Section 1

Preview this deck

Axis of Symmetry

Front

Star 0%
Star 0%
Star 0%
Star 0%
Star 0%

0.0

0 reviews

5
0
4
0
3
0
2
0
1
0

Active users

0

All-time users

0

Favorites

0

Last updated

6 years ago

Date created

Mar 14, 2020

Cards (18)

Section 1

(18 cards)

Axis of Symmetry

Front

The vertical line containing the vertex of a parabola.

Back

Minimum

Front

The lowest point on the graph of a curve.

Back

Completing the Square

Front

To add a constant term to a binomial of the form x2 + bx so that the resulting trinomial is a perfect square.

Back

Double Root

Front

The roots of a quadratic function that are the same number.

Back

Zero

Front

The x-intercepts of a graph of a function: the values of x for which f(x) = 0.

Back

Translation

Front

A transformation where a figure is slid from one position to another.

Back

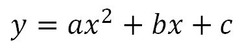
Quadratic Function

Front

An equation of the form y = ax^2 + bx + c, where a ≠ 0.

Back

Vertex

Front

The maximum or minimum point of a parabola.

Back

Transformation

Front

A movement of a geometric figure.

Back

Discriminant

Front

In the Quadratic Formula, the expression under the radical sign, b2 - 4ac .

Back

Maximum

Front

The highest point on the graph of a curve.

Back

X-intercept

Front

The x-coordinate of a point where a graph crosses the x-axis.

Back

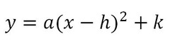
Vertex Form

Front

A quadratic function in the form f(x) = a(x - h)^2 + k

Back

Dilation

Front

A transformation that alters the size of a figure but not its shape.

Back

Parabola

Front

The graph of a quadratic function.

Back

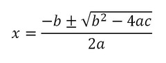
Quadratic Formula

Front

Solutions given by the formula x=(-b±√(b^2-4ac))/2a

Back

Reflection

Front

A transformation where a figure, line, or curve, is flipped across a line.

Back

Root

Front

The solutions of a quadratic equation.

Back