Algebra 2 - Linear Equations

Algebra 2 - Linear Equations

memorize.aimemorize.ai (lvl 286)
Section 1

Preview this deck

y-intercept

Front

Star 0%
Star 0%
Star 0%
Star 0%
Star 0%

0.0

0 reviews

5
0
4
0
3
0
2
0
1
0

Active users

0

All-time users

0

Favorites

0

Last updated

6 years ago

Date created

Mar 1, 2020

Cards (8)

Section 1

(8 cards)

y-intercept

Front

the y-coordinate of a point where a graph crosses the y-axis. "b"

Back

parallell lines

Front

two lines in the same plane that never intersect. Slopes are the same y-intercepts are different.

Back

standard form of a linear equation

Front

Ax+By=C

Back

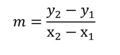
slope formula

Front

Back

point slope form

Front

y-y₁=m(x-x₁)

Back

Perpendicular lines

Front

Two lines that intersect to form right angles. Slopes are opposite reciprocals of each other.

Back

slope-intercept form

Front

y = mx + b

Back

slope

Front

the steepness of a line on a graph, equal to its vertical change divided by its horizontal change; rise over run. "m"

Back