College Readiness Math Exam Review

College Readiness Math Exam Review

memorize.aimemorize.ai (lvl 286)
Section 1

Preview this deck

If C is positive

Front

Star 0%
Star 0%
Star 0%
Star 0%
Star 0%

0.0

0 reviews

5
0
4
0
3
0
2
0
1
0

Active users

0

All-time users

0

Favorites

0

Last updated

6 years ago

Date created

Mar 1, 2020

Cards (34)

Section 1

(34 cards)

If C is positive

Front

the graph moves to the left

Back

Vertex Form

Front

y=a(x-h)^2+k

Back

parallel lines

Front

same slope; different y intercept

Back

b

Front

y intercept

Back

If B is positive

Front

the graph moves up

Back

slope

Front

rise/run

Back

If A is positive

Front

the graph opens up and vertex is a minimum

Back

Midpoint Formula

Front

(x1+x2)/2=mx; (y1+y2)/2=my

Back

If discriminant is negative you have.....

Front

0 real 2 imaginary solutions

Back

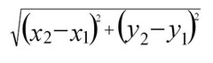
Distance Formula

Front

Back

Dependent

Front

IMS(infinitely many solutions); same line

Back

When you are multiplying exponential numbers you.....

Front

Add the exponents

Back

Discriminant formula

Front

take the square root of b^2-4AC

Back

m

Front

slope

Back

Anything raised to the zero power is.....

Front

1

Back

Standard Form

Front

y=ax^2+bx+c

Back

Direct Variation

Front

y=kx

Back

If discriminant is zero you have....

Front

1 real soulution

Back

If A is <0

Front

the graph widens

Back

Intercept Form

Front

y=a(x-r1)(x-r2)

Back

If A is Negative

Front

The graph opens down and vertex is a maximum

Back

Indirect Variation

Front

y=k/x

Back

Pythagorean Therom

Front

A^2+B^2=C^2

Back

Name the Three Types of Systems

Front

Independent, Dependent, Inconsistent

Back

Axis Of Symmetry

Front

X=-b/2a

Back

Inconsistent

Front

No solution; Parallel Lines

Back

If B is negative

Front

the graph moves down

Back

Quadratic equations form a.....

Front

Parabola

Back

Slope

Front

y=mx+b

Back

When you are dividing exponential numbers you......

Front

Subtract the exponents

Back

Independent

Front

one solution; intersection

Back

if 0<A<1

Front

the graph narrows

Back

If discriminant is positive you have.....

Front

2 real solutions

Back

If C is negative

Front

the graph moves to the right

Back