Section 1

Preview this deck

log(A / B)

Front

Star 0%
Star 0%
Star 0%
Star 0%
Star 0%

0.0

0 reviews

5
0
4
0
3
0
2
0
1
0

Active users

1

All-time users

2

Favorites

0

Last updated

6 years ago

Date created

Mar 1, 2020

Cards (233)

Section 1

(50 cards)

log(A / B)

Front

Back

log(AB)

Front

Back

First derivative test for a local max of f at x = a

Front

Back

tan⁻¹(-1)

Front

Back

Simplify the expression into one log: 2 ln(x) + ln(x+1) - ln(x-1)

Front

Back

For what value of x is there a hole, and for what value of x is there a vertical asymptote? f(x) = ((x - a)(x - b))/ ((x - a)(x - c))

Front

Back

Rolle's Theorem

Front

Back

d/dx ( sin⁻¹ ( x ) )

Front

Back

ƒ''(x) > 0 or ƒ'(x) is increasing

Front

Back

Test for max and mins of f on [a, b]

Front

Back

sin(π/4)

Front

Back

lim x→₀ sin(x)/x

Front

Back

lim x→∞ (ax^n+...)/(bx^m+...)

Front

Back

Intermediate Value Theorem (IVT)

Front

Back

Inflection Points

Front

Back

Average rate of change of ƒ(x) over [a, b]

Front

Back

Instantaneous rate of change of ƒ(a)

Front

Back

Three types of discontinuities.

Front

Back

lim x→∞ tan⁻¹(x)

Front

Back

Three conditions where ƒ(x) is not differentiable

Front

Back

ƒ'(x) > 0

Front

Back

sin⁻¹(-1)

Front

Back

Second derivative test for a local max of f at x = a

Front

Back

First derivative test for a local min of f at x = a

Front

Back

e^(ln(x))

Front

Back

1+cot²(θ)

Front

Back

log(A ^ x)

Front

Back

ƒ(x) is continuous at x = a if...

Front

Back

d/dx ( tan⁻¹ ( x ) )

Front

Back

Mean Value Theorem (MVT)

Front

Back

Definition of the Derivative (Using the limit as h→0)

Front

Back

cos(-θ)

Front

Back

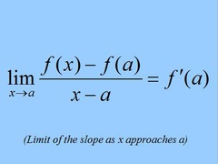
Alternate Definition of the Derivative (Using the limit as x→a)

Front

Back

ln(x) / ln(a)

Front

Back

SOH CAH TOA

Front

Back

ƒ(x) is differentiable at x = a if...

Front

Back

cos(2θ)

Front

Back

sin(-θ)

Front

Back

Squeeze Theorem

Front

Back

Extreme Value Theorem

Front

Back

ƒ''(x) < 0 or ƒ'(x) is decreasing

Front

Back

1+tan²(θ)

Front

Back

To evaluate a limit of the type: lim x→∞ x^2 sin(1/x) use:

Front

Back

Double Angle Formula for sin²(θ)

Front

Back

sin(0)=

Front

Back

ƒ'(x) < 0

Front

Back

Critical Points

Front

Back

Second derivative test for a local min of f at x = a

Front

Back

Double Angle Formula for cos²(θ)

Front

Back

sin(2θ)

Front

Back

Section 2

(50 cards)

Derivative of the Inverse of ƒ(x)

Front

Back

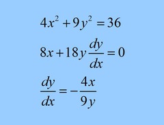
Implicit Differentiation Find dy/dx: x²/9+y²/4=1

Front

Back

Equation of a line in point-slope form

Front

Back

Graph of y = ln x

Front

Back

Velocity of a point moving along a line with position at time t given by d(t)

Front

Back

To find the limits of indeterminate forms: 0 ^ 0, 1 ^ ∞, ∞ ^ 0

Front

Back

Average acceleration given v over [a, b]

Front

Back

d/dx ( csc x )

Front

Back

Graph of y = sin x

Front

Back

Average speed of s over [a, b]

Front

Back

Graph of y = √(1 - x²)

Front

Back

Graph of y = 1/x

Front

Back

d/dx ( a ^ x )

Front

Back

d/dx (ƒ(x)³)

Front

Back

How to tell if a point moving along the x-axis with velocity v(t) is speeding up or slowing down at some time t?

Front

Back

Speed of a point moving along a line

Front

Back

d/dx ( ln x )

Front

Back

The total change in ƒ(x) over [a, b] in terms of the rate of change, ƒ'(x)

Front

Back

d/dx (e ^ ƒ(x) )

Front

Back

Graph of x²/a² + y²/b² = 1

Front

Back

d/dx ( cos x )

Front

Back

A normal line to a curve is...

Front

Back

d/dx ( sin x )

Front

Back

Graph of y = tan⁻¹ x

Front

Back

d/dx ( ln ƒ(x) )

Front

Back

If ƒ(x) is decreasing, then a left Riemann sum ...

Front

Back

Graph of y = e ^ (kx)

Front

Back

Graph of y = cos x

Front

Back

Equation of the tangent line to y = ƒ(x) at x = a

Front

Back

Acceleration of a point moving along a line with position at time t given by d(t)

Front

Back

If ƒ(x) is increasing, then a right Riemann sum ...

Front

Back

Graph of y = tan x

Front

Back

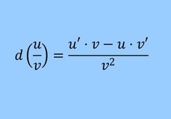
Quotient Rule

Front

Back

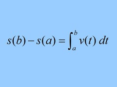
Position at time t = b of a particle moving along a line given velocity v(t) and position s(t) at time t = a

Front

Back

d/dx ( log (base a) x )

Front

Back

If ƒ(x) is increasing, then a left Riemann sum ...

Front

Back

An object in motion reverses direction when...

Front

Back

To find the limits of indeterminate forms: ∞ × 0

Front

Back

An object in motion is at rest when...

Front

Back

L'Hopital's Rule

Front

Back

d/dx ( cos⁻¹ ( x ) )

Front

Back

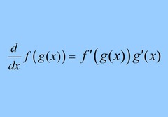
Chain Rule

Front

Back

Average velocity of s over [a, b]

Front

Back

Total distance traveled by a particle moving along a line with velocity v(t) for a ≤ t ≤ b

Front

...

Back

Product Rule

Front

Back

d/dx ( tan x )

Front

Back

d/dx ( e ^ x )

Front

Back

d/dx ( cot x )

Front

Back

d/dx ( sec x )

Front

Back

Displacement of a particle moving along a line with velocity v(t) for a ≤ t ≤ b.

Front

Back

Section 3

(50 cards)

The Fundamental Theorem of Calculus (Part I)

Front

Back

Volume of a sphere

Front

Back

If ƒ(x) is decreasing, then a right Riemann sum ...

Front

Back

∫ 1/x dx =

Front

Back

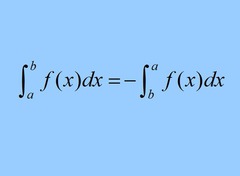
Swapping the bounds of an integral

Front

Back

Volume of a pyramid

Front

Back

lim n→∞ (1 + 1/n) ^ n

Front

Back

∫ -1 / √(1 - x² ) dx =

Front

Back

To find the area between 2 curves using horizontal rectangles (dy)

Front

Back

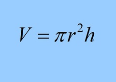
Volume of a cylinder

Front

Back

Steps to solve a differential equation

Front

Back

If F(x) = ∫ (from h(x) to g(x)) ƒ(t) dt then F'(x) =

Front

Back

Exponential Growth Solution of dy/dt = kP P(0) = P₀

Front

Back

To find the area between 2 curves using vertical rectangles (dx)

Front

Back

Volume of solid if cross sections perpendicular to the x-axis are isosceles right triangles

Front

Back

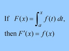
If F(x) = ∫ (from a to g(x)) ƒ(t) dt then F'(x) =

Front

Back

Volume of solid if cross sections perpendicular to the x-axis are equilateral triangles

Front

Back

∫ sec² x dx =

Front

Back

The Fundamental Theorem of Calculus (Part II)

Front

Back

Volume of a washer; rotated about a horizontal line

Front

Back

If ƒ(x) is concave down then the linear approximation...

Front

Back

Area of a trapezoid

Front

Back

∫ a ^ x dx =

Front

Back

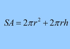
Surface Area of a cylinder

Front

Back

Volume of a prism

Front

Back

∫ cos x dx =

Front

Back

∫ 1 / √(1 - x² ) dx =

Front

Back

Area of an Equilateral Triangle

Front

Back

Volume of a disc; rotated about a horizontal line

Front

Back

Volume of solid if cross sections perpendicular to the x-axis are squares

Front

Back

∫ tan x dx =

Front

Back

If ƒ(x) is concave up, then the trapezoidal approximation of the integral...

Front

Back

Volume of a washer; rotated about a vertical line

Front

Back

If ƒ(x) is concave down, then the trapezoidal approximation of the integral...

Front

Back

Volume of solid if cross sections perpendicular to the x-axis are semicircles

Front

Back

Surface Area of a sphere

Front

Back

If F(x) = ∫ (from x to a) ƒ(t) dt then F'(x) =

Front

Back

Volume of a disc; rotated about a vertical line

Front

Back

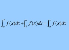
Adding adjacent integrals

Front

Back

If ƒ(x) is concave up then the linear approximation...

Front

Back

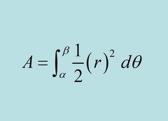
Area of a Sector (in radians)

Front

Back

∫ sin x dx =

Front

Back

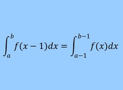
Integral equation for a horizontal shift of 1 unit to the right.

Front

Back

∫ x ^ n dx =

Front

Back

If ƒ(x) is concave down, then a midpoint Riemann sum...

Front

Back

∫ 1 / (x² + 1) dx =

Front

Back

If ƒ(x) is concave up, then a midpoint Riemann sum...

Front

Back

Volume of a cone

Front

Back

∫ e ^ x dx =

Front

Back

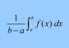
The average value of f from x = a to x = b (Mean Value Theorem for Integrals)

Front

Back

Section 4

(50 cards)

∫ lnx dx = ?

Front

Back

Horizontal Tangent of a parametric curve

Front

Back

WORK formula

Front

Back

Magnitude of a vector in terms of the x and y components

Front

Back

dy/dθ < 0

Front

Back

Differential equation for exponential growth dP/dt = ?

Front

Back

Solution of a differential equation for exponential growth

Front

Back

Second Derivative of a parametric curve

Front

Back

Arc Length of a graph defined parametrically with a ≤ t ≤ b x = x(t) and y = y(t)

Front

Back

Convert from polar (r,θ) to rectangular (x,y)

Front

Back

Double Angle Formula for sin²θ

Front

Back

Improper Integral: ∫ f(x) dx bounds: [0,∞]

Front

Back

dr/dθ > 0

Front

Back

Speed of a particle moving in the plane x = x(t) and y = y(t)

Front

Back

Solution of a differential equation for decay

Front

Back

Graphs of: r = sin(k θ) r = cos(k θ) (k is a constant)

Front

Back

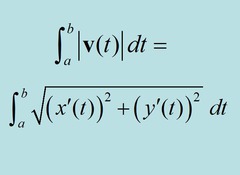
Distance traveled (Arc Length) by a particle moving in the plane with a ≤ t ≤ b x = x(t) and y = y(t)

Front

Back

Graph of: r = 1 + 2 cos(θ)

Front

Back

Horizontal Asymptotes of a parametric curve

Front

Back

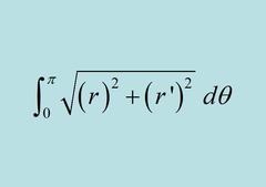
Arc length of a polar graph r 0 ≤ θ ≤ π

Front

Back

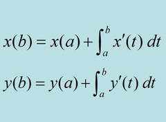
Position at time t = b of a particle moving in the plane given x(a), y(a), x′(t), and y′(t).

Front

Back

dx/dθ < 0

Front

Back

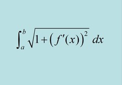
Arc length of a function f(x) from x = a to x = b

Front

Back

Graph of: r = 1 + cos(θ)

Front

Back

Double Angle Formula for cos²θ

Front

Back

dy/dθ > 0

Front

Back

Slope of polar graph r (θ)

Front

Back

Vertical Tangent of a parametric curve

Front

Back

Graph of r = θ

Front

Back

Improper Integral: ∫ 1/x² dx bounds: [0,1]

Front

Back

Velocity vector of a particle moving in the plane x = x(t) and y = y(t)

Front

Back

Graph of θ = c (c is a constant)

Front

Back

Differential equation for decay dP/dt = ?

Front

Back

Curve of: x = cos t y = sin t 0 ≤ t ≤ 2π

Front

Back

Vertical Asymptotes of a parametric curve

Front

Figure out what values of t make y(t) go to positive and negative infinity and then compute x(t) for those values.

Back

Double Angle Formula for sin²θ

Front

Back

Slope of a parametric curve x = x(t) and y = y(t)

Front

Back

Graphs of: r = c r = c sin(θ) r = c cos(θ) (c is a constant)

Front

Back

dx/dθ > 0

Front

Back

lim n→∞ (1 + 1/n)^n = ?

Front

Back

Convert from rectangular (x,y) to polar (r,θ)

Front

Back

Direction angle (θ) of a vector in terms of the x and y components

Front

Back

Double Angle Formula for cos²θ

Front

Back

Curve of: x = a cos t y = b sin t 0 ≤ t ≤ 2π

Front

Back

Area enclosed by r = f(θ), α ≤ θ ≤ β

Front

Back

Acceleration vector of a particle moving in the plane x = x(t) and y = y(t)

Front

Back

dr/dθ < 0

Front

Back

Integration by Parts Formula

Front

Back

Horizontal Tangent of a Polar Graph

Front

Back

Vertical Tangent of a Polar Graph

Front

Back

Section 5

(33 cards)

Graph of a Logistic Function (include inflection pt.)

Front

Back

Geometric Series (def. and conv. property)

Front

Back

Euler's Method for solving y' = F (x,y) with initial point (x₀ , y₀)

Front

Back

Limit Comparison Test

Front

Back

Error for the partial sum, Sn, of an infinite series S

Front

Back

Ratio Test

Front

Back

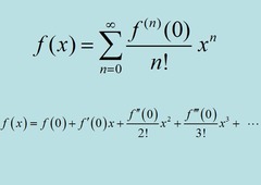
Taylor Series for f(x) about x = 0 (Maclaurin Series)

Front

Back

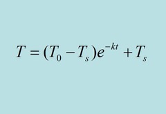
Solution of a differential equation for restricted growth (Newton's Law of Cooling)

Front

Back

Harmonic Series (def. and conv. property)

Front

Back

Half Life

Front

Back

Power Series for f(x) = 1 / (1 - x) (include IOC)

Front

Back

Geometric sequence (def. and conv. property)

Front

Back

Error bound of an alternating series

Front

Back

Integral Test

Front

Back

p-series (def. and conv. property)

Front

Back

Radius of Convergence

Front

Back

Solution of a logistic differential equation

Front

Back

Power Series for f(x) = ln (1 + x) (include IOC)

Front

Back

Power Series for f(x) = tan⁻¹ x (include IOC)

Front

Back

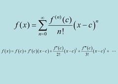
Taylor Series for f(x) about x = c

Front

Back

Maclaurin Series for f (x) = sin x (include IOC)

Front

Back

Maclaurin Series for f (x) = cos x (include IOC)

Front

Back

∑ i from i = 1 to n

Front

Back

Maclaurin Series for f (x) = e∧x (include IOC)

Front

Back

Alternating Series Test

Front

Back

Logistic differential equation dP/dt = ?

Front

Back

Direct Comparison Test

Front

Back

Differential equation for restricted growth (Newton's Law of Cooling) dT/dt = ?

Front

Back

If lim n→∞ a(sub n) = 0, then ∑ a(sub n) for n from 1 to ∞ ...

Front

Back

Divergence Test

Front

Back

Lagrange error bound

Front

Back

n-th Root Test

Front

Back

Interval of Convergence (IOC)

Front

Back