AP Calculus before final 1

AP Calculus before final 1

memorize.aimemorize.ai (lvl 286)
Section 1

Preview this deck

How do you find the limit of f(x) as x approaches + or - infinity?

Front

Star 0%
Star 0%
Star 0%
Star 0%
Star 0%

0.0

0 reviews

5
0
4
0
3
0
2
0
1
0

Active users

0

All-time users

0

Favorites

0

Last updated

6 years ago

Date created

Mar 1, 2020

Cards (33)

Section 1

(33 cards)

How do you find the limit of f(x) as x approaches + or - infinity?

Front

Back

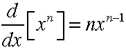
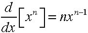
What is power rule of derivative?

Front

derivative rule used to differentiate each term in the polynomials

Back

How do you find vertical asymptotes of f(x) algebraically?

Front

Find where the function is undefined. This is usually where the denominator of f(x) = 0.

Back

How do you justify intervals where the velocity of an object is positive?

Front

It is where the position ( s(t) ) is increasing, or where s'(t) is positive.

Back

How do you tell if the speed of a particle is increasing at a particular time?

Front

You show that the velocity and acceleration have the same sign at that time.

Back

How do you show that f(x) is continuous at x = c?

Front

Back

What is the product rule of derivative

Front

the derivative of the first function times the original second function plus the original first function times the derivative of the second one.

Back

How do you find the instantaneous rate of change of the function f at x = a?

Front

Find the slope of the tangent line to the function f at x = a. Or, find the derivative of the function at a. Or, find f' (a)

Back

What is the justification for when a particle is slowing down?

Front

This is when v(t) and a(t) have different signs.

Back

How do you justify intervals where the velocity of an object is negative?

Front

It is where the position ( s(t) ) is decreasing, or where s'(t) is negative.

Back

How do you find the velocity of an object when it hits the ground?

Front

Set the position function to zero, solve for the time, then plug it into the velocity function.

Back

How do you find the equation of line normal to a graph at x = c?

Front

Find the slope of the tangent line to the graph at x = c, then use the opposite reciprocal slope to write an equation.

Back

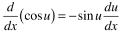
What is the derivative of cos(u)?

Front

Back

How do you tell if the speed of a particle is decreasing at a particular time?

Front

You show that the velocity and acceleration have different signs at that time.

Back

What is the derivative of sec(u)?

Front

Back

How do you find the vertical asymptotes of f(x)?

Front

Express f(x) as a fraction, express numerator and denominator in factored form, and do any cancellations. Set denominator equal to 0.

Back

What is the justification for where a function is decreasing?

Front

This is where f'(x) < 0

Back

What is the Intermediate Value Theorem (IVT)?

Front

Back

What is the derivative of csc(u)?

Front

Back

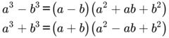
How do you factor a sum or difference of cubes?

Front

Back

How do you justify intervals where the acceleration of an object is negative?

Front

It is where the velocity ( v(t) ) is decreasing, or where v'(t) is negative.

Back

What is the justification for where a function is increasing?

Front

This is where f'(x) > 0

Back

How do you find horizontal asymptotes of f(x) algebraically?

Front

Find the limit if f(x) as x approaches + and - infinity.

Back

How do you find the domain of f(x)?

Front

Assume domain is (−∞,∞). Restrict domains: denominators ≠ 0, square roots of only non-negative numbers, logarithm or natural log of only positive numbers.

Back

How do you find the average rate of change of the function f on [a,b]?

Front

Back

What is the derivative of e^u?

Front

Back

What is the derivative of cot(u)?

Front

Back

What is the justification for when a particle is speeding up?

Front

This is when v(t) and a(t) have the same sign.

Back

How do you justify intervals where the acceleration of an object is positive?

Front

It is where the velocity ( v(t) ) is increasing, or where v'(t) is positive.

Back

What is the derivative of tan(u)?

Front

Back

What are the two definitions of the derivative?

Front

Back

What is the derivative of sin(u)?

Front

Back

How do you find the zeros of f(x)?

Front

Set the function equal to zero. Factor or use the quadratic formula if quadratic. Graph to find the zeros on calculator.

Back