 5y = 15

Front

Neither

Back

independent event (probability)

Front

an event that is not affected by another event.

Back

Objective 1-1

Front

To simplify numerical expressions and evaluate algebraic expressions.

Back

permutations

Front

...

Back

Section 23

(53 cards)

D = rt

Front

Distance traveled = rate × time traveled

Back

substitution principle

Front

An expression may be replaced by another expression that has the same value.

Back

Lesson 1-4

Front

Translating Words into Symbols

Back

solve an open sentence

Front

To find the solution set of the sentence.

Back

origin

Front

The zero point on a number line. The intersection of the axes on a coordinate plane.

Back

sides of an equation

Front

The two expressions joined by the equals sign.

Back

numerical expression

Front

An expression that names a particular number; a numeral.

Back

Objective 1-4

Front

To translate phrases into variable expressions.

Back

Lesson 1-5

Front

Translating Sentences into Equations

Back

value of a numerical expression

Front

The number named by the expression.

Back

perimeter

Front

The perimeter of a plane figure is the distance around it.

Back

solution set of an open sentence

Front

The set of all solutions of the sentence.

Back

Plan for Solving a Word Problem Step 4

Front

Solve the equation and find the unknowns asked for.

Back

Plan for Solving a Word Problem Step 3

Front

Reread the problem and write an equation that represents relationships among the numbers in the problem.

Back

Objective 1-3

Front

To find solution sets of equations over a given domain.

Back

formula

Front

An equation that states a rule about a relationship.

Back

Chapter 1 Section 3

Front

Numbers on a Line

Back

solution of a sentence

Front

Any value of a variable that turns an open sentence into a true statement.

Back

When there are no grouping symbols, simplify in the following order:

Front

1. Do all multiplications and divisions in order from left to right. 2. Do all additions and subtractions in order from left to right.

Back

Plan for Solving a Word Problem Step 1

Front

Read the problem carefully. Decide what unknown numbers are asked for and what facts are known. Making a sketch may help.

Back

Objective 1-7

Front

To use the five-step plan to solve word problems over a given domain.

Back

Plan for Solving a Word Problem Step 5

Front

Check your results with the words of the problem. Give the answer.

Back

Plan for Solving a Word Problem Step 2

Front

Choose a variable and use it with the given facts to represent the unknowns described in the problem.

Back

Lesson 1-2

Front

Grouping Symbols

Back

numeral

Front

An expression that names a particular number; a numerical expression.

Back

A = lw

Front

Area of rectangle = length of rectangle × width of rectangle

Back

Chapter 1 Section 2

Front

Applications and Problem Solving

Back

Step 2

Front

Choose a variable and represent the unknows.

Back

Objective 1-2

Front

To simplify expressions with and without grouping symbols.

Back

negative side

Front

On a horizontal number line, the side to the left of the origin.

Back

evaluating a variable expression

Front

Replacing each variable in the expression by a given value and simplifying the result.

Back

P = 2l + 2w

Front

Perimeter of rectangle = ( 2 × length ) + ( 2 × width )

Back

Step 3

Front

Reread the problem and write an equation.

Back

Lesson 1-6

Front

Translating Problems into Equations

Back

positive side

Front

On a horizontal number line, the side to the right of the origin.

Back

satisfy an open sentence

Front

Any solution of the sentence satisfies the sentence.

Back

Lesson 1-8

Front

Number Lines

Back

Lesson 1-7

Front

A Problem Solving Plan

Back

C = np

Front

Cost = number of items × price per item

Back

simplifying a numerical expression

Front

Replacing the expression by the simplest name for its value.

Back

equation

Front

A statement formed by placing an equals sign between two numerical or variable expressions.

Back

Objective 1-5

Front

To translate word sentences into equations.

Back

area

Front

The area of a region is the number of square units it contains.

Back

open sentence

Front

A sentence containing one or more variables.

Back

Objective 1-8

Front

To graph real numbers on a number line and to compare real numbers.

Back

domain of a variable

Front

The given set of numbers that the variable may represent.

Back

Step 1

Front

Read the problem carefully.

Back

grouping symbol

Front

A device used to enclose an expression that should be simplified before other operations are performed. Examples: parentheses, brackets, fraction bar.

Back

Objective 1-6

Front

To translate simple word problems into equations.

Back

Lesson 1-3

Front

Equations

Back

Section 24

(52 cards)

positive number

Front

A number paired with a point on the positive side of a number line.

Back

positive integers

Front

The numbers 1, 2, 3, 4, and so on.

Back

height

Front

the vertical dimension of extension

Back

dimensions

Front

The length, width, and height of an object being measured.

Back

formula

Front

mathematics a standard procedure for solving a class of mathematical problems

Back

integers

Front

The set consisting of the positive integers, the negative integers, and zero.

Back

intercept

Front

the point at which a line intersects a coordinate axis

Back

dependent

Front

the variable in the relation whos value depends on the value of the independent variable

Back

Zero is niether

Front

positive nor negative.

Back

centimeter

Front

a metric unit of length equal to one hundredth of a meter

Back

dilation

Front

A transformation that changes the size of an object, but not the shape.

Back

3. If a = 0,

Front

then −a = 0.

Back

congruent

Front

Having the same size and shape

Back

base

Front

in an expression of the form x m the base is x

Back

1. If a is positive,

Front

then −a is negative.

Back

bisect

Front

to cut or divide into two equal parts: to bisect an angle.

Back

bisector

Front

a point, ray, line, line segment, or plane that intersects the segment at its midpoint

Back

real number

Front

Any number that is either positive, negative, or zero.

Back

Objective 1-9

Front

To use opposites and absolute values.

Back

graph

Front

a drawing illustrating the relations between certain quantities plotted with reference to a set of axes

Back

decrease

Front

the amount by which something decreases

Back

cubes

Front

a number that is a whole number raised to the third power Ex. 8, 27, 64, 125, etc.

Back

negative integers

Front

The numbers −1, −2, −3, −4, and so on.

Back

graph of a number

Front

The point on a number line that is paired with the number.

Back

domain

Front

the set of values of the independent variable for which a function is defined

Back

end point

Front

the point in a titration at which a marked color change takes place

Back

2. If a is negative,

Front

|a| = −a.

Back

grid

Front

a network of horizontal and vertical lines that provide coordinates for locating points on an image

Back

absolute value

Front

The positive number of any pair of opposite nonzero real numbers is the absolute value of each number in the pair. The absolute value of 0 is 0. The absolute value of a number a is denoted by |a|.

Back

axis

Front

a line about which a three-dimensional body or figure is symmetrical.

Back

2. If a is negative,

Front

then −a is positive.

Back

inequality symbols

Front

Symbols used to show the order of two real numbers. The symbol ≠ means "is not equal to."

Back

3. If a is zero,

Front

|a| = 0.

Back

constant

Front

a number representing a quantity assumed to have a fixed value in a specified mathematical context

Back

Lesson 1-9

Front

Opposites and Absolute Values

Back

opposite of a number

Front

Each of the numbers in a pair such as 6 and −6 or −2.5 and 2.5. Also called additive inverse.

Back

expression

Front

a group of symbols that make a mathematical statement

Back

diameter

Front

the length of a straight line passing through the center of a circle and connecting two points on the circumference

Back

coordinate

Front

a number that identifies a position relative to an axis

Back

negative number

Front

A number paired with a point on the negative side of a number line.

Back

1. If a is positive,

Front

|a| = a.

Back

coordinate of a point

Front

The number paired with that point on a number line.

Back

function

Front

a mathematical relation such that each element of one set is associated with at least one element of another set

Back

whole numbers

Front

The set consisting of zero and all the positive integers.

Back

cylinders

Front

a three dimensional figure with two parallell, congruent circular basis connected by a curved lateral surface

Back

hexagon

Front

a six-sided polygon

Back

4. The opposite of −a is

Front

a; that is, −(−a) = a.

Back

estimate

Front

an approximate calculation of quantity or degree or worth

Back

increase

Front

the amount by which something increases

Back

diagram

Front

A visual representation of data to help readers better understand relationships among data

Back

Section 25

(54 cards)

linear

Front

designating or involving an equation whose terms are of the first degree

Back

tables

Front

Used to arrange text in columns and rows

Back

three dimensional

Front

Having the dimensions of height, width, and depth.

Back

minimum

Front

the point on a curve where the tangent changes from negative on the left to positive on the right

Back

reduced

Front

made less in size or amount or degree

Back

reflections

Front

flips a figure over a line

Back

parallelogram

Front

a quadrilateral whose opposite sides are both parallel and equal in length

Back

length

Front

the linear extent in space from one end to the other

Back

rotation

Front

a single complete turn axial or orbital

Back

tax rate

Front

the amount of tax people are required to pay per unit of whatever is being taxed

Back

quadrilaterals

Front

4 sided polygon

Back

semi circle

Front

half of a circle

Back

intersection

Front

the act of intersecting as joining by causing your path to intersect your target's path

Back

symmetry

Front

an attribute of a shape or relation

Back

milligrams

Front

used to measure the mass of very small objects one thousandths

Back

interval

Front

a set containing all points or all real numbers between two given endpoints

Back

matrix

Front

a rectangular array of elements or entries set out by rows and columns

Back

value

Front

a numerical quantity measured or assigned or computed

Back

segments

Front

set of points on a line that consist of two points called endpoints, and all the points between them

Back

pyramid

Front

a polyhedron having a polygonal base and triangular sides with a common vertex

Back

translation

Front

the act of changing in form or shape or appearance

Back

range

Front

the difference between the highest and lowest scores in a distribution

Back

rectangle

Front

a parallelogram with four right angles

Back

plane

Front

an unbounded two-dimensional shape

Back

pendulum

Front

a weight, hanging from a point, that swings an equal distance from side to side; often used in clocks

Back

solutions

Front

ways to solve problems

Back

ordered pair

Front

A pair of numbers, x, y, that indicate the position of a point on a Cartesian plane.

Back

inverse

Front

opposite in nature or effect or relation to another quantity

Back

quadratic equations

Front

a function that has the variable raised to the second power

Back

secant

Front

ratio of the hypotenuse to the adjacent side of a right-angled triangle

Back

meter

Front

any of various measuring instruments for measuring a quantity

Back

polygon

Front

closed plane figure having, literally, many angles and therefore many sides

Back

modeled

Front

resembling sculpture

Back

slope

Front

the steepness of a line on a graph, equal to its vertical change divided by its horizontal change

Back

non-collinear

Front

points that do not lie on the same line

Back

quantity

Front

something that has a magnitude and can be represented in mathematical expressions by a constant or a variable

Back

Absolute Value

Front

The distance a number is from the 0 on the number line

Back

Algebraic Expression

Front

An expression that contains numbers, operations and variables.

Back

narrowest

Front

the field of vision is a cone-shaped area with its narrowest/widest end near the driver

Back

squares

Front

all sides are equal, opposite sides are parallel, all angles are 90 degrees

Back

relations

Front

a set of ordered pairs

Back

perimeter

Front

the size of something as given by the distance around it

Back

isosceles triangle

Front

a triangle with at least two congruent sides

Back

volume

Front

the amount of 3-dimensional space occupied by an object

Back

scale factor

Front

The ratio of the lengths of two corresponding sides of two similar polygons

Back

level

Front

having a horizontal surface in which no part is higher or lower than another

Back

maximum

Front

the point on a curve where the tangent changes from positive on the left to negative on the right

Back

point

Front

a geometric element that has position but no extension

Back

widest

Front

The widest/narrowest part of the nuchal translucency should be measured.

Back

perpendicular

Front

intersecting at or forming right angles

Back

Section 26

(55 cards)

Coordinate Plane

Front

A coordinate system formed by the intersection of a horizontal number line, called the x-axis, and a vertical number line, called the y-axis.

Back

What do you do when you have a negative denominator? ex b-2/-5

Front

Move it up top. answer: 2-b/5 (Make sure to change signs)

Back

Dividend

Front

a number to be divided by another number

Back

Unit Conversion

Front

The process of renaming a measurement using different units.

Back

Grouping Symbols

Front

parentheses ( ), brackets [ ], and braces { } that group parts of an expression.

Back

Constant

Front

A term that has no variable.

Back

Greatest Common Factor

Front

The greatest factor that is common to two or more numbers.

Back

Equivalent fractions

Front

fractions that have the same value

Back

How would you describe this inequality in interval notation: x ≥ 2 ?

Front

[ 2 , ∞ )

Back

What is the first step in this equation : 2|2x+1| -4 = 16 ?

Front

Get rid of the variables outside of the absolute value.

Back

Is this a linear equation or a linear function: f(x) = 2x - 1 ?

Front

A linear function

Back

Factors

Front

Whole numbers that can be multiplied together to hind a product.

Back

What is the solution for |x - 5| ≥ 0?

Front

R. Any real number, because the absolute value of a number is always ≥ 0.

Back

Base of a Power

Front

The repeated factor in a power.

Back

For what inequality symbols do you use brackets?

Front

≤ and ≥

Back

How do you find the x-intercept in a linear equation? ax + by = c

Front

Set y = 0 to isolate the x.

Back

Evaluate

Front

to find the value of a numerical or algebraic EXPRESSION.

Back

How would you describe this inequality in a solution set: x < 5 ?

Front

{x|x<5}

Back

Improper Fraction

Front

A fraction whose numerator is greater than or equal to its denominator.

Back

What is the standard form for a linear equation?

Front

ax + by = c Both x and y are on the right side of the equation.

Back

Irrational numbers

Front

numbers that cannot be expressed in the form a/b, where a and b are integers and b =0.

Back

What is the solution for |x - 5| ≤ 0?

Front

{5} Absolute value of a number can never be < 0 but it can be 0 when x =5. |5 - 5| = 0

Back

For what inequality symbols do you use parenthesis?

Front

< and >

Back

Equivalent expressions

Front

algebraic expressions that have the same values for all values of variables

Back

Equation

Front

a mathematical statement in which two expressions are equal

Back

Describe this inequality in interval notation: x < 5/3 ?

Front

( -∞ , 5/3)

Back

Distributive Property

Front

a(b+c)=ab+ac, Multiplying a sum by a number is the same as multiplying each addend by the number and then adding the products.

Back

How would you word the function (front) part of this equation? P(x) = 7.25x

Front

P is a function of x

Back

What is the solution for |x - 5| < 0?

Front

∅ The absolute value of a number can never be < 0. No solution.

Back

What will the solution of this absolute value equation look like |exp.| > a ?

Front

exp. < -a or exp. > a

Back

Decimal

Front

a number with one or more digits to the right of the decimal point

Back

Is this a linear equation or a linear function: y = 2x - 1 ?

Front

A linear equation.

Back

How do you find the y-intercept in a linear equation? ax + by = c

Front

Set x = 0 to isolate the y.

Back

Divisor

Front

the number by which a dividend is divided.

Back

What do you do when you divide a negative number in an inequality?

Front

Switch the signs

Back

Exponent

Front

The number of times a factor in repeated in a power.

Back

Formula

Front

An algebraic equation that shows the relationship among specific quantities.

Back

Elimination Method

Front

to solve a system of equations by adding equations to get rid of one variable. sometimes needing to multiply one equation by a # to make terms opposites

Back

Function

Front

A pairing of input and output values according to a specific rule.

Back

Associative Property

Front

A property that states that numbers in addition of multiplication expressions can be grouped without affecting the value of the expression.

Back

What will the solution of this absolute value equation look like |exp.| = a ?

Front

exp = a or exp = -a

Back

Coefficient

Front

The number mulltiplied by a variable in a term.

Back

Inverse Operations

Front

Operations that undo each other.

Back

Integers

Front

The set of all whole numbers, their opposites, and 0.

Back

The graph of y = b is?

Front

A horizontal line through b on the y axis. (Slope = 0)

Back

How would you express this inequality in a solution set: -4 < t ≤ 5/3 ?

Front

{t| -4 < t ≤ 5/3}

Back

Axes

Front

A horixontal and vertical number line on a coordinate plane.

Back

Least Common Denominator

Front

The least common multiple of the denominators of two or more fractions.

Back

Commutative Property

Front

A property that states numbers can be added or multiplied in any order.

Back

What will the solution of this absolute value equation look like |exp.| < a ?

Front

-a < exp < a

Back

Section 27

(54 cards)

When graphing linear inequalities, for what symbols would you use a solid line in the graph?

Front

≤ and ≥

Back

variable

Front

A symbol used to represent one or more numbers.

Back

Lesson 1-3

Front

Equations

Back

Objective 1-3

Front

To find solution sets of equations over a given domain.

Back

How does slope tell us the tilt? y/x

Front

Because y/x = rise/run

Back

How do we view lines on the graph to get the correct slope?

Front

Left to right

Back

How do you find the equation of a line if you are given two points, but no y-intercept or slope? Such as: (4 , 3) (6 , -2)

Front

You would have to find the slope first, x² - x¹/y² - y¹, and then use the point slope equation, y - y¹ = m(x - x¹)

Back

A linear system where two lines are directly on top of each other (infinite answers) would be what type of system?

Front

A dependent system.

Back

Chapter 1 Section 1

Front

Variables and Equations

Back

How do we calculate slope from two given points? (x¹,y¹) (x²,y²)

Front

y² - y¹/x² - x¹ to get the slope. (rise/run)

Back

When graphing linear inequalities, for what symbols would you use a dotted line in the graph?

Front

< and >

Back

sides of an equation

Front

The two expressions joined by the equals sign.

Back

These two equations would be easiest to solve by what method Equation¹: 4x + 2y = 6 Equation²: 3x - 2y = 16?

Front

The addition method. If set up as if adding them together the y's would cancel. Then you could solve for x and then solve for y.

Back

simplifying a numerical expression

Front

Replacing the expression by the simplest name for its value.

Back

A linear system where two lines are parallel (no answer) would be what type of system?

Front

An inconsistent system.

Back

value of a numerical expression

Front

The number named by the expression.

Back

open sentence

Front

A sentence containing one or more variables.

Back

What is the formula for slope-intercept form?

Front

y = mx + b

Back

What is the point slope equation? Used when you have a slope and a random point.

Front

y - y¹ = m(x - x¹)

Back

Objective 1-1

Front

To simplyfy numerical expressions and evaluate algebraic expressions.

Back

When there are no grouping symbols, simplify in the following order:

Front

1. Do all multiplications and divisions in order from left to right. 2. Do all additions and subtractions in order from left to right.

Back

numeral

Front

An expression that names a particular number; a numerical expression.

Back

Chapter 1

Front

Introduction to Algebra

Back

variable expression

Front

An expression that contains a variable.

Back

How do you graph the line of a linear inequality? (Also the 2nd step) y ≥ 1/2x - 3

Front

Set the inequality as an equation y ≥ 1/2x - 3 turns into y = 1/2x - 3, and plot the line.

Back

How should you decide what side will be shaded in while graphing a linear inequality? y ≥ 1/2x - 3

Front

Test it by putting in a point, typically (0 , 0) and see if it's true. 0 ≥ 1/2(0) -3 is 0 ≥ 3, which means true. Shade on the side of the point. If false shade on opposite side.

Back

grouping symbol

Front

A device used to enclose an expression that should be simplified before other operations are performed. Examples: parentheses, brackets, fraction bar.

Back

numerical expression

Front

An expression that names a particular number; a numeral.

Back

These two equations would be easiest to solve by what method Equation¹: y = -2x + 6 Equation²: 3x - 2y = 16?

Front

The substitution method, substitue first equation in place of y in the second: 3x - 2(-2x + 6) = 16 and solve.

Back

What is the equation of the line through (0 , 2) that is perpendicular to the graph of the line: y = 1/2x - 4 ? (Think of the perpendicular rule)

Front

y = -2/1x + 2 because (0 , 2) gives us the y intercept and -2/1 is the reciprocal of the line in the question.

Back

evaluating a variable expression

Front

Replacing each variable in the expression by a given value and simplifying the result.

Back

equation

Front

A statement formed by placing an equals sign between two numerical or variable expressions.

Back

How is a positive line viewed?

Front

It runs upwards. m>0

Back

Lesson 1-1

Front

Variables

Back

What three methods could be used to solve systems of linear equations? Equation¹: 2x + y = 6 Equation²: 3x - 2y = 16

Front

By graphing, the substitution method, and the addition method.

Back

When solving a linear system of equations, if the substitution or addition method resulted in 2 ≠ 4, what system would you have?

Front

An inconsistent system, parallel lines. No solution.

Back

substitution principle

Front

An expression may be replaced by another expression that has the same value.

Back

Lesson 1-2

Front

Grouping Symbols

Back

A linear system where two lines cross (one answer) would be what type of system?

Front

A consistent system.

Back

Objective 1-2

Front

To simplify expressions with and without grouping symbols.

Back

When solving a linear system of equations, if the substitution or addition method resulted in 2 = 2, what would you have?

Front

A dependent system, two lines on top of each other. ∞ Solutions

Back

What is the first step in graphing a linear inequality? y ≥ 1/2x - 3

Front

Decide what type of line it will be. In this case it's a solid line because of the ≥ sign.

Back

How is slope defined?

Front

The slope of a line measures the tilt of the line.

Back

What is the difference in slopes for perpendicular lines?

Front

They have negative reciprocals. ex. Line¹: m= 2/4, would mean Line²: m= -4/2

Back

If m=0 what type of line would be viewed on the graph?

Front

A horizontal line.

Back

How is a negative line viewed?

Front

It runs downwards. m<0

Back

What do parallel lines have in common?

Front

Equal slopes. m¹ = m²

Back

Title

Front

Algebra Structure and Method Book 1

Back

The graph of x = b is?

Front

A vertical line through b on the x axis. (Slope undefined)

Back

values of a variable

Front

The numbers that can be represented by the variable.

Back

Section 28

(54 cards)

solution of a sentence

Front

Any value of a variable that turns an open sentence into a true statement.

Back

Lesson 1-7

Front

A Problem Solving Plan

Back

negative number

Front

A number paired with a point on the negative side of a number line.

Back

Lesson 1-5

Front

Translating Sentences into Equations

Back

Lesson 1-9

Front

Opposites and Absolute Values

Back

Zero is niether

Front

positive nor negative.

Back

Plan for Solving a Word Problem Step 5

Front

Check your results with the words of the problem. Give the answer.

Back

perimeter

Front

The perimeter of a plane figure is the distance around it.

Back

Plan for Solving a Word Problem Step 2

Front

Choose a variable and use it with the given facts to represent the unknowns described in the problem.

Back

Step 1

Front

Read the problem carefully.

Back

A = lw

Front

Area of rectangle = length of rectangle × width of rectangle

Back

1. If a is positive,

Front

then −a is negative.

Back

Objective 1-5

Front

To translate word sentences into equations.

Back

Step 2

Front

Choose a variable and represent the unknows.

Back

integers

Front

The set consisting of the positive integers, the negative integers, and zero.

Back

solve an open sentence

Front

To find the solution set of the sentence.

Back

Objective 1-4

Front

To translate phrases into variable expressions.

Back

positive integers

Front

The numbers 1, 2, 3, 4, and so on.

Back

Lesson 1-6

Front

Translating Problems into Equations

Back

D = rt

Front

Distance traveled = rate × time traveled

Back

negative integers

Front

The numbers −1, −2, −3, −4, and so on.

Back

Objective 1-8

Front

To graph real numbers on a number line and to compare real numbers.

Back

Plan for Solving a Word Problem Step 3

Front

Reread the problem and write an equation that represents relationships among the numbers in the problem.

Back

origin

Front

The zero point on a number line. The intersection of the axes on a coordinate plane.

Back

negative side

Front

On a horizontal number line, the side to the left of the origin.

Back

satisfy an open sentence

Front

Any solution of the sentence satisfies the sentence.

Back

P = 2l + 2w

Front

Perimeter of rectangle = ( 2 × length ) + ( 2 × width )

Back

Plan for Solving a Word Problem Step 1

Front

Read the problem carefully. Decide what unknown numbers are asked for and what facts are known. Making a sketch may help.

Back

Chapter 1 Section 2

Front

Applications and Problem Solving

Back

whole numbers

Front

The set consisting of zero and all the positive integers.

Back

area

Front

The area of a region is the number of square units it contains.

Back

C = np

Front

Cost = number of items × price per item

Back

positive number

Front

A number paired with a point on the positive side of a number line.

Back

real number

Front

Any number that is either positive, negative, or zero.

Back

Step 3

Front

Reread the problem and write an equation.

Back

graph of a number

Front

The point on a number line that is paired with the number.

Back

Chapter 1 Section 3

Front

Numbers on a Line

Back

coordinate of a point

Front

The number paired with that point on a number line.

Back

inequality symbols

Front

Symbols used to show the order of two real numbers. The symbol ≠ means "is not equal to."

Back

Objective 1-7

Front

To use the five-step plan to solve word problems over a given domain.

Back

Objective 1-6

Front

To translate simple word problems into equations.

Back

solution set of an open sentence

Front

The set of all solutions of the sentence.

Back

positive side

Front

On a horizontal number line, the side to the right of the origin.

Back

Plan for Solving a Word Problem Step 4

Front

Solve the equation and find the unknowns asked for.

Back

opposite of a number

Front

Each of the numbers in a pair such as 6 and −6 or −2.5 and 2.5. Also called additive inverse.

Back

Lesson 1-4

Front

Translating Words into Symbols

Back

domain of a variable

Front

The given set of numbers that the variable may represent.

Back

formula

Front

An equation that states a rule about a relationship.

Back

Objective 1-9

Front

To use opposites and absolute values.

Back

Lesson 1-8

Front

Number Lines

Back

Section 29

(52 cards)

y = ±√(−x+3)

Front

Back

y = ±√(x+3)

Front

Back

c) (x⁴−9)/(x²+1)

Front

Which function is shown in blue? a) (x⁴−9)/(x²+9) b) (x⁴−9)/(x²+2) c) (x⁴−9)/(x²+1)

Back

y = ±√x

Front

Back

y = −x²

Front

Back

y = x² + 3

Front

Back

y = −5x²

Front

Back

y = − (1/5)x²

Front

Back

When dividing two terms with the same base, you should _____ the exponents.

Front

subtract

Back

y = (x+2)²

Front

Back

y = x² + 3x

Front

Back

What is the degree of the polynomial h(t) = -8t² + 5 - 3t³?

Front

The degree is 3

Back

1. If a is positive,

Front

|a| = a.

Back

y = (x − 3)²

Front

Back

y = x² − 9

Front

Back

3. If a is zero,

Front

|a| = 0.

Back

When multiplying two terms with the same base, you should ____ the exponents.

Front

add

Back

y = (x−2)²

Front

Back

y = −x² −2x

Front

Back

What is the greatest common mononial factor of 9x³y² + 15x²y - 6xy² ?

Front

3xy

Back

What is the end behavior for f(x) = 3x⁴ - x² +1 ?

Front

Both sides up.

Back

3. If a = 0,

Front

then −a = 0.

Back

y = ±√x + 3

Front

Back

y = (x−1)² +3

Front

Back

y = ±√x − 5

Front

Back

absolute value

Front

The positive number of any pair of opposite nonzero real numbers is the absolute value of each number in the pair. The absolute value of 0 is 0. The absolute value of a number a is denoted by |a|.

Back

y = x² + 10

Front

Back

What is the end behavior for f(x) = -2x³ + x² - 2?

Front

Left side up, right side down.

Back

y = (x+3)² −5

Front

Back

b = 4

Front

This graph does NOT represent ax² -1/4, where a would be a fraction less than 1. This graph is of the form (x⁴ - a)/(x² + b) Find the integer, b. HINT Type "b= ..."

Back

y = (x−2)² +5

Front

Back

y = x² − 4

Front

Back

If x-2 is a factor of a polynomial f(x), is it true that f(2) = 0 ?

Front

True.

Back

4. The opposite of −a is

Front

a; that is, −(−a) = a.

Back

y = x² − 3

Front

Back

y = ±√−x + 2

Front

Back

y = x² −3x

Front

Back

y = (x+1)²

Front

Back

2. If a is negative,

Front

|a| = −a.

Back

y = ±√−x

Front

Back

y = ± √(x − 5)

Front

Back

2. If a is negative,

Front

then −a is positive.

Back

y = x² −25

Front

Back

y = x²

Front

Back

What is (3.2 x 10^5)(1.4 x 10^-2) written in scientific notation?

Front

4.48 x 10³

Back

If x + 3 is a factor of x³ − x² − 17x − 15, what are the other factors?

Front

(x + 1) and (x - 5)

Back

Is ± ½ a possible rational solution of f(x)= - 3x³ - 11x² + 5x - 6?

Front

No.

Back

y = x² −5x

Front

Back

y = (x+5)²

Front

Back

What is the complete factorization of 3x⁴ - 3x² ?

Front

3x²(x-1)(x+1)

Back

Section 30

(55 cards)

A zero of a function is also the _____ on a graph?

Front

x-intercept

Back

Elimination Method

Front

to solve a system of equations by adding equations to get rid of one variable. sometimes needing to multiply one equation by a # to make terms opposites

Back

Factor the polynomial completely: 3x³ + 6x² + x + 2

Front

(3x²+1)(x+2)

Back

Associative Property

Front

A property that states that numbers in addition of multiplication expressions can be grouped without affecting the value of the expression.

Back

Divisor

Front

the number by which a dividend is divided.

Back

Determine the possible number of positive real zeros, negative real zeros, and imaginary zeros for the function: f(x) = x⁴ + 3x³ - 2x² - x + 10

Front

positive zeros: 0 or 2, negative zeros: 0 or 2, imaginary zeros 0, 2, or 4

Back

Absolute Value

Front

The distance a number is from the 0 on the number line

Back

Exponent

Front

The number of times a factor in repeated in a power.

Back

Factors

Front

Whole numbers that can be multiplied together to hind a product.

Back

Decimal

Front

a number with one or more digits to the right of the decimal point

Back

Coefficient

Front

The number mulltiplied by a variable in a term.

Back

Improper Fraction

Front

A fraction whose numerator is greater than or equal to its denominator.

Back

Algebraic Expression

Front

An expression that contains numbers, operations and variables.

Back

Determine the possible number of positive real zeros, negative real zeros, and imaginary zeros for the function: g(x) = -x^5 + 2x⁴ + 3x² - 7x - 12

Front

positive zeros: 0 or 2, negative zeros: 1, imaginary zeros: 2 or 4

Back

Using long division: (x⁴ + 10x³ + 8x² - 59x +40) ÷ (x² + 3x -5)

Front

x² + 7x - 8

Back

Function

Front

A pairing of input and output values according to a specific rule.

Back

Find all real zeros of the function: f(x) = x³ - 3x² - x +3

Front

-1, 1, 3

Back

Commutative Property

Front

A property that states numbers can be added or multiplied in any order.

Back

Simplify (¾)^-3

Front

64/27

Back

Grouping Symbols

Front

parentheses ( ), brackets [ ], and braces { } that group parts of an expression.

Back

Equivalent expressions

Front

algebraic expressions that have the same values for all values of variables

Back

Evaluate

Front

to find the value of a numerical or algebraic EXPRESSION.

Back

At which value of x does f(x) = 2x³ - x² + 1 have a local minimum value?

Front

(0,1)

Back

Which of the following, based on the Descartes Rule of Signs, is the only possible classification of the roots of the function f(k) = -3k³ + 5k² - k + 4?

Front

3, 1 positives; 0 negatives; 0, 2 imaginary

Back

Base of a Power

Front

The repeated factor in a power.

Back

Unit Conversion

Front

The process of renaming a measurement using different units.

Back

Formula

Front

An algebraic equation that shows the relationship among specific quantities.

Back

Coordinate Plane

Front

A coordinate system formed by the intersection of a horizontal number line, called the x-axis, and a vertical number line, called the y-axis.

Back

(3³)² is the power of power property. It tells us to do what to the exponents?

Front

Multiply exponents, so 3^5.

Back

Axes

Front

A horixontal and vertical number line on a coordinate plane.

Back

Perform the indicated operation: (2x⁴+9x-7) - (x⁴+6x+5)

Front

x⁴ + 3x - 12

Back

Using synthetic division: (2x³ - 25x² + 83x - 88) ÷ (x-8)

Front

2x² - 9x + 11

Back

Find all zeros of the polynomial function: h(x) = 2x⁴ - 3x³ - 27x² + 62x - 24

Front

-4, ½, 2, 3

Back

Integers

Front

The set of all whole numbers, their opposites, and 0.

Back

When multiplying binomials, what method do we use?

Front

FOIL

Back

Find all real zeros of the function: f(x) = x³ -6x² +4x - 24

Front

6

Back

Inverse Operations

Front

Operations that undo each other.

Back

Factor the polynomial completely: 3x³-81

Front

3(x-3)(x²+3x+9)

Back

Find all zeros of the polynomial function: g(x) = x³ - 2x² - x + 2

Front

-1, 1, 2

Back

Equation

Front

a mathematical statement in which two expressions are equal

Back

Perform the indicated operation: (7x - 3)²

Front

49x² - 42x + 9

Back

Distributive Property

Front

a(b+c)=ab+ac, Multiplying a sum by a number is the same as multiplying each addend by the number and then adding the products.

Back

Write a polynomial function f of least degree that has rational coefficients, a leading coefficient of 1, and the given zeros: -3, ± √2

Front

f(x) = x³ + 3x² - 2x -6

Back

Equivalent fractions

Front

fractions that have the same value

Back

Find all real zeros of the function: f(x) = x⁴ - 2x³ - 8x² + 8x + 16

Front

-2, 2, 1 ± √5

Back

Perform the indicated operation: (x - 2)(x+3)(x-5)

Front

x³ - 4x² - 11x + 30

Back

Greatest Common Factor

Front

The greatest factor that is common to two or more numbers.

Back

Constant

Front

A term that has no variable.

Back

Dividend

Front

a number to be divided by another number

Back

What does FOIL stand for?

Front

First, Outter, Inner, Last

Back

Section 31

(52 cards)

pivot column

Front

A column that contains a pivot position

Back

Properties of transposition

Front

1. (A^T)^T = A; 2. (A+B)^T = A^T + B^T; 3. (rA)^T = rA^T; 4. (AB)^T = B^TA^T

Back

Intersect

Front

when two lines cross

Back

Echelon form

Front

1. All nonzero rows are above any all zero rows; 2. Each leading entry is in a column to the right of the previous leading entry; 3. All entries below a leading entry in its column are zeros

Back

Triangle

Front

a polygon with 3 sides and vertices

Back

leading entry

Front

Leftmost non-zero entry in a non-zero row

Back

Dimension

Front

The number of vectors in any basis of H; the zero subspace's dimension is 0

Back

Least Common Multiple

Front

...

Back

Invertibility rules

Front

1. If A is invertible, (A^-1)^-1 = A; 2. (AB)^-1 = B^-1 * A^-1; 3. (A^T)^-1 = (A^-1)^T

Back

Column space

Front

Set of all the linear combinations of the columns of A

Back

Straight Angle

Front

two right angles that forms a straight line back to back

Back

Acute Angle

Front

an angle smaller than a right angle

Back

Leontief input-output model

Front

x = Cx + d

Back

inner product

Front

a matrix product u^Tv or u . v where u and v are vectors; if U . V = 0, u and v are orthogonal

Back

orthonormal

Front

An orthogonal set of unit vectors

Back

Matrix multiplication warnings

Front

1. AB != BA ; 2. If AB = AC, B does not necessarily equal C; 3. If AB = 0, it cannot be concluded that either A or B is equal to 0

Back

Right Angles

Front

the angles made by perpendicular lines

Back

Ax = b

Front

1. For each b in R^n, Ax = b has a solution; 2. Each b is a linear combination of A; 3. The columns of A span R^n; 4. A has a pivot position in each row

Back

linear equation

Front

An equation that can be written as a1x1 + a2x2 + ... = b; a1, a2, etc. are real or complex numbers known in advance

Back

Column Row Expansion of AB

Front

col1Arow1B + ...

Back

one-to-one

Front

A transformation that assigns a vector y in R^m for each x in R^n; there's a pivot in every column

Back

Basis

Front

A linearly independent set in H that spans H; the pivot columns of A form a basis for A's column space

Back

Span

Front

the collection of all vectors in R^n that can be written as c1v1 + c2v2 + ... (where c1, c2, etc. are constants)

Back

Reduced Echelon Form

Front

Same as echelon form, except all leading entries are 1; each leading 1 is the only non-zero entry in its row; there is only one unique reduced echelon form for every matrix

Back

Transposition

Front

flips rows and columns

Back

LU Factorization

Front

1. Ly = b; Ux = y; 2. Reduce A to echelon form; 3. Place values in L that, by the same steps, would reduce it to I

Back

inconsistent system

Front

Has no solution

Back

Perpendicular

Front

when two lines make square corners at the point of intersection

Back

Least Common Denominator

Front

The least common multiple of the denominators of two or more fractions.

Back

Polygon

Front

simple, closed, flat geometric figures whose sides are line segments and whose lines do not cross

Back

rank

Front

The dimension of the column space

Back

Obtuse Angle

Front

an angle larger than a right angle

Back

Line Segment

Front

part of a line

Back

Parallel Lines

Front

lines in the same plane that do not intersect and the distance between the lines is always the same

Back

Line

Front

straight line that has no width and no ends

Back

consistent system

Front

Has one or infinitely many solutions

Back

Irrational numbers

Front

numbers that cannot be expressed in the form a/b, where a and b are integers and b =0.

Back

Subspaces

Front

1. The zero vector is in H; 2. For u and v in H, u + v is also in H; 3. For u in H, cu is also in H (c is a constant)

Back

orthogonal set

Front

A set of vectors where Ui . Uj = 0 (and i != j); if S is an orthogonal set, S is linearly independent and a basis of the subspace spanned by S

Back

transformation

Front

assigns each vector x in R^n a vector T(x) in R^m

Back

independent

Front

If only the trivial solution exists for a linear equation; the columns of A are independent if only the trivial solution exists

Back

Point of Intersection

Front

the place where two lines cross

Back

Mixed Number

Front

the sum of a whole number and a fraction

Back

homogeneous

Front

A system that can be written as Ax = 0; the x = 0 solution is a TRIVIAL solution

Back

Invertible Matrix Theorem (either all of them are true or all are false)

Front

A is invertible; A is row equivalent to I; A has n pivot columns; Ax = 0 has only the trivial solution; The columns of A for a linearly independent set; The transformation x --> Ax is one to one; Ax = b has at least one solution for each b in R^n; The columns of A span R^n; x --> Ax maps R^n onto each R^m; there is an n x n matrix C such that CA = I; there is a matrix such that AD = I; A^T is invertible; The columns of A form a basis of R^n; Col A = R^n; dim Col A = n; rank A = n; Nul A = [0]; dim Nul A = 0

Back

onto

Front

consistent for any b; pivots in all rows

Back

pivot position

Front

A position in the original matrix that corresponds to a leading 1 in a reduced echelon matrix

Back

dependent

Front

If non-zero weights that satisfy the equation exist; if there are more vectors than there are entries

Back

orthogonal component

Front

1. x is in W' if x is perpendicular to every vector that spans W; 2. W' is a subspace of R^n

Back

Null space

Front

Set of all solution to Ax = 0

Back

Section 32

(55 cards)

Trapezoid

Front

a quadrilateral that has exactly two parallel sides

Back

Regular Polygons

Front

when all the sides of a polygon are the same length and all the angles are the same measure

Back

Natural Numbers

Front

counting numbers

Back

Octagon

Front

a polygon with 8 sides and vertices

Back

Concave

Front

an indentation

Back

Concave Polygon

Front

a polygon with an indentation

Back

Dodecagon

Front

a polygon with 12 sides and vertices

Back

Positive Real Numbers

Front

any number that can be used to describe a physical distance greater than zero

Back

Heptagon

Front

a polygon with 7 sides and vertices

Back

Decagon

Front

a polygon with 10 sides and vertices

Back

Equianglular Triangle

Front

a triangle in which all the angles are the same measure

Back

Symbol of Inequality

Front

the unequal sign which indicates that two quantities are not equal

Back

Value

Front

the number represented by a numeral

Back

Circumference

Front

the perimeter of a circle

Back

Real Numbers

Front

all the positive real numbers plus zero

Back

Signed Numbers

Front

numbers that are indicated with signs of postive or negative used in algebraic addition

Back

Undecagon

Front

a polygon with 11 sides and vertices

Back

Equilateral Triangle

Front

a triangle in which the length of all the sides are equal

Back

Nonagon

Front

a polygon with 9 sides and vertices

Back

Convex Polygon

Front

any polygon without an indentation

Back

Factor

Front

the numbers multiplied in a multiplication problem

Back

Right Triangle

Front

a triangle with a right angle

Back

Number

Front

an idea that represents quantity

Back

Parallelogram

Front

a quadrilateral that has two pairs of parallel sides

Back

Radius

Front

the distance from the center of the circle to the outside edge

Back

Minuend

Front

the first number in a subtraction problem

Back

Numeral

Front

a symbol which represents the idea of a particular number

Back

Sum

Front

the result of an addition problem

Back

Rectangle

Front

a parallelogram with four right angles

Back

Perimeter

Front

the measure around

Back

Addend

Front

the numbers added in an addition problem

Back

Rhombus

Front

an equilateral parallelogram

Back

Equilateral Polygon

Front

when all the sides of a polygon have the same length

Back

Difference

Front

the result of a subtraction problem

Back

Square

Front

a rhombus with four right angles

Back

Subtrahend

Front

the second number in a subtraction problem

Back

Diameter

Front

the distance from one side of a circle through the center to the other side

Back

Acute Triangle

Front

a triangle with angles smaller than 90 degrees

Back

Irrational Number

Front

a number that would take an infinite number of digits to express

Back

Equiangular Polygon

Front

when all the angles of a polygon have the same measure

Back

Tick Marks

Front

marks used to denote sides and angles that have the same length and/or measure

Back

Symbol of Equality

Front

the equal sign which indicates that two quantities are equal

Back

Isoceles Triangle

Front

a triangle that has at least two sides of equal length

Back

Obtuse Triangle

Front

a triangle with an angle that is greater than 90 degrees

Back

Zero

Front

a number that can be used to describe a physical distance of no magnitude

Back

Negative Numbers

Front

the negative counterparts of the positive real numbers

Back

Pentagon

Front

a polygon with 5 sides and vertices

Back

Quadrilateral

Front

a polygon with 4 sides and vertices

Back

Hexagon

Front

a polygon with 6 sides and vertices

Back

Scalene Triangle

Front

a triangle in which all sides are different

Back

Section 33

(50 cards)

⁵√x⁵

Front

x

Back

Numerator

Front

the number on the top of a fraction

Back

radicand of ⁵√x

Front

x

Back

y varies inversely as x (k is the constant)

Front

y=k/x

Back

(g⁴)²

Front

g⁸

Back

intersection, includes only the numbers in common from 2 sets, x<5, x>2 →includes only numbers less than 5 but greater than 2 (2, 5)

Front

Back

side

Front

Each segment of a polygon.

Back

union, includes all possibilities from both sets, x<5, x>2 →includes all real numbers(⁻∞, ∞)

Front

Back

Dividend

Front

the first number in a division problem

Back

(p³)⁴

Front

p¹²

Back

2x⁻² /x³

Front

2/x⁵

Back

point of intersection

Front

The point where two lines cross.

Back

index of ⁵√x

Front

5

Back

Divisor

Front

the second number in a division problem

Back

x¹/³

Front

³√x

Back

greater than or equal to x, less than or equal to y

Front

[x, y]

Back

Product

Front

the result of a multiplication problem

Back

mixed number

Front

The sum of a whole number and a fraction.

Back

2x² /x³

Front

2/x

Back

Q is directly proportional to y and inversely proportional to y (k is the constant)

Front

Q=kx/y

Back

no x value in the domain can be paired with more than one y value, vertical line test,

Front

function

Back

factor a²-b²

Front

(a+b)(a-b)

Back

(a-b)(a-b) OR (a - b)²

Front

a² -2ab + b²

Back

h⁷/⁹ ÷ h⁵/⁹

Front

h²/⁹

Back

factor 8m²+64

Front

8(m²+8)

Back

acute angle

Front

An angle that is smaller than a right angle.

Back

domain in interval notation f(x)=⁵√x-5 (for an odd index the root can be negetive or positive)

Front

(-∞,∞)

Back

Quotient

Front

the result of a division problem

Back

(a+b)(a+b) OR (a+b)²

Front

a²+2ab+b²

Back

vertex form

Front

f(x) = a(x-h)² + k, where (h,k) is the vertex form of quadratic equation

Back

greater than x, less than y in interval notation

Front

(x, y)

Back

⁴√x⁴

Front

|x|

Back

Denominator

Front

the number on the bottom of a fraction

Back

x²/³

Front

(³√x)²

Back

domain in interval notation f(x)=⁴√x-5 ( for an even index, root must be positive)

Front

[5,∞)

Back

factor a³-b³

Front

(a-b)(a²+ab+b²)

Back

straight angle

Front

Two right angles form a straight angle.

Back

7c¹/⁶

Front

7 ⁶√c

Back

quadratic formula

Front

x = -b ± √(b² - 4ac)/2a

Back

vertex formula

Front

(-b/2a, 4ac-b²/4a)

Back

right angle

Front

The angle made by perpendicular lines.

Back

⁴√7 * ⁴√2

Front

⁴√14

Back

Determine the domain and write your answer in set-builder notation. v+3/v-5

Front

{v|v≠5}

Back

y varies directly as x (k is the constant)

Front

y=kx

Back

x⁻⁵

Front

1 / x⁵

Back

factor a³+b³

Front

(a+b)(a²-ab+b²)

Back

perpendicular

Front

Two lines that make a square corner at the point of intersection.

Back

x⁻⁵/⁶

Front

1 / ⁶√x⁵

Back

vertex

Front

The endpoint of each segment in a polygon.

Back

obtuse angle

Front

An angle that is larger than a right angle but less than a straight angle.

Back

Section 34

(50 cards)

equiangular polygon

Front

A polygon in which all angles have the same measure.

Back

real number

Front

All negative or positive numbers and zero.

Back

sum

Front

The result of an addition problem.

Back

right triangle

Front

A triangle that has a right angle.

Back

decimal system

Front

The system of numeration that is used to designate numbers.

Back

convex polygon

Front

Any polygon that does not have an indentation. Most polygons you will study are convex polygons

Back

180 degrees

Front

The sum of measures of the three angles in any triangle is 180 degrees.

Back

negative real number

Front

Any number that can be used to describe the negative counterpart of a positive real number.

Back

rectangle

Front

A parallelogram with four right angles.

Back

pi

Front

The exact numberof times the diameter of circle will go around the circle, which is approximately 3.14.

Back

radius

Front

The distance from the center of a circle to any point on the circle.

Back

positive number

Front

Any number greater than zero.

Back

natural (or counting) numbers

Front

Numbers that are used to count objects or things.

Back

difference

Front

The result of subtraction problem.

Back

nonagon

Front

A nine-sided polygon.

Back

negative number

Front

Any number less than zero.

Back

zero

Front

Used to describe a physical distance of no magnitude or an empty set.

Back

acute triangle

Front

A triangle in which all angles measure less than 90 degrees.

Back

circumference

Front

The perimeter of a circle.

Back

decagon

Front

A ten-sided polygon.

Back

equilateral polygon

Front

A polygon in which all segments (or sides) are the same length.

Back

minuend

Front

The first number in a subtraction problem.

Back

hexagon

Front

A six-sided polygon.

Back

factor

Front

The numbers in a multiplication problem.

Back

diameter

Front

The radius of a circle times two.

Back

heptagon

Front

A seven-sided polygon.

Back

signed numbers

Front

Numbers designated as either negative or positive by prefixing the number with either a (-) or a (+).

Back

concave polygon

Front

A polygon with an indentation (or cave).

Back

square

Front

A rhombus with four right angles.

Back

irrational number

Front

A number with an infinite number of digits after the decimal point.

Back

rhombus

Front

An equilateral parallelogram.

Back

isosceles triangle

Front

A triangle that has at least two sides of equal length.

Back

positive real number

Front

Any number that can be used to describe a physical distance greater than zero.

Back

pentagon

Front

A five-sided polygon.

Back

equiangular triangle

Front

A triangle in which the measure of all angles are equal.

Back

quadrilateral

Front

A four-sided polygon.

Back

perimeter

Front

The measure (or distance) around a polygon.

Back

regular polygon

Front

A polygon in which all segments have the same lenght and all angles have the same measure.

Back

four basic math operations

Front

Addition, subtraction, multiplication, and division

Back

addend

Front

Each number in an addition problem.

Back

octagon

Front

An eight-sided polygon

Back

triangle

Front

A three-sided polygon.

Back

parallelogram

Front

A quadrilateral that has two pairs of parallel sides.

Back

subtrahend

Front

The second number in a subtraction problem.

Back

trapezoid

Front

A quadrilateral that has exactly two parallel sides.

Back

dodecagon

Front

A twelve-sided polygon.

Back

scalene triangle

Front

A triangle in which none of the sides are equal in length.

Back

equilateral triangle

Front

A triangle in which the length of all sides are equal.

Back

obtuse triangle

Front

A triangle in which one the angles measures more than 90 degrees.

Back

undeagon

Front

An eleven-sided polygon.

Back

Section 35

(52 cards)

absolute value of zero

Front

zero

Back

exponent

Front

a mathematical notation indicating the number of times a quantity is multiplied by itself

Back

dividend

Front

The first number in a division problem.

Back

terms

Front

in an expression are separated by addition and subtraction signs

Back

area of a square

Front

A= side²

Back

distributive property

Front

a(b + c) = ab + ac an + ac = a(b+ c)

Back

area

Front

the number of square units needed to cover a flat surface

Back

associative property of addition

Front

changing the grouping of terms will not change the sum, (a + b) + c = a + (b + c)

Back

formula

Front

An equation that shows a relationship among two or more quantities

Back

constant

Front

a term that has no variable and does not change

Back

commutative property for addition

Front

The order in which two real numbers are added does not affect the sum.

Back

perimeter

Front

The sum of the lengths of the sides of a polygon

Back

variable

Front

a letter used to represent one or more numbers

Back

evaluate

Front

to find the value of an expression

Back

commutative property of multiplication

Front

the order of the factors does not change the product a x b = b x a

Back

integers

Front

Includes negative numbers with a set of natural numbers.

Back

area of a circle

Front

A = πr²

Back

area of a rectangle

Front

A= length x width

Back

fraction

Front

A division problem represent as such: 3/4.

Back

whole numbers

Front

Includes the number zero with a set of natural numbers.

Back

algebraic subtraction

Front

If a and b are real numbers, then a - b = a +(-b) where -b is the opposite of b.

Back

order of operations

Front

the order in which operations in an expression to be evaluated are carried out. 1. parentheses 2. exponets 3. multiplication and divison 4. addition and subtraction

Back

area of a triangle

Front

A= 1/2bh

Back

mean

Front

the sum of the values in a data set divided by the number of values in the set

Back

coefficient

Front

number in front of a variable

Back

product

Front

The result of a multiplication problem.

Back

circumference

Front

The distance around a circle

Back

base

Front

is the number that is repeatedly multiplied in a power

Back

multiplication identity property

Front

The product of any number and one is that number.

Back

quotient

Front

The result of a division problem.

Back

solving an equation

Front

finding all the solutions of an equation

Back

like terms

Front

terms that have identical variable parts raised to the same power

Back

unit multipliers

Front

Fractions used to change the units of a number.

Back

absolute value

Front

In reference to a number, the positive number that describes the distance on a number line of the graph of the number from the origin.

Back

additive identity property

Front

The sum of a number and zero is always that number.

Back

additive inverse property

Front

The sum of a number and its opposite is zero.

Back

associative property of multiplication

Front

changing the grouping of factors will not change the product, (ab)c = a(bc)

Back

opposite of a number

Front

on a number line, a number that is the same distance away from zero in the other direction

Back

equation

Front

a mathematical sentence with an equal sign that shows that two expressions are equivalent

Back

numerical expression

Front

consists of numbers and operations

Back

set

Front

Designates a well-defined collection of numbers.

Back

power

Front

is a number made of repeated factors

Back

numerator

Front

The number that is on top in a fraction.

Back

denominator

Front

The number that is on the bottom in a fraction.

Back

commutative property of addition

Front

In a sum, you can add terms in any order, a + b = b + a

Back

variable expression

Front

consists of numbers, variables, and operations

Back

divisor

Front

The second number in a division problem.

Back

absolute value

Front

the distance a number is from 0 on the number line, value of n is written l n l

Back

integers

Front

Positive and Negative Whole Numbers and 0. Examples: .... -3, -2, -1, 0, 1, 2, 3.....(Does not include fractions or decimals)

Back

square unit

Front

a square with sides one unit long.

Back

Section 36

(50 cards)

Isolate the variable

Front

To get a variable alone on one side of an equation or inequality in order to solve the equation or inequality

Back

rate

Front

a ratio that compares two quantities measured in different units

Back

Equivalent Inequalities

Front

inequalities that have the same solution

Back

diameter

Front

the distance across a circle through its center (is also twice the radius)

Back

principal

Front

the original amount of money loaned or borrowed

Back

range

Front

is the difference of the greatest value and the least value in a set of data.

Back

radical expression

Front

an expression that contains a square root

Back

prime factorization

Front

a number written as the product of its prime factors

Back

theoretical probability

Front

what should occur in a probability experiment...an experiment is not actually done

Back

Equivalent Equations

Front

equations that have the same solution

Back

height

Front

the perpendicular (90 degrees) distance from the base of a triangle to the opposite vertex

Back

greatest common factor

Front

The largest factor that two or more numbers have in common.

Back

equivalent ratios

Front

Ratios that have the same value.

Back

median

Front

is the middle value in a data set where the numbers are ordered least to greatest

Back

ratio

Front

a comparison of two numbers by division

Back

quadrant

Front

one of four sections into which the coordinate plane is divided

Back

opposite

Front

the number that is on the other side of 0 and is exactly the same distance away from 0

Back

Inequality

Front

A statement that compares two quantities using <, >, ≤,≥, or ≠

Back

radius

Front

a line segment from the center of a circle to any point on the circle (is also half the diameter)

Back

interest

Front

is the amount paid for borrowing or lending money

Back

prime number

Front

A whole number that has exactly two factors, 1 and itself.

Back

Pythagorean Theorem

Front

a² + b² = c²

Back

reciprocal

Front

one of a pair of numbers whose product is 1: the reciprocal of 2/3 is 3/2

Back

equivalent fractions

Front

fractions that have the same value and the same simplest form

Back

base

Front

the bottom of a triangle

Back

Inverse Operation

Front

operations that undo each other, such as addition and subtraction

Back

coordinate plane

Front

A plane that is divided into four regions by a horizontal line called the x-axis and a vertical line called the y-axis. aka "the Cartesian plane" after René Descartes

Back

rational number

Front

A number that can be written as a/b where a and b are integers, but b is not equal to 0.

Back

center

Front

the point in the exact middle of a circle

Back

ordered pair

Front

A pair of numbers, (x, y), that indicate the position of a point on a coordinate plane.

Back

composite

Front

a number that has more than two factors

Back

multiple

Front

skip-counting by any given number Ex: 4, 8, 12, 16...

Back

circle

Front

is the set of all points that are an equal distance from a point called the center

Back

least common denominator

Front

The least common multiple of the denominators of two or more fractions.

Back

irrational number

Front

a number that can not be written a/b

Back

scale model

Front

a model of an object in which the dimensions are in proportion to the actual dimensions of the object.

Back

unit rate

Front

a rate that has a denominator of 1

Back

monomial

Front

a single term made up of numbers and variables

Back

circumference

Front

The distance around a circle.

Back

probability of an event

Front

number of favorable outcomes divided by total number of possible outcomes

Back

experimental probability

Front

probability based on what happens when an experiment is actually done

Back

mode

Front

is the value in a data set that occurs most often. If all values occur the same amount of times there is no mode for that set.

Back

least common multiple

Front

the smallest multiple that two or more numbers have in common

Back

repeating decimal

Front

a decimal in which one or more digits repeat infinitely

Back

proportion

Front

an equation that states that two ratios are equal Ex: 1/2 = x/10

Back

simplest form

Front

when the GCF of the numerator and denominator is 1

Back

scientific notation

Front

a method of writing very large or very small numbers by using powers of 10

Back

percent

Front

a ratio whose denominator is 100

Back

annual interest rate

Front

apr, the percent of the principal you pay or earn a year

Back

perfect square

Front

a number that has a whole number for a square root ex: 9, 16, 121

Back

Section 37

(53 cards)

Variable

Front

A letter or symbol used to represent a number such as x, y, a, b

Back

Pi

Front

3.1415.... is an irrational number resulting from the ratio of a circle's circumference to its diameter

Back

Symmetric Property

Front

If a = b then b = a

Back

Commutative Property of Multiplication

Front

(x)(2) = 2x

Back

function

Front

a relation that assigns exactly one output value for each input value

Back

Distributive Property

Front

a(b + c) = ab + ac

Back

domain

Front

the set of all the input (x-values) for a function

Back

Integers

Front

{...-2, -1, 0, 1, 2...}

Back

Multiplication Property of Zero

Front

a * 0 = 0

Back

Identity Property of Multiplication

Front

1a = a

Back

Counting Numbers

Front

{1, 2, 3...}

Back

Coefficient

Front

The 2 in the term 2x

Back

Whole Numbers

Front

{0, 1, 2...}

Back

Like Terms

Front

Terms that have the same variable and the same exponent.

Back

linear equation

Front

an equation whose answers are ordered pairs (x,y) and whose answers graph a straight line

Back

Associative Property of Multiplication

Front

(ab)c = a(bc)

Back

Term

Front

A number, a variable, or the product of a number and a variable

Back

independent event (probability)

Front

an event that is not affected by another event.

Back

Commutative Property of Multiplication

Front

ab = ba

Back

input

Front

the x-value in a function

Back

Irrational Numbers

Front

Any number that can't be written as a fraction.

Back

Inverse Property of Addition

Front

a + (-a) = 0

Back

tree diagram (probability)

Front

a diagram used to show the total number of possible outcomes in an experiment

Back

Inverse Property of Multiplication

Front

a(1/a) = 1

Back

cube

Front

special polyhedron with faces that are all squares

Back

Equation

Front

2x + 3 = 8

Back

Commutative Property of Addition

Front

3x + 2 + 5x = 3x + 5x +2

Back

Identity Property of Addition

Front

a + 0 = a

Back

permutations

Front

...

Back

combinations

Front

...

Back

fundamental counting principle

Front

...

Back

slope

Front

the steepness of a line on a graph, rise over run

Back

Rational Numbers

Front

Any number that can be expressed as a fraction.

Back

volume

Front

the amount of 3-dimensional space occupied by an object

Back

Constant

Front

A term without a variable

Back

x-intercept

Front

the point where a graph crosses the x-axis

Back

range

Front

the set of all the output (y-values) for a function

Back

odds

Front

the ratio of the number of ways the event can occur to the number of ways the event cannot occur. Favorable over Unfavorable.

Back

Associative Property of Addition

Front

(a + b) + c = a + (b + c)

Back

Constant

Front

The 3 in the expression 2x + 3

Back

Commutative Property of Addition

Front

a + b = b + a

Back

Associative Property of Addition

Front

(27 + 38) + 12 = 27 + (38 +12)

Back

Expression

Front

2x + 3

Back

output

Front

the y-value in a function

Back

Multiplication Property of -1

Front

-1 * a = -a

Back

y-intercept

Front

the point where a graph crosses the y-axis

Back

slope intercept form

Front

y = mx + b

Back

Pythagorean triple

Front

a set of three positive integers that work in the pythagorean theorem

Back

surface area

Front

The total area of the 2-dimensional surfaces that make up a 3-dimensional object.

Back

dependent event (probability)

Front

an event who's outcome does depend on the outcome of a previous event

Back

Section 38

(50 cards)

numeral

Front

An expression that names a particular number; a numerical expression.

Back

Addition Property of Equality

Front

If a = b then a + c = b + c

Back

When there are no grouping symbols, simplify in the following order:

Front

1. Do all multiplications and divisions in order from left to right. 2. Do all additions and subtractions in order from left to right.

Back

Multiplication Property of Zero

Front

0x = 0

Back

values of a variable

Front

The numbers that can be represented by the variable.

Back

Lesson 1-3

Front

Equations

Back

Additive Inverse

Front

also known as the opposite

Back

Identity Property of Addition

Front

4x + 0 = 4x

Back

Absolute Value

Front

The distance away from zero. It is always positive.

Back

Distributive Property

Front

2(x + 5) = 2x + 10

Back

equation

Front

A statement formed by placing an equals sign between two numerical or variable expressions.

Back

Title

Front

Algebra Structure and Method Book 1

Back

Subtraction Property of Equality

Front

If a = b then a - c = b - c

Back

Objective 1-1

Front

To simplify numerical expressions and evaluate algebraic expressions.

Back

Multiplication Property of Equality

Front

x/5 = 4 so x = 20

Back

Quotient

Front

The answer to a division problem.

Back

Lesson 1-1

Front

Variables

Back

Addition Property of Equality

Front

3x - 2 = 7 so 3x = 9

Back

Lesson 1-2

Front

Grouping Symbols

Back

open sentence

Front

A sentence containing one or more variables.

Back

variable

Front

A symbol used to represent one or more numbers.

Back

substitution principle

Front

An expression may be replaced by another expression that has the same value.

Back

Objective 1-2

Front

To simplify expressions with and without grouping symbols.

Back

Division Property of Equality

Front

4x = 12 so x = 3

Back

simplifying a numerical expression

Front

Replacing the expression by the simplest name for its value.

Back

grouping symbol

Front

A device used to enclose an expression that should be simplified before other operations are performed. Examples: parentheses, brackets, fraction bar.

Back

Multiplication Property of -1

Front

-5 = (-1)(5)

Back

Identity Property of Multiplication

Front

1x = x

Back

Symmetric Property

Front

5 = x so x = 5

Back

Sum

Front

The answer to an addition problem.

Back

Chapter 1

Front

Introduction to Algebra

Back

Division Property of Equality

Front

If a = b then a/c = b/c

Back

Objective 1-3

Front

To find solution sets of equations over a given domain.

Back

evaluating a variable expression

Front

Replacing each variable in the expression by a given value and simplifying the result.

Back

Reciprocal

Front

2/3 and 3/2 8 and 1/8

Back

Multiplicative Inverse

Front

also known as the reciprocal

Back

Associative Property of Multiplication

Front

[(25)(16)](4) = (25)[(4)(16)]

Back

Multiplication Property of Equality

Front

If a = b then ac = bc

Back

numerical expression

Front

An expression that names a particular number; a numeral.

Back

Opposites

Front

4 and -4 -6 and 6

Back

variable expression

Front

An expression that contains a variable.

Back

Subtraction Property of Equality

Front

2x + 3 = 7 so 2x = 4

Back

Difference

Front

The answer to a subtraction problem.

Back

value of a numerical expression

Front

The number named by the expression.

Back

Inverse Property of Addition

Front

8 + (-8) = 0

Back

sides of an equation

Front

The two expressions joined by the equals sign.

Back

Product

Front

The answer to a multiplication problem.

Back

Chapter 1 Section 1

Front

Variables and Equations

Back

Distributive Property

Front

4x + 6 = 2(2x + 3)

Back

Inverse Property of Multiplication

Front

8(1/8) = 1

Back

Section 39

(52 cards)

graph of a number

Front

The point on a number line that is paired with the number.

Back

Lesson 1-7

Front

A Problem Solving Plan

Back

Zero is niether

Front

positive nor negative.

Back

D = rt

Front

Distance traveled = rate × time traveled

Back

Objective 1-8

Front

To graph real numbers on a number line and to compare real numbers.

Back

solution set of an open sentence

Front

The set of all solutions of the sentence.

Back

negative side

Front

On a horizontal number line, the side to the left of the origin.

Back

satisfy an open sentence

Front

Any solution of the sentence satisfies the sentence.

Back

positive side

Front

On a horizontal number line, the side to the right of the origin.

Back

Objective 1-7

Front

To use the five-step plan to solve word problems over a given domain.

Back

P = 2l + 2w

Front

Perimeter of rectangle = ( 2 × length ) + ( 2 × width )

Back

Plan for Solving a Word Problem Step 4

Front

Solve the equation and find the unknowns asked for.

Back

1. If a is positive,

Front

then −a is negative.

Back

inequality symbols

Front

Symbols used to show the order of two real numbers. The symbol ≠ means "is not equal to."

Back

A = lw

Front

Area of rectangle = length of rectangle × width of rectangle

Back

Objective 1-5

Front

To translate word sentences into equations.

Back

area

Front

The area of a region is the number of square units it contains.

Back

real number

Front

Any number that is either positive, negative, or zero.

Back

origin

Front

The zero point on a number line. The intersection of the axes on a coordinate plane.

Back

Step 3

Front

Reread the problem and write an equation.

Back

Lesson 1-9

Front

Opposites and Absolute Values

Back

negative number

Front

A number paired with a point on the negative side of a number line.

Back

positive number

Front

A number paired with a point on the positive side of a number line.

Back

positive integers

Front

The numbers 1, 2, 3, 4, and so on.

Back

domain of a variable

Front

The given set of numbers that the variable may represent.

Back

Objective 1-6

Front

To translate simple word problems into equations.

Back

C = np

Front

Cost = number of items × price per item

Back

formula

Front

An equation that states a rule about a relationship.

Back

Plan for Solving a Word Problem Step 1

Front

Read the problem carefully. Decide what unknown numbers are asked for and what facts are known. Making a sketch may help.

Back

integers

Front

The set consisting of the positive integers, the negative integers, and zero.

Back

solution of a sentence

Front

Any value of a variable that turns an open sentence into a true statement.

Back

Step 2

Front

Choose a variable and represent the unknows.

Back

Lesson 1-8

Front

Number Lines

Back

solve an open sentence

Front

To find the solution set of the sentence.

Back

Plan for Solving a Word Problem Step 5

Front

Check your results with the words of the problem. Give the answer.

Back

coordinate of a point

Front

The number paired with that point on a number line.

Back

negative integers

Front

The numbers −1, −2, −3, −4, and so on.

Back

Lesson 1-4

Front

Translating Words into Symbols

Back

Lesson 1-5

Front

Translating Sentences into Equations

Back

opposite of a number

Front

Each of the numbers in a pair such as 6 and −6 or −2.5 and 2.5. Also called additive inverse.

Back

Plan for Solving a Word Problem Step 2

Front

Choose a variable and use it with the given facts to represent the unknowns described in the problem.

Back

Plan for Solving a Word Problem Step 3

Front

Reread the problem and write an equation that represents relationships among the numbers in the problem.

Back

whole numbers

Front

The set consisting of zero and all the positive integers.

Back

Step 1

Front

Read the problem carefully.

Back

Objective 1-9

Front

To use opposites and absolute values.

Back

Objective 1-4

Front

To translate phrases into variable expressions.

Back

Lesson 1-6

Front

Translating Problems into Equations

Back

Chapter 1 Section 3

Front

Numbers on a Line

Back

Chapter 1 Section 2

Front

Applications and Problem Solving

Back

perimeter

Front

The perimeter of a plane figure is the distance around it.

Back

Section 40

(53 cards)

Regular Polygons

Front

when all the sides of a polygon are the same length and all the angles are the same measure

Back

Square

Front

a rhombus with four right angles

Back

Isoceles Triangle

Front

a triangle that has at least two sides of equal length

Back

Rhombus

Front

an equilateral parallelogram

Back

Perimeter

Front

the measure around

Back

Equiangular Polygon

Front

when all the angles of a polygon have the same measure

Back

Equilateral Triangle

Front

a triangle in which the length of all the sides are equal

Back

Concave Polygon

Front

a polygon with an indentation

Back

Parallel Lines

Front

lines in the same plane that do not intersect and the distance between the lines is always the same

Back

Scalene Triangle

Front

a triangle in which all sides are different

Back

1. If a is positive,

Front

|a| = a.

Back

Dodecagon

Front

a polygon with 12 sides and vertices

Back

Equianglular Triangle

Front

a triangle in which all the angles are the same measure

Back

3. If a is zero,

Front

|a| = 0.

Back

Mixed Number

Front

the sum of a whole number and a fraction

Back

2. If a is negative,

Front

then −a is positive.

Back

Trapezoid

Front

a quadrilateral that has exactly two parallel sides

Back

Acute Triangle

Front

a triangle with angles smaller than 90 degrees

Back

Parallelogram

Front

a quadrilateral that has two pairs of parallel sides

Back

Undecagon

Front

a polygon with 11 sides and vertices

Back

Triangle

Front

a polygon with 3 sides and vertices

Back

Equilateral Polygon

Front

when all the sides of a polygon have the same length

Back

Radius

Front

the distance from the center of the circle to the outside edge

Back

Tick Marks

Front

marks used to denote sides and angles that have the same length and/or measure

Back

Obtuse Triangle

Front

a triangle with an angle that is greater than 90 degrees

Back

Concave

Front

an indentation

Back

Rectangle

Front

a parallelogram with four right angles

Back

3. If a = 0,

Front

then −a = 0.

Back

2. If a is negative,

Front

|a| = −a.

Back

Perpendicular

Front

when two lines make square corners at the point of intersection

Back

Convex Polygon

Front

any polygon without an indentation

Back

Right Angles

Front

the angles made by perpendicular lines

Back

4. The opposite of −a is

Front

a; that is, −(−a) = a.

Back

Quadrilateral

Front

a polygon with 4 sides and vertices

Back

absolute value

Front

The positive number of any pair of opposite nonzero real numbers is the absolute value of each number in the pair. The absolute value of 0 is 0. The absolute value of a number a is denoted by |a|.

Back

Hexagon

Front

a polygon with 6 sides and vertices

Back

Right Triangle

Front

a triangle with a right angle

Back

Octagon

Front

a polygon with 8 sides and vertices

Back

Decagon

Front

a polygon with 10 sides and vertices

Back

Straight Angle

Front

two right angles that forms a straight line back to back

Back

Acute Angle

Front

an angle smaller than a right angle

Back

Polygon

Front

simple, closed, flat geometric figures whose sides are line segments and whose lines do not cross

Back

Pentagon

Front

a polygon with 5 sides and vertices

Back

Line Segment

Front

part of a line

Back

Obtuse Angle

Front

an angle larger than a right angle

Back

Nonagon

Front

a polygon with 9 sides and vertices

Back

Heptagon

Front

a polygon with 7 sides and vertices

Back

Intersect

Front

when two lines cross

Back

Point of Intersection

Front

the place where two lines cross

Back

Line

Front

straight line that has no width and no ends

Back