Section 1

Preview this deck

Volume of cylinder

Front

Star 0%
Star 0%
Star 0%
Star 0%
Star 0%

0.0

0 reviews

5
0
4
0
3
0
2
0
1
0

Active users

0

All-time users

0

Favorites

0

Last updated

6 years ago

Date created

Mar 14, 2020

Cards (126)

Section 1

(50 cards)

Volume of cylinder

Front

V = (pi) r^2 h

Back

Isosceles Right Triangle

Front

*A right triangle with the two legs (and their corresponding angles) equal.* (short leg : long leg : hypotenuse) x : x : x square root of 2 has angles 45-90-45

Back

Pi or π

Front

circumference : diameter ratio

Back

Circumference of a circle

Front

C = 2(pi)r Or C = (Pi)D

Back

Percent Decrease

Front

amount of decrease/original whole X 100%

Back

Percent Increase

Front

Amount of Increase/Original Whole X 100%

Back

Area of a circle

Front

Area = (Pi)r^2

Back

Pythagorean Theorem

Front

Finding the sides of a right triangle a^2 + b^2 = c^2

Back

Range

Front

put in order from least to greatest and subtract smallest from largest number in set

Back

Solving for # of variables

Front

Determine number of unique values per variable and multiply them by each other

Back

common multiple of 2 numbers

Front

prime factor both numbers; multiply each factor the greatest number of times it appears in factorization.

Back

Central angle/Arc length/Sector area

Front

central angle/360 = arc length/circle circumference = sector area/circle area

Back

Surface area of a cube

Front

SA = 6a^2

Back

Surface Area of a Cylinder

Front

A=2πrh+2πr2

Back

Determining slope direction

Front

Coefficient of x (neg. or pos.) shows the direction of the slope. Negative slopes down left to right, while positive slopes up left to right.

Back

Percent

Front

part = percent X whole

Back

Determining Slopes with 2 Sets of Coordinates

Front

(y2 - y1) / (x2 - x1)

Back

Sum of consecutive EVEN integers

Front

Sum=n∗(n+2)/4 Ex: sum of even integers from 1 to 200 =200∗(202)/4=10100 sum of even integers from 1 to 10 =10∗(12)/4=30

Back

Simplifying exponential equations

Front

·When comparing expressions to find which is greater find a common root using prime factorization Ex: 64^5 & 16^8 = (4^3)^5 & (4^2)^8 or 4^15 & 4^16

Back

Simple probability

Front

Probability = # of desired outcomes/# of total possible outcomes

Back

Surface area of sphere

Front

SA=4(pi) r^2

Back

Sum of consecutive ODD integers

Front

Sum=(n+1)∗(n+1)/4 = (n+1)2/4 Ex: sum of odd integers from 1 to 199 = 200∗(200)/4=10000 sum of odd integers from 1 to 9 = 10∗(10)/4=25

Back

Area of a Parallelogram

Front

A= bh

Back

Quadratic Formula

Front

Back

30º, 60º, 90º Triangle

Front

*long leg is opposite 60 degree angle

Back

Area of a Trapezoid

Front

Area = Average of parallel sides X Height OR A=1/2 (b1 + b2) h

Back

Quadratic Inequalities

Front

· Remember a quadratic formula = a parabola · You're looking for the two x axis intersections and the direction of the remaining · When you divide both sides by a negative you must switch the direction of the inequality sign

Back

Slope of a Line

Front

Slope = Rise/Run = change in Y/Change in X Example: slope of line with (1, 2) and (4, -5) = (-5-2)/(4-1) = -7/3

Back

Sum of Consecutive integers

Front

Sum=n*(n+1)/2 Ex: sum of first 200 integers=200∗(201)/2=20100 sum of first 10 integers = 10∗(11)/2=55

Back

Ratio of boys to girls is 3/4. If there are 135 boys, how many girls?

Front

3/4 = 135/g *cross multiply and divide

Back

Volume of a sphere

Front

V = (4/3) (pi) r^3

Back

Average

Front

Average = Sum of terms/number of terms

Back

Graphing Quadratic Equations

Front

· Factor equation · Set each factor = 0 · Solve for x · xV = (x intersect 1 + x intersect 2) / 2 · To find yV, plug in xV into original equation · To find y intercept, make x=0 into original equation and solve for y

Back

Combinations

Front

A permutation where you DON'T care about the order nCr = (n!/(n-r)!)/r!

Back

Revenue Formula

Front

Profit = Revenue - Cost

Back

Quadratic Equation

Front

ax^2 + bx + c = 0

Back

Ratio

Front

Ratio= Of/To 20 oranges to 12 apples = 20/12 = 5/3

Back

Improper fractions to mixed numbers

Front

e.g. 18/7 = 2 R4 or 2 4/7

Back

Count consecutive numbers (inclusive)

Front

B-A +1 (how many integers from 73-419 = 419-73 + 1

Back

Rate

Front

R=D/T *identify quantities and units to be compared. Keep units straight. If question gives you a rate in hours, but wants an answer in minutes, then convert the hours in the problem to minutes to solve.

Back

Solve for both or neither (venn diagram)

Front

Group1+group2+ neither - both= total

Back

Average of Consecutive numbers

Front

Add the two numbers and divide by 2 (ave. of integers from 13 to 77 = 13 + 77/2)

Back

Area of a Triangle

Front

A= bh/2

Back

Area of a Hexagon Equation when side length is known

Front

A = (3√3)/2 * known side squared

Back

distance formula

Front

d= rt

Back

surface area of rectangular cube

Front

A=2(wl+hl+hw)

Back

Mixed number to improper fractions

Front

numerator = denominator x integer + original numerator denominator remains the same Ex: 2 4/7 7 x 2 + 4 = 18 18/7

Back

Median

Front

Middle number

Back

Mode

Front

number that appears most often

Back

special right triangle (half of an equilateral triangle)

Front

has angles 30-60-90 (short leg : long leg : hypotenuse) x : x square root of 3 : 2x

Back

Section 2

(50 cards)

(a^-x)(b^y)

Front

(b^y)/(a^x)

Back

a^0

Front

1

Back

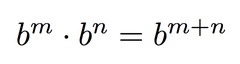
multiplying exponents

Front

*must have same base

Back

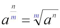
exponent is a fraction 25^(1/2)

Front

squar root 25 = 5 or -5

Back

If a lamp decreases to $80, from $100, what is the decrease in price?

Front

= (actual decrease/Original amount) x100% = 20/100x100% = 20%

Back

How many different ways can 5 people sit in 3 chairs?

Front

· Written, 5P3 · Equation for solving 5!/(5-3)! · Because 5x4x3x2x1/2x1, the "2x1" cancel out from both the numerator and denominator, you only solve for: 5 x 4 x 3 = 60 different possibilities

Back

Probability

Front

P is probability, m is # of favorable ways, n is total # of ways P = m / n when combining probability of two mutual exclusive events Pa x Pb

Back

Finding the vertex of a quadratic equation

Front

-b/2a

Back

Permutations

Front

When you DO care about the order. For instance, if there are 5 people, how many different ways can they sit in 3 chairs. When a person sits down, it removes the possibility of sitting in any other chair. nPk = n!/(n-k)!

Back

even^odd

Front

even always

Back

(12sqrt15) / (2sqrt5) =

Front

(12/2) x (sqrt15 / sqrt5) = 6sqrt3

Back

find value for x & y for: x - 2y = 2 & 2x +y = 4

Front

· Add Equations · Find common factor for x to cancel it out (2x + y = 4) + -2(x - 2y = 2) · Solve for y 5y = 0 so, y = 0 · Replace y value into either one of the original equations and solve for x x - 2(0) = 2 so, x = 2

Back

(6sqrt3) x (2sqrt5) =

Front

(6 x 2)(sqrt3 x sqrt5) = 12sqrt15

Back

(ab)^x

Front

(a^x)(b^x)

Back

-4 < -x, then +4 > +x

Front

Always

Back

xy + xz =

Front

x(y+z)

Back

If a>b then

Front

-a<-b

Back

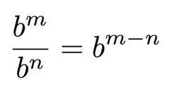
dividing exponents

Front

*must have same base

Back

x^2 + 2xy + y^2 =

Front

(x+y)(x+y) = (x+y)^2

Back

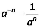
negative exponents

Front

Back

10^5 how many zeros?

Front

100,000 10^5 means 5 zeros

Back

0^0

Front

undefined

Back

Integer divisible by 6

Front

If sum of the digits are divisible by 3 and the last digit is even Ex: 1,458: 1 + 4 + 5 + 8 = 18

Back

value of x for: x + 4y = 7 & x - 4y = 8

Front

· Add Equations · No need for a common factor since 4y & -4y cancel each other out 2x = 15 x = 15/2

Back

1ⁿ

Front

1

Back

(2a^m)(1/3a^-n)

Front

= (2/3a^m)(a^-n) = 2a^m / 3a^n

Back

inscribed angle whose triangle base = diameter

Front

*When the base of triangle is the diameter of the circle, triangle must be a right triangle

Back

x^2 - y^2 =

Front

(x + y)(x - y)

Back

(x-y)/xy=

Front

1/y - 1/x x,y≠0

Back

Integer divisible by 9

Front

Add up digits, If the result is divisible by 9, then the original number is divisible by 9. Ex: 2,880: 2 + 8 + 8 + 0 = 18: 1 + 8 = 9

Back

Equilateral Triangle

Front

60-60-60 all sides are equal

Back

what is c if, 200 = (a+b+c)/2 & 80 = (a+b)/3

Front

· Get rid of the denominator in each equation by multiplying both sides by the denominator value · Now subtract both equations by each other (400 = a+b+c) - (240 = a+b) · Therefore, 160 = c

Back

y^2 = x

Front

y = ±√x e.g. y^2 = 4 so, y = ±√4 = ±2

Back

Odd and even number operations (addition and multiplication)

Front

Odd + Odd = Even Even + Even = Even Odd +Even = Odd Odd x Odd = Odd Even x Even = even (and divisible by 4) Odd x even = even

Back

Inscribed angle

Front

1/2 of central angle

Back

Vertex

Front

· The minimum or maximum of a parabola · Equal distance from the two points intersecting the x-axis.

Back

7/12 + 3/5

Front

· Cross multiply & add both products together 7x5 + 12x3 = 71 · Multiply both denominators 12x5 = 60 · So, 71/60, then simplify to a mixed number 1 11/60 or · Find a multiple that makes the denominators equal 60 is the lowest common denominator · Multiply each fraction by their respective multiple 5(7/12) + 12(3/5) = 35/60 + 36/60 · Add the two numerators 71/60 or 1 11/60

Back

Formula to calculate arc length?

Front

Arc length = (n/360)(2πr) where n is the number of degrees.

Back

if a/b = 1/4, where a is a pos. integer, which of the following is possible for the value a^2/b?: 1/4, 1/2, 1

Front

All · cross multiply 4a=b · substitute b in equation a^2/4a · square root both nominator and denominator a/4 · looking at the options, plug in values to see if they equal any of the possible answers

Back

a/∅

Front

undefined

Back

Integer divisible by 4

Front

The last 2 digits are a multiple of 4. Ex: 144 .... 44 is a multiple of 4, so 144 must also be a multiple of 4

Back

odd^odd

Front

odd always

Back

Integer divisible by 3

Front

Add all the digits, If that digit is a 3,6 or 9, the number is a multiple of 3 Ex: 314159265 3 + 1 + 4 + 1 + 5 + 9 + 2 + 6 + 5 = 36 Then, 3 + 6 = 9

Back

How many more times is 17% than 3%

Front

17/3 or 5 2/3 how many more times is m than n? x = m/n

Back

xy - xz =

Front

x(y-z)

Back

(x+y)/xy =

Front

1/x + 1/y x,y≠0

Back

Integer divisible by 8

Front

Examine the last three digits Ex: 34152: Examine divisibility of just 152: 19 × 8

Back

Solve for x, x^2 + 2xy + y^2 = 25, with x + y > 0 & x-y=1

Front

· factor the equation (x+y)(x+y) = 25 or, (x+y)^2 = 25 · Square root both sides x + y = ±5 · Since it is stated that "x + y > 0" we know that 5 can only be positive · add the remaining equations together (x+y=5) + (x-y=1) · Because the y value cancels it's self out, there's no need to multiply by a common factor 2x = 6, x = 3

Back

(a/b)^x

Front

a^x/b^x

Back

x^2 - 2xy + y^2 =

Front

(x-y)(x-y) = (x-y)^2

Back

Section 3

(26 cards)

Simplify the expression [(b^2 - c^2) / (b - c)]

Front

(b + c)

Back

Normal Distribution percentages

Front

34%, 13.5%, 2.5%

Back

Square root of 2^36 = ?

Front

(2^36)^1/2 = 2^18

Back

three Pythagorean triples to memorize

Front

(short leg : long leg : hypotenuse) 3 : 4 : 5 6 : 8 : 10 5 : 12 : 13

Back

If the sum of 5 consecutive numbers is 180, what is the sum the next 5 consecutive numbers?

Front

*The mean is equal to the median in a consecutive series 180/5 = 36 First set: 34, 35, 36, 37, 38 Second Set: 39, 40, 41, 42, 43 39 + 40 + 41 + 42 + 43 = 205

Back

Intro paragraph opening issue essay

Front

"the author states that......"

Back

Argument Essay Outline

Front

Intro: deconstruct argument by stating conclusion and their supportive info, establish your take (remember they are flawed, you will not agree) Body paragraph 1 Body paragraph 2 Body paragraph 3 *Each body paragraph you will state assumption, provide counter examples, indicate specific evidence Conclusion: restate your position without copying previous statements

Back

Issue essay outline

Front

Intro: summarize issue and state position Body Paragraph A: provide evidence that supports position Body Paragraph B: provide additional evidence for your position Conclusion: summarize your position and acknowledge wrinkle if you haven't already

Back

If NONE of the integers are even in a set, when multiplied the result will be...

Front

ODD

Back

Ratio of ages of Anna and Emma is 3:5 and of Emma and Nicolas is 3:5. What is the ratio of Anna to Nicholas' ages?

Front

9 : 25

Back

maximum area possible of a rectangle

Front

square

Back

perfect cubes up to 5

Front

2^3 = 8 3^3 = 27 4^3 = 64 5^3 = 125

Back

Ratio of boys to girls is 2:3. Of 40 students, how many are girls?

Front

· Boy/Girls = 2/3 or 5 students total · There are 8 sets of 5 students in a classroom of 40 students · 8 sets x 3 girls/set = 24

Back

∅/a

Front

Back

Triangle third side rule

Front

3rd side of ANY triangle must be greater than the difference between other 2 sides and less than the sum. *Add sides and subtract sides to get a range

Back

perfect squares up to 15

Front

Back

Brainstorming Issue Essay

Front

Side 1 pros and cons Side 2 pros and cons *think of ideas to support each side *pick a side

Back

Ways in which you can tell standard deviation will be lower

Front

less "spread" = lower standard deviation more terms = lower standard deviation *example: 12, 9, 6, 3 spread = 3 between each term, 4 terms*

Back

(3/4)^-3 = ?

Front

(4/3)^3 = 64/27 *reciprocal

Back

3 x 3^4 = ?

Front

3^1 x 3^4 = 3^5 *when you see a bases without an exponent, write in a 1

Back

Brainstorming Argument Essay

Front

Identify conclusion, support, and assumptions

Back

When you multiply integers, if ANY of the integers are EVEN, the result will be...

Front

EVEN Ex: 3 x 8 x 9 x 13 = 2808

Back

Simplify: (3^4)(12^4) = ? (12^7)/(3^7) = ?

Front

(3x12)^4 = 36^4 (12/3)^7 = 4^7

Back

What is the "wrinkle" in the issue essay?

Front

twist in the prompt that they want you to acknowledge ie "However, under certain circumstances...."

Back

For similar triangles, the ratio of their corresponding sides is 2:3. What is the ratio of their areas?

Front

4:9. The ratio of the areas of two similar triangles equals the square of the ratio of the corresponding sides.

Back

As the exponent of a positive fraction increases, what happens to the value of the expression?

Front

Decreases Ex: 3/4^2 = 9/16 3/4 > 9/16 *also applies to decimals

Back