Section 1

Preview this deck

Pascal's Principle

Front

Star 0%
Star 0%
Star 0%
Star 0%
Star 0%

0.0

0 reviews

5
0
4
0
3
0
2
0
1
0

Active users

0

All-time users

0

Favorites

0

Last updated

6 years ago

Date created

Mar 1, 2020

Cards (106)

Section 1

(53 cards)

Pascal's Principle

Front

pressure applied to a fluid is transmitted unchanged throughout the fluid, and walls of container pressure = force/area

Back

Centripetal Force Equation

Front

F = mv^2/r = 4π^2r/T^2

Back

Ohm's Law

Front

V = IR

Back

3 common ways to transfer electrical charge

Front

Conduction, induction, friction

Back

Insulators

Front

materials that prevent electric charges from flowing through them easily, electrons held tightly by atoms, glass, pure water, wood, plastic

Back

Ampere's Law

Front

Magnetic field created by an electric current is proportional to the size of that current with a constant of proportionality equal to the permeability of free space

Back

Ammeter

Front

A device used to measure current in a circuit, used in series

Back

Hooke's Law

Front

F = -kx

Back

Capacitance

Front

C = Q/V. Depends on area of plates, distance between them, and medium (dialectric)

Back

Kepler's Third Law

Front

Square of the period of the planet is proportional to the cube of the semi major axis of orbit T^2 ~ r^3 only variable not constant is mass

Back

Conductors

Front

materials that allow electric charges to flow through them easily, electrons flow freely, metals

Back

electric potential

Front

the difference in electrical charge between two points in a circuit expressed in volts

Back

Elastic

Front

KE conserved & p conserved

Back

Bernoulli's Equation

Front

If no external energy input, increased v means decrease in fluid pressure, or increased pressure means decreased v, explains lift force on aircraft wings

Back

Potentiometer

Front

A type of variable resistor that can be adjusted to control voltage or current in a circuit

Back

Induction

Front

Charge transfer due to magnetic field

Back

Electric Motor

Front

Reverse of generator - use ac current that causes coil to rotate creating torque

Back

Electromotive force

Front

A force that maintains a potential difference between 2 locations in a circuit, battery, solar cell, generator

Back

Charge transfer due to friction

Front

Electrons transferred from one material to the other leaving them with equal and opposite charges

Back

Inelastic

Front

KE not conserved, real life, heat, deformation, p conserved, perfectly inelastic bodies combine to form one

Back

Parallel Circuits

Front

1 bulb out rest stay lit

Back

Impulse Equation

Front

I = Ft or change in momentum

Back

Centripetal Velocity Equation

Front

v = 2πr/T

Back

Momentum Equation

Front

p = mv

Back

Conduction

Front

The direct transfer of heat from one substance to another substance that it is touching.

Back

Pitch

Front

How high or low a sound is, high pitch equals high frequency

Back

Lenz's Law

Front

The induced current must be in a direction that opposes the change that produced it.

Back

Ideal Fluids

Front

Steady flow ( same v), consistent density, nonviscous ( flow easily without resistance), no rotation

Back

Voltmeter

Front

A device used to measure voltage, or electrical potential energy difference, used in parallel

Back

Galvanometer

Front

A device that uses a solenoid to measure small amounts of current

Back

Gauss's Law

Front

Electric flux is directly related to the charge enclosed by the surface q/Eo = E*A (flux); where E is electric field, Eo is permitivity constant, and A is area

Back

Kepler's Second Law

Front

A line joining a planet and the sun sweeps out equal areas in equal intervals of time, planet moves slower when its farthest from the sun

Back

Kirchhoff's Current Law

Front

The total current in a parallel circuit equals the sum of the individual branch currents I = I1 + I2 + I3, voltage constant across all loops

Back

Equation of Continuity

Front

Flow is faster when tube gets narrower

Back

Capacitor

Front

Stores energy in electric fields, two oppositely charged parallel plates separated by a medium (dialectric)

Back

Series Circuits

Front

1 bulb out all out

Back

Work Energy Theorem

Front

W = ∆KE

Back

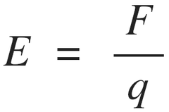
Electric Field Equation

Front

E = F/q (N/c)

Back

Kirchoff's Law

Front

Current constant over resisters in series, add voltage drops for total voltage, v = v1 + v2 + v3

Back

Biot-Savart Law

Front

dB = (µ₀ I dI x r ̂ ) / 4πr² -relates magnetic fields to the currents which are their sources, gives magnitude and direction of magnetic field of each infitesimal element of current, can be used for RC circuits

Back

Refraction of light

Front

occurs when wave of light passes from one medium to another and the light wave is bent or refracted.

Back

Kepler's First Law

Front

Planets move in elliptical orbits with the sun at one focus

Back

AC Circuits

Front

Non constant voltage usually in sinusoidal pattern

Back

Archimedes' Principle

Front

the buoyant force on an object is equal to the weight of the fluid displaced by the object (ability to float depends on density compared to fluid, if fluid has higher density object floats)

Back

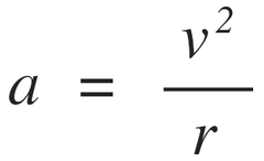
Centripetal Acceleration Equation

Front

a = v^2/r = 4π^2r/T = rw^2

Back

Parallel Circuit Resistance

Front

Total resistance smaller than smallest resistor R = 1/(1/R1 + 1/R2 + 1/R3)

Back

right hand rule

Front

Thumb points in direction of current, fingers circle wire to show magnetic field

Back

Semiconductor

Front

Partially conduct charge, silicon, germanium, conduction can be controlled by temperature

Back

Faraday's Law

Front

An electric field is induced in any region of space in which a magnetic field is changing with time. Voltage depends on number of loops in wire

Back

Transformers

Front

Allow power to be exchanged between two circuits through electromagnetic induction - magnetic field produced by rotating coils produces current in other wire

Back

Section 2

(52 cards)

Bohr Model

Front

model of an atom that shows electrons in circular orbits around the nucleus, electrons jump between levels nearly instantly- quantum leaps

Back

Isotopes

Front

Atoms with same atomic number but different atomic mass

Back

isobaric process

Front

constant pressure

Back

visible light waves

Front

380nm (violet) to 740nm (red)

Back

DeBroglie Hypothesis

Front

every particle that is moving has both a mass and a wave associated to it

Back

Spectroscopy

Front

Identifying element by color of photon absorbed or emitted

Back

convex mirror

Front

A mirror with a surface that curves outward, small image right side up

Back

Heisenberg uncertainty principle

Front

it is impossible to know exactly both the velocity and the position of a particle at the same time

Back

natural frequency

Front

the frequency at which a system naturally oscillates

Back

Entropy

Front

A measure of disorder or randomness.

Back

Radiation

Front

The direct transfer of energy by electromagnetic waves

Back

Snell's Law

Front

the ratio between the angle of incidence and the angle of refraction

Back

Convection

Front

The transfer of heat by the movement of a fluid

Back

beta decay

Front

Radioactive decay where beta particle (high energy electron or positron) emitted, up quark coverts to down or vice versa

Back

adiabatic process

Front

, temp change due to pressure or volume

Back

Latent heat

Front

heat absorbed or radiated during a change of phase at a constant temperature and pressure

Back

rutherford scattering experiment

Front

nucleus takes up a small proportion of the atom, positive alpha particles strongly repelled, rebound at high angles, led to planetary model of atom

Back

Resonance

Front

Excitation force is same as natural frequency and object receives all the energy from the force

Back

total magnification

Front

Multiply Magnification of lenses

Back

first law of thermodynamics

Front

Energy can be transferred and transformed, but it cannot be created or destroyed.

Back

specific heat equation

Front

Q = mcΔT c= specific heat, m = mass, T= temp, Q= heat input

Back

Zeroth Law of Thermodynamics

Front

if system A + B are in thermal eq. with system C, they are also in thermal eq. with each other

Back

isothermal process

Front

constant temperature, and product of pressure and volume, internal energy remains constant

Back

Lasers

Front

Work similar to phosphorescence

Back

Ideal Gas Law Equation

Front

PV=nRT P = pressure, V = volume, n = moles of gas, T = temp, R = universal gas constant

Back

Atomic spectrum dynamics

Front

Electrons have specific allowed energy levels, they gain or lose energy by absorbing or emitting photons

Back

half-life

Front

length of time required for half of the radioactive atoms (half the mass) in a sample to decay

Back

atomic mass

Front

Number of protons and neutrons

Back

photoelectric effect

Front

Emission of electrons from a metal when light shines on a metal.

Back

Rainbows

Front

tiny droplets of water in the sky act as prisms and disperse the light because the speed of light in water depends on wavelength so each refracts different and seperates

Back

elastic limit

Front

Maximum stress that a material will withstand without permanent deformation.

Back

Temperature

Front

Amount of heat a substance contains

Back

Dispersion

Front

Wave propagation in a new medium depends on wavelength- prism

Back

alpha decay

Front

radioactive decay by emission of an alpha particle (2 protons, 2 neutrons) - fission

Back

Electromagnetic spectrum

Front

Radio/tv, micro, infrared, visible, ultraviolet, X-rays, gamma (high freq)

Back

Ultrasound machines use

Front

Echolocation

Back

Atomic Number (Z)

Front

the number of protons in the nucleus of an atom

Back

radioactive decay

Front

A spontaneous process in which unstable nuclei lose energy by emitting radiation

Back

Power voltage Equation

Front

P = IV

Back

subtracting vectors

Front

Tails together, resultant from head of subtractor to head of what it's subtracted from (opp of add)

Back

Kinetic Molecular Theory of gas

Front

Pressure exerted by a gas is due to numerous collisions of molecules with one another and the container walls, faster molecules = higher pressure

Back

magnifying glass

Front

Convex lens - image right side up if between focal point and lens, upside down if beyond focal point

Back

Emissivity (e)

Front

A measure of how well something absorbs & emits electromagnetic radiation, dark surfaces high e, shiny or reflective low e

Back

Bosons

Front

Most common is photon, integer spin

Back

Heat

Front

Thermal energy, measure of KE of atoms, measured in J

Back

Solenoid

Front

A coil of wire with an electric current inside it

Back

second law of thermodynamics

Front

Natural tendency of all things toward disorder than order

Back

Electric fields flow

Front

From positive to negative

Back

Fermions

Front

Particles with a half - integer quantum spin number, leptons & quarks

Back

Third Law of Thermodynamics

Front

No system can reach absolute zero

Back

Section 3

(1 card)

sun produces energy by

Front

nuclear fusion

Back