AP Calculus AB Review

AP Calculus AB Review

memorize.aimemorize.ai (lvl 286)
Section 1

Preview this deck

limit as x approaches 0: sinx/x

Front

Star 0%
Star 0%
Star 0%
Star 0%
Star 0%

0.0

0 reviews

5
0
4
0
3
0
2
0
1
0

Active users

0

All-time users

0

Favorites

0

Last updated

6 years ago

Date created

Mar 1, 2020

Cards (78)

Section 1

(50 cards)

limit as x approaches 0: sinx/x

Front

1

Back

∫(1/x)dx

Front

ln|x|+C

Back

v(t)<0

Front

p(t) is moving left

Back

∫k dx [k IS A CONSTANT]

Front

kx+C

Back

d/dx(cotx)

Front

-csc²x

Back

d/dx(sinx)

Front

cosx

Back

∫cosx dx

Front

sinx+C

Back

d/dx(secx)

Front

secxtanx

Back

Basic Derivative

Front

f(x^n)= nx^(n-1)

Back

Rolle's Theorem

Front

if f(x) is continuous on [a,b] and differentiable on (a,b), and if f(a)=f(b), then there is at least one point (x=c) on (a,b) [DON'T INCLUDE END POINTS] where f'(c)=0

Back

If f''(x)>0

Front

f(x) is concave up & f'(x) is increasing

Back

d/dx(cosx)

Front

-sinx

Back

∫sinx dx

Front

-cosx+C

Back

Quotient rule of f(x)/g(x)

Front

g(x)f'(x)-f(x)g'(x)/g(x)²

Back

v(t)>0

Front

p(t) is moving right

Back

If f''(x)<0

Front

f(x) is concave down & f'(x) is decreasing

Back

∫(e^kx)dx

Front

ekx/k +C

Back

a(t)=0

Front

v(t) not changing

Back

If f'(x)<0

Front

f(x) is decreasing

Back

a(t)>0

Front

v(t) increasing

Back

Mean Value Theorem

Front

if f(x) is continuous on [a,b] and differentiable on (a,b), there is at least one point (x=c) where f'(c)= f(b)-f(a)/b-a

Back

If x=a is a critical value

Front

f'(a)=0 or f'(a)=DNE

Back

∫sec²x dx

Front

tanx+C

Back

Chain rule of f(x)^n

Front

n(f(x)^(n-1))f'(x)

Back

Product rule of f(x)g(x)

Front

f'(x)g(x)+g'(x)f(x)

Back

∫cscxcotx

Front

-cscx+C

Back

Extreme Value Theorem

Front

if f(x) is continuous on [a,b], then f(x) has an absolute max or min on the interval

Back

If f'(x)=0

Front

there is a POSSIBLE max or min on f(x) [number line test of f'(x)]

Back

d/dx(cscx)

Front

-cscxcotx

Back

Continuity Rule

Front

A function is continuous at x = c if: (1) f(c) is defined (2) lim f(x) (x goes to c) exists (3) lim f(x) (x goes to c) = f(c)

Back

d/dx(lnu)

Front

u'/u

Back

d/dx(a^u)

Front

a^u(lna)(u')

Back

v(t) and a(t) has different signs

Front

speed of particle decreasing

Back

∫secxtanx dx

Front

secx+C

Back

p''(t) or v'(t)

Front

a(t)= acceleration

Back

a(t)<0

Front

v(t) decreasing

Back

p'(t)

Front

v(t)= velocity

Back

Intermediate Value Theorem

Front

if f(x) is continuous on [a,b], then there will be a point x=c that lies in between [a,b] such that f(c) is between f(a) and f(b)

Back

limit as x approaches 0: 1-cosx/x

Front

0

Back

p(t), x(t), s(t)

Front

means position function

Back

d/dx(tanx)

Front

sec²x

Back

Alternate Definition of Derivative

Front

limit (as x approaches a number c)= f(x)-f(c)/x-c x≠c

Back

If f'(x)>0

Front

f(x) is increasing

Back

∫csc²x dx

Front

-cotx+C

Back

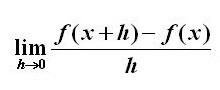
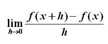
Limit Definition of Derivative

Front

limit (as h approaches 0)= F(x+h)-F(x)/h

Back

v(t)=0

Front

p(t) is at rest or changing direction

Back

∫(x^n)dx

Front

x^(n+1)∕(n+1) +C

Back

v(t) and a(t) has same signs

Front

speed of particle increasing

Back

d/dx(e^u)

Front

e^u(u')

Back

1st fundamental theorem of calculus

Front

(bounded by a to b) ∫f(x)dx= F(b)-F(a)

Back

Section 2

(28 cards)

d/dx(cot⁻¹u)

Front

-u'/(1+u²)

Back

Cross section for volume: isosceles triangle [A=1/2s²]

Front

v= 1/2∫[f(x)-g(x)]²dx

Back

Cross section for volume: equilateral triangle [A=√3/4s²]

Front

v= √3/4∫[f(x)-g(x)]²dx

Back

Volume (WASHER)

Front

V=π∫f(x)²-g(x)²dx

Back

d/dx(sec⁻¹u)

Front

u'/|u|√(u²-1)

Back

derivative of exponential growth equation: P(t)=Pe^kt

Front

dP/dt=kP

Back

Area between curves

Front

A=∫f(x)-g(x) dx

Back

Rules for lim f(x) (x goes to pos/neg infinity)

Front

(1) when lim f(x) (x goes to pos infinity) and degree of x is the same, the ratio of the coefficients is the limit (2) "" when degree in denominator is greater than the degree in numerator, limit = 0 (3) "" when degree in numerator is greater than the degree in denominator, limit DNE but can find end behavior model

Back

d/dx(sin⁻¹u)

Front

u'/√(1-u²)

Back

position of particle at specific point

Front

p(x)= initial condition + ∫v(t)dt (bounds are initial condition and p(x))

Back

Volume (DISK)

Front

V=π∫f(x)²dx

Back

∫du/|u|√(u²-a²)

Front

(1/a)(sec⁻¹u/a)+C

Back

End Behavior Model

Front

g(x) is a right EBM for f(x) if lim (x goes to pos infinity) f(x)/g(x) = 1 g(x) is a left EBM for f(x) if lim (x goes to neg infinity) f(x)/g(x) = 1

Back

Cross section for volume: square [A=s²]

Front

v=∫[f(x)-g(x)]²dx

Back

2nd fundamental theorem

Front

(bounded by 1 to x) d/dx[∫f(t)dt]= f(x)(x')

Back

d/dx(tan⁻¹u)

Front

u'/(1+u²)

Back

∫du/√(a²-u²)

Front

(sin⁻¹u/a)+C

Back

∫f(x)dx [BOUNDS ARE SAME]

Front

0

Back

∫du/(a²+u²)

Front

(1/a)(tan⁻¹u/a)+C

Back

Horizontal Asymptotes

Front

If lim f(x) (x goes to pos/neg infinity) = L then y = L is a HA, describes the end behavior of a function (a HA can be crossed)

Back

total distance of particle

Front

∫|v(t)|dt

Back

d/dx(csc⁻¹u)

Front

-u'/|u|√(u²-1)

Back

d/dx(cos⁻¹u)

Front

-u'/√(1-u²)

Back

average value

Front

(1/(b-a))[∫f(x)dx] [BOUNDED BY A TO B]

Back

Vertical Asymptotes

Front

y = f(x) has a VA at x = c if lim f(x) (x goes to c from the right) = pos/neg infinity or lim f(x) (x goes to c from the left) = pos/neg infinity

Back

Cross section for volume: semicircle [A=1/2πs²]

Front

v= 1/2π∫[f(x)-g(x)]²dx

Back

Displacement of particle

Front

∫v(t)dt

Back

Types of Discontinuity

Front

(1) Removable discontinuity (2) Jump discontinuity (piecewise or absolute value function) (3) Infinite discontinuity (asymptote)

Back