Section 1

Preview this deck

How do you find the maximum height of an object?

Front

Star 0%
Star 0%
Star 0%
Star 0%
Star 0%

0.0

0 reviews

5
0
4
0
3
0
2
0
1
0

Active users

0

All-time users

0

Favorites

0

Last updated

6 years ago

Date created

Mar 1, 2020

Cards (90)

Section 1

(62 cards)

How do you find the maximum height of an object?

Front

Set the velocity function to zero, solve for the time, then plug it into the position function.

Back

How do you find the zeros of f(x)?

Front

Set the function equal to zero. Factor or use the quadratic formula if quadratic. Graph to find the zeros on calculator.

Back

How do you find the velocity of an object when it hits the ground?

Front

Set the position function to zero, solve for the time, then plug it into the velocity function.

Back

How do you know that f(x) is even?

Front

Show that f(-x) = f(x). This shows that the graph of f is symmetric to the y-axis.

Back

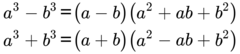
How do you factor a sum or difference of cubes?

Front

Back

What is the justification for where a function is increasing?

Front

This is where f'(x) > 0

Back

How do you find the limit of f(x) as x approaches + or - infinity?

Front

Back

How do you justify intervals where the velocity of an object is positive?

Front

It is where the position ( s(t) ) is increasing, or where s'(t) is positive.

Back

What is the justification for relative max/min using the second derivative test?

Front

Back

How do you justify intervals where the acceleration of an object is negative?

Front

It is where the velocity ( v(t) ) is decreasing, or where v'(t) is negative.

Back

What is the justification for a point of inflection?

Front

Back

What is the derivative of csc(u)?

Front

Back

How do you tell if the speed of a particle is decreasing at a particular time?

Front

You show that the velocity and acceleration have different signs at that time.

Back

What is the justification for when a particle is moving right?

Front

This is when v(t) > 0

Back

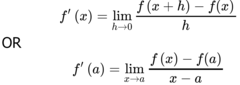
What are the two definitions of the derivative?

Front

Back

What is the derivative of tan(u)?

Front

Back

What is the derivative of sec(u)?

Front

Back

How do you justify intervals where the velocity of an object is negative?

Front

It is where the position ( s(t) ) is decreasing, or where s'(t) is negative.

Back

What is the derivative of sin(u)?

Front

Back

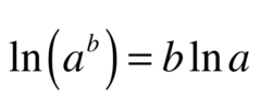
ln(a^b)

Front

Back

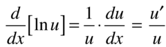
What is the derivative of ln(u)?

Front

Back

What is the justification for where a function is concave up?

Front

This is where f"(x) > 0

Back

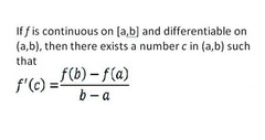
What is the Mean Value Theorem (MVT)?

Front

Back

How do you find the instantaneous rate of change of the function f at x = a?

Front

Find the slope of the tangent line to the function f at x = a. Or, find the derivative of the function at a. Or, find f' (a)

Back

How do you justify intervals where the acceleration of an object is positive?

Front

It is where the velocity ( v(t) ) is increasing, or where v'(t) is positive.

Back

What is the justification for where a function is decreasing?

Front

This is where f'(x) < 0

Back

What is the justification for when a particle is moving left?

Front

This is when v(t) < 0

Back

How do you find the vertical asymptotes of f(x)?

Front

Express f(x) as a fraction, express numerator and denominator in factored form, and do any cancellations. Set denominator equal to 0.

Back

What is Roll's Theorem?

Front

Back

What is the derivative of e^u?

Front

Back

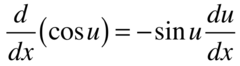
What is the derivative of cos(u)?

Front

Back

What is the justification for when a particle is speeding up?

Front

This is when v(t) and a(t) have the same sign.

Back

What is the derivative of cot(u)?

Front

Back

How do you find horizontal asymptotes of f(x) algebraically?

Front

Find the limit if f(x) as x approaches + and - infinity.

Back

What is the Intermediate Value Theorem (IVT)?

Front

Back

How do you show that f(x) is odd?

Front

Show that f(-x) = -f(x). This shows that the graph of f is symmetric to the origin.

Back

ln(a x b)

Front

ln(a) + ln(b)

Back

What is the integral of 1/u?

Front

Back

ln(a/b) =

Front

ln(a)-ln(b)

Back

How do you find the average rate of change of the function f on [a,b]?

Front

Back

How do you find the domain of f(x)?

Front

Assume domain is (−∞,∞). Restrict domains: denominators ≠ 0, square roots of only non-negative numbers, logarithm or natural log of only positive numbers.

Back

How do you find the equation of line normal to a graph at x = c?

Front

Find the slope of the tangent line to the graph at x = c, then use the opposite reciprocal slope to write an equation.

Back

How do you show that f(x) is continuous at x = c?

Front

Back

How do you find vertical asymptotes of f(x) algebraically?

Front

Find where the function is undefined. This is usually where the denominator of f(x) = 0.

Back

What is the justification for a critical number?

Front

This is where f'(x) = 0, or f'(x) is undefined.

Back

What is the justification for relative max/min using the first derivative test?

Front

Back

What is the justification for where a function is concave down?

Front

This is where f"(x) < 0

Back

How do you tell if the speed of a particle is increasing at a particular time?

Front

You show that the velocity and acceleration have the same sign at that time.

Back

What is the justification for when a particle is slowing down?

Front

This is when v(t) and a(t) have different signs.

Back

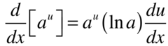
What is the derivative of a^u?

Front

Back

Section 2

(28 cards)

What is the limit as x approaches zero of (1 - cos x)/x?

Front

0

Back

What is the area between two curves f(x) and g(x)?

Front

when f(x) is top curve and g(x) is bottom curve

Back

e =

Front

e = 2.7, approximately

Back

What is the integral of a constant?

Front

Back

ln 1 =

Front

0

Back

What is the integral of cos x?

Front

Back

What is the integral of sec^2 x?

Front

Back

How do you justify if left Riemann sums are over or under approximations?

Front

When a function is strictly increasing, LRSs are under approximations. When a function is strictly decreasing, LRSs are over approximations.

Back

What is the limit as x approaches zero of (sin x)/x?

Front

1

Back

How do you calculate the volume of a region rotated about a horizontal line using discs?

Front

Back

What is the integral of sin x?

Front

Back

What is the graph of cos(x)?

Front

Back

How do you justify if right Riemann sums are over or under approximations?

Front

When a function is strictly increasing, RRSs are over approximations. When a function is strictly decreasing, RRSs are under approximations.

Back

What is the integral of csc^2 x?

Front

Back

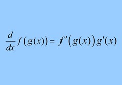
What is the derivative of f(g(x))?

Front

Back

What is the integral of cscxcotx?

Front

Back

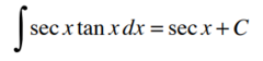
What is the integral of secxtanx?

Front

Back

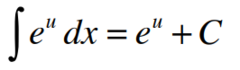
What is the integral of e^u?

Front

Back

What is the graph of sin(x)?

Front

Back

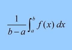
What is the average value of a function f(x) over the interval [a, b]?

Front

Back

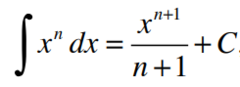
What is the power rule for integrals?

Front

Back