AP Calculus 1st Quarter Vocabulary

AP Calculus 1st Quarter Vocabulary

memorize.aimemorize.ai (lvl 286)
Section 1

Preview this deck

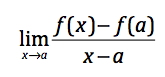
Derivative at a Point

Front

Star 0%
Star 0%
Star 0%
Star 0%
Star 0%

0.0

0 reviews

5
0
4
0
3
0
2
0
1
0

Active users

0

All-time users

0

Favorites

0

Last updated

6 years ago

Date created

Mar 1, 2020

Cards (25)

Section 1

(25 cards)

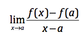
Derivative at a Point

Front

Back

Normal Line to a Curve at a Point

Front

The line perpendicular to the tangent line at a point.

Back

Secant Line to a Curve

Front

A line through two points on the curve.

Back

x-intercept

Front

The x-coordinate of a point where a graph crosses the x-axis

Back

Acceleration

Front

Rate of change of velocity

Back

Continuous Function

Front

A function whose graph is an unbroken line or curve with no gaps or breaks.

Back

Jerk

Front

The derivative of an acceleration function with respect to time

Back

Derivative of a Function

Front

Back

Removable Discontinuity

Front

A point at which a graph is not connected but can be made connected by filling in a single point.

Back

Speed

Front

The absolute value of velocity.

Back

Instantaneous Velocity

Front

The derivative of a position function with respect to time.

Back

Slope of a Curve

Front

The slope of f(x) at the point (a, f(a)) is f'(a).

Back

y-intercept

Front

The y-coordinate of a point where a graph crosses the y-axis

Back

Discontinuity

Front

A point at which the function is not continuous.

Back

Average Rate of Change

Front

The change in the value of a quantity divided by the elapsed time

Back

Jump Discontinuity

Front

f(x) has a jump discontinuity at "a" if the one sided limits exist but lim x approaches a- f(x) does not equal lim x approaches a+ f(x)

Back

Logarithmic Differentiation

Front

Process used to find dy/dx by taking the natural log of both sides of the function.

Back

Average Velocity

Front

The total displacement divided by the time interval during which the displacement occurred.

Back

Second Derivative

Front

The derivative of the first derivative. f''(x)

Back

Left-hand limit

Front

The number that a function is approaching as x approaches a particular value from the left

Back

Left-hand Derivative

Front

The derivative defined by a left-hand limit.

Back

Implicit Differentiation

Front

Involves differentiating both x and y variables and then solving for dy/dx

Back

Tangent Line

Front

The line through (a, f(a)) with slope f'(a).

Back

Position Function

Front

A function that the gives the position of an object on a coordinate axis at time t.

Back

Continuity at a point

Front

A function f is continuous at a if lim x→a f(x) = f(a)

Back