Section 1

Preview this deck

Horizontal Asymptote

Front

Star 0%
Star 0%
Star 0%
Star 0%
Star 0%

0.0

0 reviews

5
0
4
0
3
0
2
0
1
0

Active users

0

All-time users

0

Favorites

0

Last updated

6 years ago

Date created

Mar 1, 2020

Cards (64)

Section 1

(50 cards)

Horizontal Asymptote

Front

Back

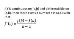
Mean Value Theorem

Front

The instantaneous rate of change will equal the mean rate of change somewhere in the interval. Or, the tangent line will be parallel to the secant line.

Back

Critical Number

Front

If f'(c)=0 or does not exist, and c is in the domain of f, then c is a critical number. (Derivative is 0 or undefined)

Back

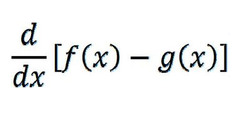
f'(x)-g'(x)

Front

Back

0

Front

Back

sec²(x)

Front

Back

ln(cscx+cotx)+C = -ln(cscx-cotx)+C

Front

Back

Mean Value Theorem for integrals or the average value of a functions

Front

Back

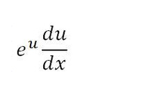
Derivative of eⁿ

Front

Back

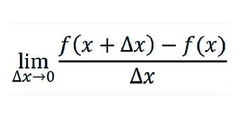
Global Definition of a Derivative

Front

Back

ln(sinx)+C = -ln(cscx)+C

Front

Back

x+c

Front

Back

1

Front

Back

Intermediate Value Theorem

Front

If f is continuous on [a,b] and k is a number between f(a) and f(b), then there exists at least one number c such that f(c)=k

Back

cos(x)

Front

Back

tan(x)+C

Front

Back

-csc²(x)

Front

Back

f is continuous at x=c if...

Front

Back

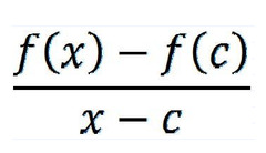
Alternative Definition of a Derivative

Front

f '(x) is the limit of the following difference quotient as x approaches c

Back

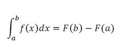
Fundamental Theorem of Calculus #1

Front

The definite integral of a rate of change is the total change in the original function.

Back

sec(x)tan(x)

Front

Back

If f and g are inverses of each other, g'(x)

Front

Back

The position function OR s(t)

Front

Back

f'(g(x))g'(x)

Front

Back

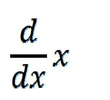
dy/dx

Front

Back

Rolle's Theorem

Front

Let f be continuous on [a,b] and differentiable on (a,b) and if f(a)=f(b) then there is at least one number c on (a,b) such that f'(c)=0 (If the slope of the secant is 0, the derivative must = 0 somewhere in the interval).

Back

-cos(x)+C

Front

Back

1

Front

Back

f'(x)+g'(x)

Front

Back

First Derivative Test for local extrema

Front

Back

-cot(x)+C

Front

Back

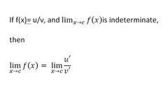
L'Hopital's Rule

Front

Back

Exponential growth (use N= )

Front

Back

Combo Test for local extrema

Front

If f'(c) = 0 and f"(c)<0, there is a local max on f at x=c. If f'(c) = 0 and f"(c)>0, there is a local min on f at x=c.

Back

ln(a)*aⁿ+C

Front

Back

uvw'+uv'w+u'vw

Front

Back

ln(secx+tanx)+C = -ln(secx-tanx)+C

Front

Back

Derivative of ln(u)

Front

Back

cf'(x)

Front

Back

sin(x)+C

Front

Back

Extreme Value Theorem

Front

If f is continuous on [a,b] then f has an absolute maximum and an absolute minimum on [a,b]. The global extrema occur at critical points in the interval or at endpoints of the interval.

Back

-sin(x)

Front

Back

Squeeze Theorem

Front

Back

nx^(n-1)

Front

Back

-csc(x)+C

Front

Back

sec(x)+C

Front

Back

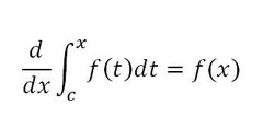
Fundamental Theorem of Calculus #2

Front

Back

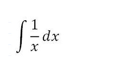
ln(x)+C

Front

Back

-ln(cosx)+C = ln(secx)+C

Front

hint: tanu = sinu/cosu

Back

Point of inflection at x=k

Front

Back

Section 2

(14 cards)

Exponential function

Front

D: (-∞,+∞) R: (0,+∞)

Back

Squaring function

Front

D: (-∞,+∞) R: (o,+∞)

Back

Given f'(x): Is f continuous @ c? Is there an inflection point on f @ C?

Front

This is a graph of f'(x). Since f'(C) exists, differentiability implies continuouity, so Yes. Yes f' decreases on X<C so f''<0 f' increases on X>C so f''>0 A point of inflection happens on a sign change at f''

Back

Square root function

Front

D: (0,+∞) R: (0,+∞)

Back

Logistic function

Front

D: (-∞,+∞) R: (0, 1)

Back

Cosine function

Front

D: (-∞,+∞) R: [-1,1]

Back

Greatest integer function

Front

D: (-∞,+∞) R: (-∞,+∞)

Back

Absolute value function

Front

D: (-∞,+∞) R: [0,+∞)

Back

Sine function

Front

D: (-∞,+∞) R: [-1,1]

Back

Natural log function

Front

D: (0,+∞) R: (-∞,+∞)

Back

Cubing function

Front

D: (-∞,+∞) R: (-∞,+∞)

Back

Reciprocal function

Front

D: (-∞,+∞) x can't be zero R: (-∞,+∞) y can't be zero

Back

Identity function

Front

D: (-∞,+∞) R: (-∞,+∞)

Back

Given f(x): Is f continuous @ C Is f' continuous @ C

Front

Yes lim+=lim-=f(c) No, f'(c) doesn't exist because of cusp

Back