Section 1

Preview this deck

Substitution Property

Front

Star 0%
Star 0%
Star 0%
Star 0%
Star 0%

0.0

0 reviews

5
0
4
0
3
0
2
0
1
0

Active users

0

All-time users

0

Favorites

0

Last updated

6 years ago

Date created

Mar 1, 2020

Cards (66)

Section 1

(50 cards)

Substitution Property

Front

If a=b, then a can be substituted for b in any equation or expression

Back

Contropositive

Front

If not q, then not p

Back

Distributive Property

Front

a(b + c) = ab + ac

Back

Transitive Property

Front

If a=b and b=c, then a=c

Back

inverse

Front

If not p, then not q

Back

point

Front

A location in space that is represented by a dot and has no dimension

Back

converse

Front

If q, then p

Back

supplementary angles

Front

Two angles whose sum is 180 degrees

Back

Coplainer

Front

points that lie on the same plane

Back

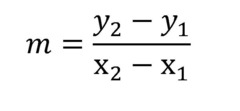
slope formula

Front

Back

congruent

Front

Having the same measure

Back

symetric property

Front

if a=b, then b=a

Back

Collinear

Front

points that lie on the same line

Back

detatchment

Front

if a hypothesis a conditional statement is true then the conditions is true

Back

counter

Front

an example used to show a conjecture is false

Back

segment bisector

Front

a segment, ray, line, or plane that intersects a segment at its midpoint

Back

Inductive

Front

finding pattern in a specific case and making conjectures

Back

conjecture

Front

to guess

Back

line segment

Front

part of a line with two endpoints

Back

conditional statement

Front

also known as an If Then Statement(p)

Back

plane

Front

a flat surface that has two dimensions and extends forever

Back

Deductive

Front

use facts definition and accepted properties to form a logical argument

Back

ray

Front

has one endpoint and extends indefinitely in one direction

Back

vertical angles

Front

A pair of opposite congruent angles formed by intersecting lines

Back

opposite rays

Front

share an endpoint and extends in opposite direction forming a line

Back

angle bisector

Front

a ray that divides an angle into two congruent angles

Back

skew lines

Front

Lines that do not intersect and are not co plainer

Back

consecutive

Front

following in order

Back

Line

Front

one dimension, am infinite set of points that extends forever in both directions

Back

linear pair

Front

A pair of adjacent angles whose non common sides are opposite rays.

Back

Transversal Line

Front

a line that intersects two parallel lines

Back

midpoint formula

Front

(x₁+x₂)/2, (y₁+y₂)/2

Back

Subtraction Property

Front

If a=b, then a-c=b-c

Back

polygon

Front

Back

Complementary

Front

two angles that add up to 90 degrees

Back

Non-Rigid Transformation

Front

Transformation like a dilation that does not maintain size and shape.

Back

perimeter

Front

The distance around a figure

Back

Proofs

Front

Back

Negation

Front

The opposite of the original statement (~p)

Back

Addition Property

Front

If a=b, then a+c=b+c

Back

Midpoint

Front

A point that divides a segment into two congruent segments

Back

Reflexive Property

Front

a=a

Back

rigid transformation

Front

A transformation that does not change the size or shape of a figure.

Back

Division Property

Front

if a=b and c≠0, then a/c=b/c

Back

Multiplication Property

Front

If a=b, then ac=bc

Back

parrallel

Front

2 lines that lie on the same plane and never intersect

Back

Integers

Front

...-3, -2, -1, 0, 1, 2, 3... all the whole numbers together with their opposites

Back

Segmant Addition Postulate

Front

If B is between A and C, then AB+BC=AC

Back

angle

Front

A figure formed by two rays with a common endpoint(vertex)

Back

Distance Formula

Front

d = √[( x₂ - x₁)² + (y₂ - y₁)²]

Back

Section 2

(16 cards)

Reflection

Front

A transformation that "flips" a figure over a mirror or reflection line.

Back

Exterior Angle Theorem

Front

The measure of an exterior angle of a triangle is equal to the sum of the measures of the two nonadjacent interior angles.

Back

SAS

Front

If two sides and the included angle of one triangle are congruent to two sides and the included angle of another triangle, then the triangles are congruent.

Back

equilateral triangle

Front

A triangle with three congruent sides

Back

obtuse triangle

Front

A triangle with one angle that is greater than 90 degrees.

Back

right triangle

Front

A triangle that has a 90 degree angle.

Back

ASA

Front

Back

acute triangle

Front

A triangle with 3 acute angles

Back

scalene triangle

Front

a triangle with no congruent sides

Back

included angle

Front

an angle formed by two adjacent sides of a polygon

Back

SSS

Front

If three sides of one triangle are congruent to three sides of another triangle, then the triangles are congruent.

Back

Isosceles triangle

Front

a triangle with at least two congruent sides

Back

Rotation

Front

rotates an image t

Back

AAS

Front

if two angles and a non-included side of one triangle are congruent to the corresponding two angles and side of a second triangle, then the two triangles are congruent

Back

Dialation

Front

A transformation that enlarges or reduces a figure by a scale factor.

Back

Translation

Front

moves every point of a figure the same distance in the same direction

Back