Chemistry: Barrons AP Flashcards

Chemistry: Barrons AP Flashcards

memorize.aimemorize.ai (lvl 286)
Section 1

Preview this deck

chloric acid

Front

Star 0%
Star 0%
Star 0%
Star 0%
Star 0%

0.0

0 reviews

5
0
4
0
3
0
2
0
1
0

Active users

0

All-time users

0

Favorites

0

Last updated

6 years ago

Date created

Mar 14, 2020

Cards (195)

Section 1

(50 cards)

chloric acid

Front

HClO3

Back

ion

Front

an element that has lost or gained 1+ electrons (cation has lost 1+ electrons; anion has gained 1+ electrons) a polyatomic ion is a group of elements bound together covalently that also carries a charge

Back

nonmetals

Front

upper right of table; w/ none of properties that metals have

Back

amphiprotic

Front

substances that can both donate and accept protons (ex: H2PO4-)

Back

chemical formula

Front

the representation of chemical substances using their chemical symbols + appropriate subscripts for #s of atoms

Back

Bohr atom

Front

model that views electrons circling nucleus like miniature solar system; each orbit w/ definite energy + electrons moving from one orbit to another + either absorbed or emitted energy difference b/w orbits

Back

metallic crystals

Front

form from metals in periodic table; crystals are malleable, ductile, and conduct electricity = lattice of nuclei + core electrons in a "sea" of mobile valence electrons

Back

inner transition elements

Front

occupying f orbitals as last electrons added to their electron configuration -occupy 14 groups that are often placed outside table -contain many of radioactive + manmade elements

Back

malleable

Front

a property of metals that means substance can be hammered into new shapes

Back

nucleus

Front

center of atom that contains protons + neutrons; comprises an extremely small fraction of atom's volume; extremely dense while rest of atom is primarily empty space

Back

noble gas

Front

last group -unusually unreactive with an octet of valence electrons ns^2np^6

Back

Hund's rule

Front

all orbitals in a sublevel must fill with one electron before a second electron of opposite spin can be added to any orbital in that sublevel

Back

allotropic

Front

element existing as 2+ distinct chemical structures

Back

alkaline earth metals

Front

elements in second group. all: -have ns^2 electrons for valence electrons -very reactive -metals that form 2+ ions

Back

valence shell made up of all orbitals with same

Front

coefficient

Back

hydrate

Front

a substance that contains a fixed # of water molecules; water molecules are written separately from formula itself + connected to it with a dot in center of line b/w the chemical formula + water molecules

Back

liquid state

Front

retains volume but not shape, molecules move freely in close contact, + strong attractive forces are present

Back

adding up exponents of configuration calculates

Front

total # electrons

Back

mercury

Front

Hg

Back

metalloids

Front

on either side of staircase line that starts between boron and aluminum, aluminum to silicon, and then to bottom of table; have properties in b/w metals + nonmetals; semiconductors of electricity Ex: silicon + germanium (used for transistors + integrated circuits)

Back

carbon dioxide is

Front

linear and nonpolar

Back

methylamine

Front

CH3NH2

Back

amorphous

Front

without structure/long-range crystal structure

Back

hydrogen cyanide

Front

HCN

Back

frequency of a proton is ___ proportional to wavelength

Front

inversely

Back

transition elements

Front

aka d=block elements --> bc last electrons added to form eleement are electrons occupying d orbitals -10 groups in center -often form colored ionic compounds -often have multiple oxidation states -often form polyatomic ions

Back

ammonia

Front

NH3

Back

electron configuration

Front

a listing of electrons within an atom based upon sublevels that are filled + relative energies of these sublevels; also the sequence in which sublevels ill

Back

chemical compound

Front

substance with fixed ratio (by mass or atoms) of 2+ different atoms; have definite properties that can be used to identify compound; have characteristic chemical properties that indicate what reactions they participate in and what reactions they do not

Back

hydrosulfuric acid

Front

H2S (--> HS-)

Back

ethanoic (acetic) acid

Front

HC2H3O2 or CH3COOH; household name is vinegar

Back

lead

Front

Pb

Back

metals

Front

lower left of periodic table; typically have a silvery luster (except gold and copper), conduct electricity easily, + are malleable + ductile nucleus + core electrons in a "sea of valence electrons"

Back

carbonic acid

Front

H2CO3

Back

alkali metals

Front

elements in first group. all: -have ns^1 electrons as valence -extremely reactive -low ionization energies -low electronegativities -metals that form 1+ ions

Back

tin

Front

Sn

Back

nuclear charge (Z)

Front

the # of positive charges in the nucleus (same as # protons in nucleus and atomic #)

Back

subatomic constituents of atom

Front

protons + neutrons in nucleus + electrons around nucleus atomic # Z = # of protons mass # A = #protons + #neutrons

Back

Pauli Exclusion principle

Front

no 2 electrons can occupy exactly same space at same time (no electrons in an atom have same set of 4 quantum #s)

Back

isotope

Front

an atom w/ a specific # of neutrons in addition to protons and electrons defined by atomic #; a given element may have several isotopes, each of which has a different # of neutrons while having same # electrons and protons Ex: C-13 has 6 electrons, 6 protons, and 7 neutrons

Back

amphoteric

Front

substances that can react as both an acid and a base (ex: Al2O3)

Back

antimony

Front

Sb

Back

effective nuclear charge (Zeff)

Front

inner (core) electrons shield outer electrons from nuclear charge; outer electrons are attracted by a nuclear charge that is approximately = to # valence electrons atomic radius decreases from left to right because Zeff increases as # valence electrons increases; this increase in Zeff increases attractive force on valence electrons, resulting in smaller atoms

Back

halogen

Front

elements in next to last group; reactive elements w/ ns^2, np^5 valence electron structure -commonly form salts (halide is another name for salt) with metals -generally have high electronegativities -in simple compounds, tend to form only one bond (however, halogens form multiple bonds with oxygen + other halogens)

Back

the ___ proton of H2SO4 is a strong acid

Front

first

Back

solid state

Front

retains both volume and shape and molecules relatively rigid in a crystal lattice

Back

methanoic (formic) acid

Front

HCHO2 or HCOOH; the "sting" of many biting insects (e.g., red ants)

Back

tungsten

Front

W

Back

gas state

Front

assumes volume + shape of a container, molecules are almost totally independent of each other, there is little in the way of attractive forces, and it is highly compressible

Back

propanoic acid

Front

HC3H5O2 or CH3CH2COOH

Back

Section 2

(50 cards)

geometric shape of sp^2 hybridized

Front

trigonal planar

Back

symmetry

Front

simple geometric property where a structure may be rotated by some angle <360 degrees, and after rotation, molecule has same configuration as before rotation polarity can be deduced from bond polarity and molecular symmetry symmetrical molecules = generally nonpolar, even if individual bonds that make up molecule are very polar nonsymmetrical molecules generally polar unless bond polarities = 0 polarity, deduced from molecular geometry, can be used to understand many physical properties such as boiling point, vapor pressure, viscosity, surface tension, etc., of a wide variety of substances

Back

polar vs. nonpolar bonds and molecules

Front

bond polarity indicates distribution of electrons b/w 2 atoms on either end of a bond compared to unbonded atoms -if bonded and unbonded states have same distributions --> bond is nonpolar -occurs when difference in electronegativity of 2 atoms = 0 -if difference in electronegativities is not 0, bond will be polar -larger value of difference in electronegativities, larger bond polarity molecular polarity is the vector -- sum of bond polarities -therefore, a nonpolar molecule can have polar bonds -symmetrical molecules will be nonpolar because symmetry cancels bond polarity -molecular polarity = expressed as dipole moment

Back

supercooling

Front

property --> can be cooled to temperatures below melting points without solidifying

Back

normal melting point

Front

temperature at which a substance melts at 1.00 atm of pressure also freezing point of a liquid NOT a good measure of IMFs

Back

geometric shape of sp hybridized

Front

linear

Back

pi bond

Front

electron density outside internuclear axis bond order = 2 bond strength is almost 2x bond frequency is higher

Back

soap

Front

a salt of a long chain (>18 carbon atoms) organic acid can be prepared by heating a strong base with organic acid (hydrocarbon chain dissolves nonpolar and polar head dissolves polar/ionic)

Back

Valence Shell Electron Pair Repulsion Theory

Front

valence electrons will repel each other until as far apart as possible # of electron pairs that repel each other = sum of # atoms bonded to a central atom along with any nonbonding (lone) pairs

Back

atomic orbital

Front

the region in space, outside the nucleus, that has a high probability of containing an electron specific shapes and sizes as defined by quantum #s

Back

bond order

Front

the average number of bonds per atom covalently bonded to a central tom may be related to bond strength, bond vibrational frequency, and bond length = (total sigma and pi bonds)/(#atoms bonded to central atom)

Back

weak electrolytes are represented by

Front

weak acids + bases + a few ions, such as Hg22+ ion; partially ionize in solution

Back

binary molecule

Front

contains 2 DIFFERENT atoms (Ex: HCl, H2S)

Back

real gases

Front

have volume + possess attractive/repulsive forces act most like ideal when pressure is low and temperature is high

Back

dipole

Front

the representation of a polar molecule that is partially positive on one end and partially negative on the other term reminds us that a polar molecule has only 2 poles (1 positive and 1 negative), no matter how many + or - charges are present and no matter how many polar bonds are present DO NOT CONFUSE DIPOLES WITH ANIONS AND CATIONS symbols delta + and delta - often used to designate polar ends of molecule symbol -[--> is also used to depict

Back

induced dipole

Front

a dipole created from a nonpolar arrangement of electrons when an ion or polar molecule is nearby one induced dipole can induce a dipole in a neighboring nonpolar substance ease with which induced dipoles can be created is related to polarizability of electron clouds involved in nonpolar molecules, called london dispersion forces

Back

electron affinity

Front

energy released or absorbed when an electron is added to an atom relative values of which help explain why monatomic anions form and which monatomic anions are most stable

Back

hydrogen bond

Front

an extra strong dipole-dipole IMF due to large electronegativity difference b/w H and N, O, and F explains variety of physical properties, such as extraordinary melting and boiling points, due to strong attractive forces explains how DNA strands attract to each other NOT AN ACTUAL BOND, JUST AN EXTRA STRONG IMF

Back

diagonal relationship

Front

some properties of atoms, as arranged in periodic table, vary regularly from lower left corner to upper right corner ex: electronegativity, ionization energy, atomic radius, ionic radius + electron affinity

Back

Base by Brønsted Theory

Front

a substance that is a proton acceptor

Back

ideal gas

Front

obeys ideal gas laws conceptually has no volume + no attractive/repulsive forces with other molecules

Back

escape energy

Front

minimum kinetic energy of a molecule in a liquid needed for transformation into a gas molecules attracting each other condense into liquid phase overcoming intermolecular attractive forces of liquid is necessary for a molecule to reenter vapor state may also be related to escape velocity for a specific molecule

Back

hybrid orbital

Front

an orbital constructed by combining electrons, usually from s, p, and d orbitals, into a new orbital where electrons all have same properties -designated sp, sp^2, and sp^3 explain why molecular geometries do not often correspond to geometries of atomic orbitals usually corresponds to geometry expected from VSEPR Theory

Back

sigma bond

Front

electron density lies along internuclear axis bond order = 1 present in all covalent bonds

Back

instantaneous dipoles (aka London dispersion forces)

Front

explain why nonpolar substances condense from a gas to a liquid caused by momentary distortions of electron cloud around atoms and molecules that gives them momentary polarity --> causes more induced dipoles + combination produces sufficient attractive forces to result in condensation of nonpolar substances

Back

strong electrolytes are ____ whereas others are ____ that ionize, such as HCl

Front

ionic solids molecular compounds

Back

electromagnetic spectrum

Front

in order of increasing energy: radio waves microwaves infrared visible UV x rays gamma rays cosmic rays

Back

supersaturated solution

Front

contains more solute dissolved than a saturated solution metastable and may spontaneously revert to saturated solution with a precipitate present

Back

electronegaivity

Front

measure of atom's tendency to attract electrons difference in electronegativities of 2 atoms indicates direction and magnitude of bond's polarity one of diagonal periodic relationships F has highest; Fr has lowest

Back

covalent bond

Front

basic idea is that sharing a pair of electrons imparts stability to a pair of atoms; stability is called a bond sharing of electrons enables different atoms, including some metals of moderate electronegativity, to obtain a stable electron configuration without the formation of ions stable electron configurations are often those that mimic the electron configuration of noble gases

Back

ionization

Front

removal or addition of an electron from an atom or molecule to form ions from a neutral molecule OR when MOLECULAR compound breaks apart into ions

Back

a bond is predominantly ionic if the difference in electronegativities of atoms is greater than

Front

1.7

Back

polarizability

Front

tendency for electron cloud of an atom or molecule to be deformed the more polarizable an electron cloud, the easier it is to form an induced dipole

Back

diatomic molecule

Front

contains only 2 atoms (Ex: HCl, H2)

Back

vapor pressure

Front

pressure developed by a liquid or solid in a closed container at constant temperature

Back

normal boiling point

Front

temperature at which vapor pressure of a liquid = 760 torr (1.00 atm) of pressure -also temperatuer at which a gas condenses -a good measure of IMFs

Back

surface tension

Front

added attractive force per molecule at surface of a liquid causes liquids to assume shapes that minimize surface area liquid droplets are spherical to minimize surface area

Back

resonance

Front

concept used to describe a molecule or polyatomic ion that can be drawn with 2+ equivalent structures called resonance structures none exists in reality; real viewed as blend of all resonance structures resonance arrow (<-->) used to show that 2+ structures are related to each other as resonance structures common molecules such as SO2 and SO3 and ions such as NO3- and SO42- have resonance structures REMEMBER: electrons do NOT move from one resonance structure to the next

Back

lewis structure

Front

a structure of molecules based on concept that most atoms try to achieve noble gas electronic configurations by sharing electrons On AP exam, answer will be graded as INCORRECT if ALL THE ELECTRONS are not explicitly shown

Back

network crystals

Front

covalent bonding extends over many molecules, even to entire sample if crystals are perfect Ex: diamond, SiO2

Back

Base by Arrhenius Theory

Front

any compound which increases the hydroxide concentration of a solution

Back

viscosity

Front

ability of a fluid to flow the easier a fluid flows, the LOWER its viscosity related to how strongly molecules in a liquid are attracted to each other

Back

geometric shape of sp^3 hybridized

Front

tetrahedral

Back

internuclear axis

Front

imaginary line connecting nuclei of 2 atoms allows description of location of electrons in various types of chemical bonds if there is a high density of electrons along internuclear axis, a sigma bond exists if a high density of electrons appears above and below internuclear axis, pi bond is also present

Back

nonelectrolytes are represented by

Front

many soluble organic compounds, such as sugars and small alcohols

Back

electrolytes

Front

substances that result in ions in solution

Back

pressure

Front

force acting per unit area on a surface mass x acceleration (in physics) includes microscopic detail of molecules striking a surface (in chemistry) force of molecules is due to kinetic energy of all molecules striking the surface

Back

superheating

Front

property --> can be heated to temperatures above normal boiling points without boiling

Back

molecular crystals

Front

made of molecules that are generally held together with London dispersion forces--> realatively weak crystals soft, insoluble in H2O, not conductive Ex: glucose, stearic acid (a wax)

Back

dissociation

Front

when an ionic substance simply separates its ions upon dissolution

Back

Section 3

(50 cards)

Sketch a graph of distribution of kinetic energy distribution of gas molecules at a particular temperature Note point on graph that approximates average KE of all molecules

Front

#363

Back

NO3- Lewis

Front

trigonal pyramidal

Back

closed system

Front

energy can be transferred b/w system and surroundings but matter cannot be transferred

Back

SO32-

Front

trigonal pyramidal

Back

PO43-

Front

tetrahedral

Back

explanation for chemical equations that CANNOT have fractions

Front

on atomic scale, cannot have only part of an atom, molecule, or ion

Back

square pyramidal geometry

Front

6 total groups; 1 unpaired 90 degree bond angles

Back

Collision Theory

Front

a rxn proceeds at rate = # effective collisions/unit time effective collisions are those where KE exceeds a minimum value and those collisions where molecules collide in appropriate orientation treats collisions as if hard spheres (think billiard balls) are colliding

Back

ClO4-

Front

tetrahedral

Back

CH2Cl2

Front

dichloromethane tetrahedral sp^3 hybridized 1 = bond order polar --> Cl partial - and H partial + no resonance structures

Back

NO3-

Front

nitrate ion trigonal planar sp^2 hybridized 1.33 = bond order symmetrical nonpolar 3 resonance structures

Back

metastable

Front

physical situation where a material is stable until disturbed in some manner supercooled and superheated liquids =

Back

catalyst

Front

substance that speeds up rate of chemical reaction by providing alternate reaction pathway with lower activation energy; not consumed in reaction heterogeneous if in different phase than reactants homogeneous if in same phase as reactants

Back

trigonal pyramidal geometry

Front

bond angles slightly less than 109 degrees 4 total groups; 1 unpaired

Back

titration

Front

experimental procedure for reacting 2 solutions in order to determine quantity or concentration of one of solutions requires a standard solution of known concentration requires a buret to precisely add titrant to reaction requires method to detect endpoint--> color indicators + pH meters

Back

trigonal bipyramidal structure

Front

90 + 120 degree angles 5 total groups

Back

Transition State Theory

Front

concerns details of events and energy changes that occur as 2 molecules collide -KE of colliding particles is converted to PE; if PE is sufficient, products may be formed--> minimum PE needed for successful rxn = activation energy -in process of colliding, molecules break old bonds and create new ones; structure of colliding particles with bonds partially broken and others partial form = transition state..orientation of collision is important here -convenient depiction = PE diagram--> potential energy as reaction progresses --> illustrate activation energy and heat of reaction, which is difference in PE b/w products and reactants

Back

isolated system

Front

neither energy nor matter can be transferred to surrounding; a vacuum flask (Dewar flask) approximates an isolated system

Back

open system

Front

both matter and energy may be exchanged with surroundings

Back

lone pairs

Front

electron pairs in lewis structures that are not used for bonding

Back

explanation for chemical equations with fractions

Front

on mole scale can easily measure fraction of a mol

Back

SO32- geometry

Front

trigonal pyramidal 3 resonance structures

Back

SO3 geometry

Front

trigonal planar 3 resonance structures

Back

isomers

Front

distinctly different compounds with same elemental composition

Back

SF6 is

Front

sulfur hexafluoride octahedron 1 = bond order symmetrical nonpolar no resonance structures

Back

PCl5 Lewis

Front

trigonal bipyramidal

Back

Kinetic Molecular Theory

Front

describes motion of molecules in gas phase -on molecular level, it explains gas laws, gas pressure, and effusion and diffusion rates + effect of temperature on behavior of gases -direct relationship b/w average KE and Kelvin temp -dynamic nature of gases in constant rapid motion -collisions = perfectly elastic

Back

KE=

Front

(1/2) mv^2

Back

orbital

Front

region of space that may be occupied by a maximum of 2 electrons

Back

bond angles in octahedral geometry

Front

90 degrees (6 groups)

Back

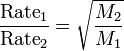
Graham's law of effusion

Front

r = rate of effusion M = atomic mass or molar mass

Back

half-life

Front

time required for half of reactants to be consumed in a chemical reaction related to various kinetic quantities depending upon nature of reaction

Back

Ion-electron method to balance more complex redox equations

Front

1. write 2 half-reactions 2. balance all atoms other than hydrogen and oxygen 3. balance oxygen with H2O 4. balance hydrogen with H+ 5. balance charges with electrons 6. equalize charges in 2 half-reactions 7. add half-reactions and cancel like items to simplify if reaction must be balanced in basic solution, use following additional step 8. add OH- to = H+ to BOTH sides, combine H+ and OH- to make H2O; cancel like terms

Back

titration curve of strong acid being titrated with strong base

Front

Back

SO42-

Front

sulfate ion tetrahedron sp^3 hybridized 1.5 = bond order symmetrical nonpolar

Back

PCl3 Lewis

Front

trigonal pyramidal

Back

titration curve

Front

pH vs. volume of titrant added to sample

Back

formation reaction

Front

written equation has only one mol of one compounds as product and reactants are elements at standard state

Back

isoelectronic

Front

any 2 substances that have identical electron configurations

Back

CO32- Lewis

Front

trigonal pyramidal

Back

Faraday's constant

Front

relationship b/w Coulomb, C, and moles of electrons

Back

PCl5

Front

phosphorus pentachloride trigonal bipyramidal 1 = bond order nonpolar no resonance structures

Back

square planar geometry

Front

6 total groups; 2 unpaired 90 degree bond angles

Back

elementary reaction or process

Front

written chemical equation represents actual interaction of molecules, atoms, or ions on atomic scale usually unimolecular or bimolecular and coefficients are exponents in rate law reaction mechanism is composed of elementary reactions that add up to overall reaction

Back

steady-state assumption

Front

concentrations of intermediates may be mathematically eliminated by assuming that all prior fast steps are in chemical equilibirum

Back

formula for hydrogen sulfide

Front

H2S precipitates most metals distinctive "rotten egg" odor

Back

rate constant

Front

constant in direct relationship between amount of reacting substance and rate of reaction

Back

SO3 is

Front

sulfur trioxide trigonal planar sp^2 hybridized 1.33 = bond order nonpolar 3 resonance structures

Back

activation complex

Front

when molecules collide in a chemical reaction, reactants transform into products this transformation coincides with conversion of reactants' KE to PE and then back to KE of products =structure of atom when PE at maximum

Back

supernatant

Front

liquid remaining above solid after it settles from mixture of centrifugation

Back

Section 4

(45 cards)

calorimeter

Front

instrument used to determine heat energy

Back

indicator

Front

a chemical added to a titration experiment that changes color at the endpoint usually represented as a weak acid, HIn, with ionization reaction: HIN ⇌ H+ + In- acid form, HIn, has a distinctly different color than basic form, In- color of HIn is observed when pH is one pH unit or more less than pKIn color of In ion is observed when pH is at least one pH unit above pKIn

Back

heat capacity

Front

amount of energy that a system needs in order for its temperature to change by one degree celsius

Back

molar specific heat

Front

heat energy needed to raise one mol of a substance by one degree celsius

Back

Dessicator Identity and use

Front

used to keep samples dry + clean bottom is filled with dessicant

Back

*buffer

Front

an aqueous solution containing a conjugate acid-base pair ratio of concentration of conjugate acid to conjugate base must be within 0.1 to 10 for solution to act as a buffer conjugate acid-base pairs will only be buffers if pH of buffer is within one pH unit of pKa

Back

Buret Identity and use

Front

used for titrations + to deliver precise volumes

Back

Laboratory balance Identity and use

Front

used for accurate mass measurements

Back

Funnel Identity and use

Front

used with filter paper to filter (separate) solids from liquids

Back

coffee-cup calorimeter

Front

constructed of 2 styrofoam coffee cups nested together to provide insulation pressure is constant --> qp = -ΔH is measured

Back

Condenser clamp (three prongs) Identity and use

Front

used for distillations + for reflux experiments

Back

Kp =

Front

Kc (RT) ^Δn

Back

Condenser use

Front

used to condense vapor into liquid

Back

standard reduction potential

Front

potential of an electrode immersed in one solution at standard state, compared to hydrogen electrode that is defined as exactly 0 V

Back

Crucible Identity and use

Front

used to heat solid samples to dryness + to decompose samples at high temperatures

Back

molar solubility

Front

maximum # moles of solute that will dissolve in 1L soln

Back

Laboratory clamp (two prongs) Identity and use

Front

used as clamp for small flasks and test tubes

Back

Graduated cylinder (graduate) Identity and use

Front

used to hold reasonably precise volumes not generally used for precise measurements

Back

electrolysis

Front

process of using electrical current to reduce a chemical substance at cathode and oxidize a chemical substance at anode adds energy to a system to force a nonspontaneous reaction to occur

Back

Laboratory beaker/general reaction and mixing vessel/inexpensive vessel Identity

Front

least accurate of all laboratory glassware

Back

litmus paper

Front

type of pH paper that uses an indicator called litmus is pink in acid and blue in base blue paper turns red in acid red paper turns blue in base placing red paper in acid or blue paper in base is inconclusive, since no change is observed

Back

Apparatus for distillation Identity + Use

Front

used to separate liquids with different boiling points

Back

Separatory funnel Identity and use

Front

used for separating liquid phases

Back

Volumetric flask Identity + Use

Front

used for preparing solutions of known molarity with precise volumes + to prepare precise dilutions of stock solutions

Back

specific heat

Front

amount of heat energy needed to raise one gram of a substance by one degree celsius

Back

precision of an experiment

Front

how close experimental results are to each other

Back

Vacuum filtration apparatus Identity + Use

Front

used to speed up filtration

Back

Volumetric pipet Identity and use

Front

used for precise liquid volume measurements and transfer volumetric = most precise graduated (Mohr pipet) = less precise

Back

solubility

Front

a property of a solute that refers to maximum amount of solute that can be dissolved in a solvent can be qualitative or quantitative description of a solute

Back

Write Ksp expression for following slightly soluble salt: HgI2

Front

Ksp = [Hg2+][I-]^2

Back

Pycnometer Use

Front

used to determine density of liquids (d = grams/mL) + to determine specific gravity of liquids in same vessel

Back

pH meter (digital) Identity and use

Front

used to measure pH with electrode

Back

Spectrophotometer (visible or Uv-Vis) Identity and use

Front

used to measure light absorption or transmittance for analysis requires calibration curve used to measure spectra of solutes

Back

Simple filtration setup Identity + Use

Front

used to separate solids from liquids

Back

Crucible tongs Identity and use

Front

used to hold light, hot, or cold objects

Back

Round bottom flask/distillation flask Identity and use

Front

used for distillation

Back

Spatula or micro-spatula Identity + Use

Front

used to manipulate small amounts of matter

Back

Erlenmeyer flask/ general reaction vessel Identity and use

Front

used often for titrations

Back

Laboratory thermometer Identity and use

Front

used to accurately measure temperature

Back

*buffer capacity

Front

moles of strong acid or strong base required to change pH of one liter of buffer by one pH unit aka buffer strength

Back

leveling effect

Front

term given to fact that strongest acid in water is H+ and strongest base is OH-

Back

state function

Front

a quantity whose value depends only on initial and final states of system ΔH ΔS ΔG ΔE work and heat are NOT state functions and will depend upon experimental conditions

Back

Weighing bottle Identity and use

Front

used in weighing operations

Back

accuracy

Front

how close experimental result is to true value true values are best obtained by experiments that use independent methods to measure same phenomenon

Back

Setup for a titration Identity + Use

Front

used for chemical analysis

Back