Algebra 1 Vocabulary EOC

Algebra 1 Vocabulary EOC

memorize.aimemorize.ai (lvl 286)
Section 1

Preview this deck

Rate of change

Front

Star 0%
Star 0%
Star 0%
Star 0%
Star 0%

0.0

0 reviews

5
0
4
0
3
0
2
0
1
0

Active users

0

All-time users

0

Favorites

0

Last updated

6 years ago

Date created

Mar 14, 2020

Cards (62)

Section 1

(50 cards)

Rate of change

Front

Used to describe the measurement of the steepness of a straight line.

Back

Parabola

Front

Graph of a quadratic function

Back

x-intercept

Front

The x coordinate of a point where the graph crosses the x-axis.

Back

Range

Front

Set of all output (y) values you can plug into a function

Back

Linear function

Front

A function whose graph is a line. Same as Linear Equation.

Back

Discrete Graph

Front

The graph composed of isolated (only) points.

Back

Linear Parent Function

Front

y=x

Back

y-intercept

Front

The y coordinate of a point where the graph crosses the y-axis.

Back

Growth factor

Front

The "b" in y=ab^x. The rate at which something is growing or decaying.

Back

Direct Variation

Front

Linear function defined by an equation y=kx where k is not equal to 0.

Back

Proportion

Front

An equation that states that two ratios (fractions) are equal

Back

Positive Slope

Front

When a line increases

Back

Point-Slope Form

Front

A linear equation written as y - y1 = m (x - x1). The line passes through the point ( x1, y1) with slope m.

Back

Continuous graph

Front

A graph that is not broken

Back

Ratio

Front

The comparison of two quantities by division.

Back

Exponential Decay

Front

A situation modeled with a function of the form y=ab^x and 0 < b < 1.

Back

Exponential Growth

Front

A situation modeled with a function of the form y=ab^x and b > 1.

Back

Quadratic Parent Function

Front

y=x^2

Back

Parent Function

Front

The simplest function

Back

Quadratic Equation

Front

an equation with degree of 2

Back

Asymptote

Front

A line that the graph of a function gets closer to as x or y gets larger but never touches

Back

Slope

Front

Steepness of a line

Back

Positive Correlation

Front

The relationship between two sets of data in which both sets of data increase together.

Back

Exponential function

Front

A function that repeatedly multiplies an initial amount by the same positive number. y=ab^x

Back

Slope-Intercept Form

Front

Form of linear equation where m = slope and b = y-intercept.

Back

Perimeter

Front

Distance around a shape.

Back

Function

Front

A relationship where every input value (x) has one and ONLY one output value (y) X does not repeat!

Back

Initial amount

Front

The "a" in y=ab^x . What you begin with (also y-intercept).

Back

Perpendicular Lines

Front

Lines that intersect to form right angles (T)

Back

Solutions

Front

Also called roots, zeros or x-intercepts

Back

Constant of variation

Front

The nonzero constant "k" in the function y=kx

Back

Line

Front

Graph of a linear function

Back

Domain

Front

Set of all input (x) values you can plug into a function

Back

Axis of symmetry

Front

The line that divides a parabola into two matching halves

Back

Negative Slope

Front

When a line decreases

Back

Standard Form

Front

Ax+By=C where A, B, and C are real numbers and A & B are not both zero.

Back

Negative Correlation

Front

The relationship between two sets of data, in which one set of data decreases as the other set of data increases.

Back

Linear equation

Front

An equation whose graph forms a straight line.

Back

Zero Slope

Front

Horizontal Line

Back

Linear Inequality

Front

An inequality in two variables whose graph is a region of the coordinate plane that is bounded by a line. Each point in the shaded region is a solution.

Back

No Correlation

Front

There does not appear to be a relationship between two sets of data

Back

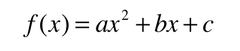
Function notation

Front

To write a rule by using the symbol f(x) in place of y

Back

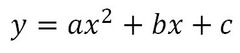
Quadratic Function

Front

A function of the form y=ax^2+bx+c. Shape is a parabola (U-shaped curve) that opens up or down.

Back

Binomial

Front

A polynomial of two terms

Back

Undefined Slope

Front

Vertical Line

Back

Vertex

Front

The minimum or maximum values of quadratic functions. The axis of symmetry intersects the parabola at that point.

Back

Parallel lines

Front

Two lines in the same plane that never intersect (cross)

Back

Relation

Front

Any set of ordered pairs.

Back

Area

Front

Covers the shape.

Back

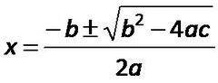
Quadratic formula

Front

if ax^2 + bx + c = 0 and a cannot equal 0, then

Back

Section 2

(12 cards)

Monomial

Front

A real number, a variable, or a product of a real number & other variables

Back

Perpendicular Lines

Front

Lines that have opposite reciprocal slopes. Cross at a 90 degree angle

Back

Trinomial

Front

A polynomial of three terms

Back

Zero

Front

An x-intercept of the graph of a function also called a solution or root.

Back

Solution of system of linear equations

Front

Any ordered pair in a system that makes all the equations true.

Back

Root

Front

A solution of a quadratic equation also called zero and x-intercept.

Back

Reflect

Front

Flips the graph of a function across a line.

Back

System of linear equations

Front

Two or more linear equations using the same variables

Back

Compression

Front

Decrease the distance between two points

Back

Maximum

Front

The y coordinate of the vertex of a parabola that opens downward (highest value).

Back

Stretch

Front

A transformation that increases the distance between corresponding points of a graph.

Back

Minimum

Front

The y coordinate of the vertex of a parabola that opens upward (lowest value).

Back