Algebra 1 - Chapter 5 review

Algebra 1 - Chapter 5 review

memorize.aimemorize.ai (lvl 286)
Section 1

Preview this deck

The m in the y=mx+b is the

Front

Star 0%
Star 0%
Star 0%
Star 0%
Star 0%

0.0

0 reviews

5
0
4
0
3
0
2
0
1
0

Active users

0

All-time users

0

Favorites

0

Last updated

6 years ago

Date created

Mar 1, 2020

Cards (36)

Section 1

(36 cards)

The m in the y=mx+b is the

Front

slope of the line

Back

Example of negative slope

Front

Back

positive

Front

The slope of the line is: A. positive B. negative

Back

Example of zero slope

Front

Back

13/7

Front

(-2, -3) and (5, 10)

Back

The slope is zero.

Front

The slope of this line is: A. 0 B. undefined

Back

1/3

Front

(1, 6) and (-2, 5)

Back

negative

Front

The slope of this line is: A. positive B. negative

Back

rise

Front

is the difference in the y values of two points on a line

Back

vertical line

Front

This is a _________________ line. A. horizontal B. vertical

Back

5/3

Front

(5, 9) and (2, 4)

Back

2

Front

(-2, 3) and (-4, -1)

Back

X - intercept in 3x + 4y = 24

Front

8

Back

Write an equation of the line passing through the given point and perpendicular to the given equation. (8, 3) -4x+3y=-6

Front

y=(-3/4)x+9

Back

-1/3

Front

(-7, 2) and (-4, 1)

Back

Point slope form is...

Front

y-y1=m(x-x1)

Back

Standard form of a line is...

Front

Ax+By=C

Back

undefined

Front

The slope of a vertical line is _________________.

Back

Slope-intercept form for equation of a line.

Front

y=mx+b

Back

horizontal line

Front

This is a __________________ line. A. horizontal B. Vertical

Back

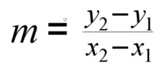
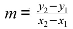
Slope formula

Front

Back

Perpendicular lines must have...

Front

Opposite slopes: opposite sign, and reciprocal

Back

4/3

Front

(0, 0) and (3, 4)

Back

The b in y=mx+b is the

Front

y-intercept (where the line crosses the y-axis)

Back

slope formula

Front

The formula used to find slope of a line when two points are given.

Back

Y - intercept in 3x + 4y = 24

Front

6

Back

the slope of a line PERPENDICULAR to a line through (4,2) and (-5,-1)

Front

-3

Back

4/9

Front

(1, 1) and (10, 5)

Back

Write an equation of the line through the two points. (3, 7) & (2, 12)

Front

y=-5x+22

Back

the slope of a line PARALLEL to a line through (4,2) and (-5,-1)

Front

1/3

Back

undefined

Front

The slope of this line is: A. 0 B. undefined

Back

the slope of the line through the points (3,5) and (-2,4)

Front

1/5

Back

Parallel lines must have...

Front

same slope

Back

Example of positive slope

Front

Back

run

Front

is the difference in the x values of two points on a line

Back

Example of undefined slope

Front

Back