Section 1

Preview this deck

√3/2

Front

Star 0%
Star 0%
Star 0%
Star 0%
Star 0%

0.0

0 reviews

5
0
4
0
3
0
2
0
1
0

Active users

0

All-time users

0

Favorites

0

Last updated

6 years ago

Date created

Mar 1, 2020

Cards (57)

Section 1

(50 cards)

√3/2

Front

cos(π/6)

Back

What does the graph y = sin(x) look like?

Front

Back

-1

Front

cos(π)

Back

Square root function

Front

D: (0,+∞) R: (0,+∞)

Back

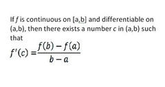
Mean Value Theorem

Front

The instantaneous rate of change will equal the mean rate of change somewhere in the interval. Or, the tangent line will be parallel to the secant line.

Back

d/dx[cotx]=

Front

-csc²x

Back

Average Velocity

Front

(Change in Position)/(Change in Time)

Back

sec²(x)

Front

Back

f'(x)-g'(x)

Front

Back

f is continuous at x=c if...

Front

Back

f'(g(x))g'(x)

Front

Back

cos(x)

Front

Back

√2/2

Front

cos(π/4)

Back

−√3/2

Front

cos(7π/6)

Back

nx^(n-1)

Front

Back

-csc²(x)

Front

Back

When is a object stopped?

Front

v(t) = 0

Back

f'(x)+g'(x)

Front

Back

Exponential function

Front

D: (-∞,+∞) R: (0,+∞)

Back

When is an object moving right?

Front

v(t) > 0

Back

Extreme Value Theorem

Front

If f is continuous on [a,b] then f has an absolute maximum and an absolute minimum on [a,b]. The global extrema occur at critical points in the interval or at endpoints of the interval.

Back

sec(x)tan(x)

Front

Back

d/dx[secx]=

Front

secxtanx

Back

1

Front

Back

−√2/2

Front

cos(5π/4)

Back

What does the graph y = tan(x) look like?

Front

Back

Sine function

Front

D: (-∞,+∞) R: [-1,1]

Back

d/dt[v(t)]=

Front

a(t)

Back

Natural log function

Front

D: (0,+∞) R: (-∞,+∞)

Back

Average Acceleration

Front

(Change in Velocity)/(Change in Time)

Back

Reciprocal function

Front

D: (-∞,+∞) x can't be zero R: (-∞,+∞) y can't be zero

Back

cf'(x)

Front

Back

d/dx[uv]=

Front

vu'+uv'

Back

1/2

Front

cos(π/3)

Back

Trig Identity: 1=

Front

cos²x+sin²x

Back

Intermediate Value Theorem

Front

If f is continuous on [a,b] and k is a number between f(a) and f(b), then there exists at least one number c such that f(c)=k

Back

What does the graph y = cos(x) look like?

Front

Back

0

Front

cos(3π/2)

Back

d/dt[s(t)]=

Front

v(t)

Back

Cosine function

Front

D: (-∞,+∞) R: [-1,1]

Back

-sin(x)

Front

Back

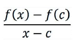
Global Definition of a Derivative

Front

Back

−1/2

Front

cos(4π/3)

Back

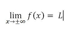
Horizontal Asymptote

Front

Back

d/dx[tanx]=

Front

sec²x

Back

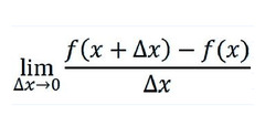
Alternative Definition of a Derivative

Front

f '(x) is the limit of the following difference quotient as x approaches c

Back

d/dx[u/v]=

Front

(vu'-uv')/v^2

Back

d/dx[cscx]=

Front

-cscxcotx

Back

When is an object moving left?

Front

v(t) < 0

Back

Absolute value function

Front

D: (-∞,+∞) R: [0,+∞)

Back

Section 2

(7 cards)

lo dhi minus hi dlo over lolo

Front

Quotient Rule

Back

When is an object slowing down?

Front

a(t) and v(t) have different signs

Back

vu'+uv'

Front

Product Rule

Back

When is an object speeding up?

Front

a(t) and v(t) have same sign

Back

s(b) - s(a)

Front

Displacement

Back

[s(b)-s(a)] / (b - a)

Front

Average Velocity

Back

When does an object change direction?

Front

v(t) changes sign

Back