Section 1

Preview this deck

sides of an angle

Front

Star 0%
Star 0%
Star 0%
Star 0%
Star 0%

0.0

0 reviews

5
0
4
0
3
0
2
0
1
0

Active users

0

All-time users

0

Favorites

0

Last updated

6 years ago

Date created

Mar 1, 2020

Cards (23)

Section 1

(23 cards)

sides of an angle

Front

The two rays that form an angle.

Back

angle bisector

Front

a ray that divides an angle into two congruent angles

Back

line

Front

A straight path that goes without end in two directions.

Back

right angle

Front

an angle that measures 90 degrees

Back

segment bisector

Front

A line, ray, or segment that divides a segment into two congruent segments

Back

distance

Front

How far it is from one point to another

Back

collinear points

Front

points that lie on the same line

Back

plane

Front

A flat surface that extends forever

Back

measure of an angle

Front

the number of degrees between the two rays

Back

obtuse angle

Front

An angle that measures more than 90 degrees but less than 180 degrees

Back

point

Front

location in space

Back

linear pair

Front

adjacent angles whose non common sides from a line

Back

acute angle

Front

an angle that measures less than 90 degrees

Back

coplanar

Front

points that lie on the same plane

Back

adjacent angles

Front

Two angles that share a common side and have the same vertex

Back

congruent

Front

Figures that have the same size and shape

Back

segment

Front

part of a line determine by two endpoints

Back

vertical angles

Front

two nonadjacent angles formed by two intersecting lines; Their measures are equal

Back

complementary angles

Front

Two angles whose measures add to 90 degrees.

Back

ray, opposite rays

Front

a part of a line that starts at one endpoint and extends forever

Back

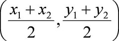
midpoint

Front

A point that divides a segment into two congruent segments

Back

supplementary angles

Front

two angles that add up to 180 degrees

Back

vertex of an angle

Front

The common endpoint of the rays of an angle

Back