AP Calculus AB Knowledge cp

AP Calculus AB Knowledge cp

memorize.aimemorize.ai (lvl 286)
Section 1

Preview this deck

When are limits nonexistent?

Front

Star 0%
Star 0%
Star 0%
Star 0%
Star 0%

0.0

0 reviews

5
0
4
0
3
0
2
0
1
0

Active users

0

All-time users

0

Favorites

0

Last updated

6 years ago

Date created

Mar 1, 2020

Cards (35)

Section 1

(35 cards)

When are limits nonexistent?

Front

Limits do not exist when the values of the limits from the left and right are not equal

Back

What is an inflection point?

Front

A point of a curve at which a change in the direction of curvature occurs.

Back

Extreme Value theorem

Front

If f is continuous over a closed interval, then f has maximum an minimum values over that interval.

Back

Derivative of e^x

Front

e^x

Back

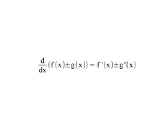
Difference Rule

Front

Function - f - g Derivative - f' − g'

Back

Quotient rule?

Front

(vu'-uv')/v^2

Back

How do you find a Local Extrema?

Front

1. Find the first derivative of f using the power rule. 2. Set the derivative equal to zero or undefined and solve (critical numbers of f). 3. Check for a change in sign of the derivative at the critical numbers.

Back

What does a cusp look like?

Front

When a function becomes vertical and then virtually doubles back on itself.

Back

What are the derivatives of trig functions?

Front

sin(x) = cos (x); cos (x) = -sin(x); tan(x) = sec^2(x)

Back

What is point-slope form?

Front

y = m(x-x1) + y1

Back

What is the derivative of a position function?

Front

Velocity

Back

How do you find the absolute extrema of a function?

Front

Find critical numbers by funding where the first derivative is 0 or undefined, then evaluate end and critical values in f(x)

Back

Where can you not draw a tangent line?

Front

A Corner, Cusp and Jump

Back

Derivative of cosine inverse

Front

- 1/sqrt(1-x^2)

Back

Reciprocal Rule

Front

Function 1/f Derivative −f'/f^2

Back

Limit

Front

A limit is the value that a function or sequence "approaches" as the input or index approaches some value.

Back

Chain Rule

Front

Back

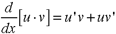
Product Rule

Front

uv'+vu'

Back

What are the 1st and 2nd derivatives of displacement?

Front

velocity and acceleration respectively

Back

What conditions must be to satisfied for the Mean Value Theorem to be valid?

Front

f(x) is continuous in the interval [a, b] and differentiable in the interval (a, b)

Back

Sum Rule

Front

Back

Power Rule

Front

Back

Types of discontinuity

Front

removable, jump, infinite

Back

Derivative of tangent inverse

Front

Back

Product Rule

Front

Back

When does a derivative not exist at 'x' (with a graph)?

Front

Corner Cusp Vertical Tangent Discontinuity

Back

Finding the vertical asymptote

Front

When the denominator of the function equals 0 and the numerator is not zero.

Back

Quotient Rule

Front

Function (f/g) Derivative

Back

How do you find the derivative of an inverse function?

Front

If f and g are inverse functions, then f'(x)=1/(g'(f(x))

Back

When is the second derivative of a function negative?

Front

When the graph of the function is concave down

Back

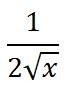
Find the derivative of the square root of f(x)

Front

The derivative of the square root of a function is equal to the derivative of the radical divided by the double of the root.

Back

When is a function decreasing?

Front

When the first derivative is negative

Back

critical points

Front

Is where there is a point in the domain of a function f at which f'=0 or f' does not exist.

Back

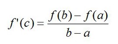
If the appropriate conditions are satisfied, what does the Mean Value Theorem guarantee?

Front

There is at least one point c in the interval (a, b) at which f'(c) = [f(b) - f(a)] / [b - a]

Back

Mean value theorem for derivatives

Front

if f(x) is continuous over [a,b] and differentiable over (a,b), then at some point c is between a and b.

Back