Section 1

Preview this deck

what mode should calc be in

Front

Star 0%
Star 0%
Star 0%
Star 0%
Star 0%

0.0

0 reviews

5
0
4
0
3
0
2
0
1
0

Active users

0

All-time users

0

Favorites

0

Last updated

6 years ago

Date created

Mar 1, 2020

Cards (48)

Section 1

(48 cards)

what mode should calc be in

Front

degrees

Back

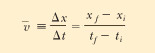
average velocity equation

Front

change in position or displacement/ change in time

Back

x =

Front

x0+ v0t + 1/2 at^2

Back

how to find angle with component method

Front

tan theta =vy / vx but make both positive!!

Back

conditions for simplified free fall equation

Front

drop object from rest assume initial position of 0 w these you can eliminate y0 and v0

Back

when air is removed, light objects fall w same acceleration as heavy ones bc

Front

at given location on earth with no air resistance, all objects fall w same constant acceleration

Back

average velocity formula

Front

or V+V0/2

Back

average acceleration formula

Front

average acceleration = change in velocity / change in time answer will always be in m / s ^2

Back

can your delta value be negative

Front

Yes if final is 10 and initial is 20, it's -10 because delta is displacement not distance traveled since distance couldn't be negative but displacement can

Back

4 vector examples

Front

velocity displacement force momentum

Back

opposite of vector

Front

scaler

Back

how to convert units on calc

Front

blue 2nd UNITS (3 key) constants arrow down

Back

example of scaler

Front

wind at 30 mi/hr force of 35 lbs

Back

how fast often means

Front

find velocity

Back

your calculator automatically converts units when you enter to

Front

m and s because it knows its physics base unit

Back

how to find angle using parallelogram method

Front

proportion sin theta / corresponding side = sin known angle / known vector length

Back

vectors have both

Front

magnitude and direction

Back

v =

Front

V0 + at

Back

speed =

Front

magnitude of velocity

Back

quantities w no direction are called

Front

scaler (ex: mass, time, temp)

Back

watch the signs of y v and a (+ or -)

Front

Back

if x0 is 0 and it is dropped 20 feet from a window what is x

Front

-20 because of downward motion

Back

difference between x and y

Front

use y for falling/dropped objects use x for car moving horizontally

Back

just as a short cut when you use the full not canceled out free fall equation, when solving for time it becomes

Front

root 2x/a

Back

average acceleration formula again

Front

change in velocity/change in time

Back

average speed equation

Front

Vs bar = distance/time

Back

length of arrow on vector is proportional to

Front

magnitude

Back

how to decide what to graph on each axis

Front

identify x and y put in y = form manipulate x if needed by something/x or 1/x but never manipulate y goal: to make linear

Back

AVERAGE SPEED

Front

DISTANCE TRAVELED/TIME

Back

we want to make curves (ambiguous) into

Front

lines even if it means changing x to x^2

Back

velocity is a vector quantity because

Front

it has speed and direction and magnitude

Back

you can plug in g = -9.80 m/s 2 for

Front

acceleration (negative acceleration bc down)

Back

if you consider entire path up and back down double

Front

total air time

Back

delta / change in anything (x t or v)

Front

final - initial

Back

v^2 =

Front

v0 ^2 + 2a (x - x0) DOESNT INCLUDE TIME VARIABLE

Back

scaler has only

Front

magnitude

Back

bar above means

Front

average

Back

example of vector

Front

wind speed of 30 mi/hr south force of 35 pounds due north

Back

when you are throwing an object, you cant use

Front

free fall equation

Back

in v = v0 + at

Front

v0 is like y int and a is like slope

Back

magnitude for component vectors =

Front

square root of vx ^2 + vy ^2

Back

how to make paper and ball hit ground at same time

Front

crumple paper into ball to eliminate air resistance

Back

4 types of velocity

Front

average, initial, final, change

Back

do you ever leave an answer like 5 pi or should you multiply out to get a decimal?

Front

always multiply out

Back

speed is denoted by Vs and is

Front

distance traveled / time (always convert speed to m/s)

Back

formula using parallelgram method v^2 =

Front

first line length ^2 + 2nd line length ^2 - 2(first length) (second length) cos angle

Back

with component addition of vx1 vx2 etc remember

Front

signs (negative for south or west)

Back

general acceleration due to gravity

Front

g = 9.80 m/ s2

Back