Section 1

Preview this deck

Integration by Parts

Front

Star 0%
Star 0%
Star 0%
Star 0%
Star 0%

0.0

0 reviews

5
0
4
0
3
0
2
0
1
0

Active users

0

All-time users

0

Favorites

0

Last updated

6 years ago

Date created

Mar 1, 2020

Cards (28)

Section 1

(28 cards)

Integration by Parts

Front

∫udv=uv-∫vdu This is advanced u-substitution. You have to pick a U and a dv and find du and v. Then, use the formula above. When choosing u, go by LIPET. L- logarithm I- Inverse trigonometric P-Polynomial E-Exponential T-Trigonometric

Back

IVT

Front

F(x) is continuous on closed interval [a,b], f(a) =/=f(b), k exists between f(a) and f(b)

Back

Logistic Growth

Front

dP/dt = kP(M-P) P=M/(1+Ae^-(Mk)t) Total population/max = M When is the thing happening the fastest? = M/2 Plugging in zero to the second equation will always cancel the e

Back

Partial Fractions

Front

1.) Factor denominator and set original rational expression equal to sum of two fractions with unknown numerators 2.) Multiply by the common denominator 3.) Substitute a value for x that will make a factor zero and solve. Then repeat for other factors 4.) Substitute these values and integrate the result *Antiderivatives will always contain logarithms and may be written in different forms using logarithmic properties*

Back

MVT

Front

If y=f(x) is continuous on every point of the closed interval [a,b] and differentiable at every point of its interior (a,b), then there is at least one point C in (a,b) at which f'(c) = f(b)-f(a) / b-a

Back

U- substitution

Front

You pick the U!! Find a u that makes the problem easier, and find du that will cancel something in the problem. Remember to adjust limits and cancel out any constants on du if needed

Back

Algebraic Limit Solving Steps

Front

Can you substitute the value? If yes, do it. If no... Can anything be factored and canceled? If yes, do it. If no... Limit is either ∞, -∞, or DNE, make a table to determine which!

Back

Improper Integrals

Front

Integrals that involve infinity as a limit of integration or an infinite discontinuity within the limits of integration Improper integrals that give a real number are said to converge to that value and that value is the solution Improper integrals that do not give a real number solution are said to diverge Rewrite: ∫(from a to ∞) f(x)dx = lim b→∞∫(from a to b) f(x)dx or ∫(from -∞ to b) f(x)dx = lim a→-∞ ∫(from a to b) f(x)dx or ∫(from -∞ to ∞) f(x)dx = ∫(from -∞ to c) f(x)dx + ∫(from c to ∞) f(x)dx = lim a→-∞ ∫(from a to c) f(x)dx + lim b→∞ (from c to b) f(x)dx

Back

Motion

Front

Position = WHERE? Displacement: ∆s = s(t₂)-s(t₁) Velocity: How fast, which way, Average: x(t₂)-x(t₁) / t₂-t₁, Instantaneous: v(t)=x'(t) Acceleration: Rate of change in velocity a(t) = v'(t) = x"(t) Speed: Velocity without direction =|v(t)|

Back

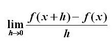
Definition of the Derivative

Front

The derivative of the function f with respect to the variable x is the function, f', whose value at x is: Provided the limit exists

Back

Related Rates

Front

Problems where the rate at which one value changes depends on the rate another value changes 1. Write known rates 2. Write desired rates 3. Write equation to relate rates 4. Differentiate equation 5. Solve for the desired rate 6. Substitute the given values and calculate 7. Answer the question

Back

Solids of Known Cross Section

Front

v=∫(from a to b) A(x)dx 1. Sketch the region and a cross section 2. Find a formula for A(x) 3. Determine the limits 4. Integrate A(x) to find volume

Back

Area and Volume Formulas

Front

Cone: V=1/3 πr²h Trapezoid: A=½h(b₁+b₂) Equilateral Triangle: A=√3/4s² Cylinder: V=πr²h

Back

Arc Length

Front

If a smooth curve begins at (a,c) and ends at (b,d), a<b, c<d, then the length of the curve is: L= ∫(from a to b) √1+(dy/dx)∧2dx If y is a smooth function of x on [a,b] L= ∫(from c to d)√1+(dx/dy)^2dy If x is a smooth function of y on [c,d] *Remember: Smooth curves are continuous and differentiable*

Back

FTC

Front

Evaluating: ∫(from a to b) f(x)dx = F(b)-F(a) d/dx ∫(from a to x)f(t)dt = f(x) d/dx ∫(from a to x²)f(t)dt = f(x²)*2

Back

Rules for Derivatives

Front

Product: (uv)' = vu'+uv' 2nd times derivative of the 1st plus the 1st times the derivative of the 2nd Quotient: (u/v)'=(vu'-uv')/v² Bottom times the derivative of the top minus the derivative of the bottom over the bottom squared Chain: f'(g(x))=f'(g(x))-g'(x) Derivative of f(x) in terms of g(x) and multiply by g'(x) Exponential: d/dxe∧u=e∧u(du/dx) ex: y=e∧(-x³) y'=e∧(-x³) × (-3x²) Logarithm: d/dx a∧x = a∧u × lna × du/dx ex: y=3∧x+7 y'= (3∧x+7)(ln3)(1)

Back

Logarithmic properties

Front

Addition = multiply in the insides of both ln in one ln Subtraction = divide the insides of both ln in one ln Constant = becomes exponent of the inside of its respective ln

Back

Inverse Trig Derivatives

Front

Back

Trig (sine) chart

Front

Back

L'Hopital's Rule

Front

If f(a)=g(a)=0 and f and g are differentiable and g'(x) ≠ 0 then:

Back

Optimization

Front

Things to Remember: 1. If the model has more than 1 variable, you need another equation you can substitute into your model 2. Find all possible critical points 3. Check critical points and endpoints to find min/max value 4. Be sure to answer the question asked, check to see if reasonable

Back

Integrals as Net Change

Front

∫(from a to b) v(t)dt = Displacement, give the net change in position from time a to time b ∫(from a to b) |v(t)|dt = Gives the total distance traveled from time a to time b ∫ v(t)dt = Gives an expression for position, x(t) at any time t

Back

Separable Differential Equations

Front

1. Separate 2. Remove the differentials by integrating with respect to the given variable 3. Find a value for C when required 4. Solve for C No point provided = make sure you have +C

Back

Solids of Revolution

Front

V=∫(from a to b) A(x)dx A(x)=πr² 1. Sketch the region 2. Determine a function for r (r=radius) 3. Find the limits of integration 4. Integrate πr² to find volume

Back

Euler's Method

Front

These problems tell you exactly what to do. You need to make a chart and the columns should be titled: (x,y), dy/dx, change in x, change in y

Back

Function Behavior

Front

Critical Point: point where something changes on the graph Stationary Point: point where graph has a horizontal tangent Relative Extrema: High/low spots in general area Relative min: f'(x) changes from negative to positive Relative max: f'(x) changes from positive to negative Absolute Extrema: Highest/lowest point on the curve Concavity: opening of graphs that curve Concave Up: f"(x) is positive, f'(x) is increasing Concave Down: f"(x) is negative, f'(x) is decreasing Inflection point: occurs at points where the concavity of the graph changes, f"(x) = 0 or DNE

Back

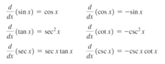
Trig Derivatives

Front

Back

Exponential Growth

Front

"The rate of change of some quantity is directly proportional to y" dy/dt=ky Quantity = y Rate of change = dy/dx Initial = C y=Ce∧kt

Back