AP Physics 1 - Kinematics and Newton's Laws

AP Physics 1 - Kinematics and Newton's Laws

memorize.aimemorize.ai (lvl 286)
Section 1

Preview this deck

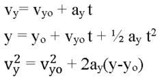
Vertical Kinematic Equations

Front

Star 0%
Star 0%
Star 0%
Star 0%
Star 0%

0.0

0 reviews

5
0
4
0
3
0
2
0
1
0

Active users

0

All-time users

0

Favorites

0

Last updated

6 years ago

Date created

Mar 1, 2020

Cards (33)

Section 1

(33 cards)

Vertical Kinematic Equations

Front

Back

Vector

Front

Physical value with both magnitude and direction

Back

Parabola

Front

The shape of a projectile's trajectory

Back

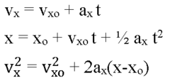
Horizontal Kinematic Equations

Front

Back

Acceleration due to Gravity on Earth

Front

On Earth, -9.8 m/s/s

Back

Mass

Front

Has units of kilograms. A scalar. Stays the same no matter what planet you are on.

Back

Horizontal Variables

Front

Back

Slope of an x-t graph

Front

This slope equals velocity

Back

Speed

Front

How fast Always positive

Back

Projectile

Front

An object that is thrown or launched

Back

Positive vs. Negative Velocity

Front

Tells you the direction of travel

Back

Trajectory

Front

The path of a projectile

Back

Area of an a-t graph

Front

This area equals change in velocity

Back

Friction

Front

A surface force that opposes motion

Back

Distance

Front

How far an object actually moves

Back

Normal Force

Front

A support force from a hard surface, always perpendicular to the surface

Back

Free Fall

Front

The only force on an object is gravity

Back

Force

Front

A push or pull

Back

Position

Front

Where an object is, in terms of a well-chosen origin.

Back

Positive Acceleration

Front

Speeding up in positive direction Slowing down in negative direction

Back

Negative of a Vector

Front

Flips the direction of a vector

Back

Resultant

Front

The answer to a vector addition problem

Back

Slope of a v-t graph

Front

This slope equals acceleration

Back

Components of a vector

Front

Horizontal and Vertical

Back

Area of a v-t graph

Front

This area equals displacement

Back

Acceleration

Front

Change in velocity per unit time

Back

Displacement

Front

An object's change in position

Back

Pythagorean Theorem

Front

Used to add together perpendicular vectors

Back

Weight

Front

The force of gravity on an object.

Back

Scalar

Front

Physical value with only magnitude and units

Back

Velocity

Front

Displacement per unit time

Back

Vertical Variables

Front

Back

Negative Acceleration

Front

Slowing down in positive direction Speeding up in negative direction

Back