Cumulative Vocab Honors Algebra 2

Cumulative Vocab Honors Algebra 2

memorize.aimemorize.ai (lvl 286)
Section 1

Preview this deck

Column matrix

Front

Star 0%
Star 0%
Star 0%
Star 0%
Star 0%

0.0

0 reviews

5
0
4
0
3
0
2
0
1
0

Active users

0

All-time users

0

Favorites

0

Last updated

6 years ago

Date created

Mar 14, 2020

Cards (75)

Section 1

(50 cards)

Column matrix

Front

consisting of only 1 column

Back

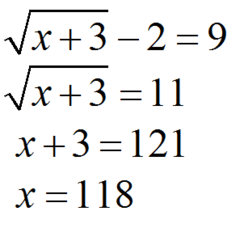
radical sign

Front

Back

composite of 2 functions

Front

an operation that combines 2 or more functions (ie f(g(x)))

Back

joint variation

Front

z = k x y where k is the constant of variation

Back

linear combination

Front

also known as elimination or the adding of 2 linear equations

Back

coefficient

Front

the constant factor in a variable

Back

direct variation

Front

y = mx or y = kx

Back

matrix

Front

a rectangular array of numbers which are called elements

Back

constant

Front

a number

Back

conjunction

Front

a mathematical sentence formed using the word and

Back

function

Front

x values do not repeat, passes the vertical line test

Back

domain of a function

Front

all the x values possible for the function

Back

fractional equation

Front

a variable occurs in the denominator

Back

inverse variation

Front

y = k/x where k is the constant of variation

Back

exponential equation

Front

a variable appears as an exponent

Back

discriminant

Front

b^2 - 4ac of a quadratic equation and determines the nature of the roots

Back

monomial

Front

a constant, variable or product of a constant and 1 or more variables

Back

completing the square

Front

changing the form of a quadratic equation to make the left side a trinomial square

Back

like radicals

Front

have the same index number and radicand

Back

median

Front

middle number of data in numerical order

Back

mode

Front

number that occurs the most in a set of data

Back

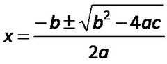
Quadratic formula

Front

allows you to calculate the solution to any quadratic equation

Back

factor a polynomial

Front

the simplified product of other polynomials

Back

Conjugate

Front

where 2 binomials are identical except for the middle operation (ie. a + bi & a - bi) the product is a difference of squares

Back

disjunction

Front

a mathematical sentence formed using the word or

Back

polynomial

Front

a monomial or sum of monomials

Back

quadratic equation in 1 variable

Front

ax^2 + bx + c = 0

Back

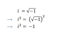
imaginary number

Front

i = square root of -1

Back

equation

Front

mathematical sentence with an equal sign

Back

Axes

Front

x & y axis intersecting at the origin (0,0)

Back

quadratic form

Front

an equation that can be rewritten in the form A[f(x)]^2 + B[f(x)] + C = 0

Back

LCM

Front

the smallest positive monomial that all your terms will divide evenly into

Back

prime factorization

Front

writing a positive integer as a product of prime numbers

Back

mean

Front

average

Back

Linear function

Front

f(x) = mx + b

Back

GCF

Front

the largest expression that divides evenly into all of the terms

Back

exponent

Front

how many times the base occurs as a factor

Back

empty set

Front

no solution

Back

extraneous solution

Front

appears to be a solution but does not make the equation true

Back

open sentence

Front

a mathematical sentence that contains 1 or more variables

Back

complex fraction

Front

a fraction with numerator and/or denominator having 1 or more fractions or powers with negative exponents

Back

quotient

Front

the result of division

Back

Standard form of linear equation

Front

Ax + By = C

Back

binomial

Front

a polynomial with 2 terms

Back

degree of a polynomial

Front

the largest degree of its terms after its been simplified

Back

Absolute value

Front

the distance from 0 on the number line

Back

complex number

Front

where you have a real & imaginary part (a + bi)

Back

Base of a power

Front

the repeated factor of the power

Back

cube root

Front

the cube root of a number b is a solution to the equation or expression

Back

parabola

Front

a set of points equidistant from the line of symmetry and also has a vertex

Back

Section 2

(25 cards)

simplified polynomial

Front

a polynomial in which no two terms are similar and cannot be reduced any further

Back

Descartes rules is used to...

Front

determine the nature of the roots of higher degree polynomials P(x) = 0 and P(-x) = 0 with a given polynomial. Create your chart

Back

when dividing rational expression

Front

you keep the first fraction the same, change division to multiplication and flip the next fraction. You DO NOT need a common denominator

Back

vertex of a parabola

Front

(H, K)

Back

rational function

Front

a function defined by a simplified rational expression in 1 variable

Back

equation solver

Front

Using your calculator program to determine real roots of a polynomial where there are sign changes in the y - values to determine where the root will fall between the x-values. Usually rounded to the nearest tenth.

Back

radical equation

Front

Contains a variable within a radical

Back

Slope

Front

Rate of change

Back

solving with a variable in the exponent

Front

you must make sure that both bases are the same on either side of the = sign, then you can set the exponents = to each other and solve

Back

h/k is used for what?

Front

to find all the possible rational roots of a polynomial

Back

trinomial

Front

a polynomial with 3 terms

Back

Domain of a rational expression

Front

set the denominator = 0 and find what values x cannot = b/c it will make the expression undefined. Cannot divide by 0

Back

RREF

Front

reduced row echelon form - use of matrices and solving a system of equations on the calculator using this tool

Back

questions to ask yourself when factoring

Front

1. is there a gcf 2. is there a special case 3. how can I factor - by grouping or guess and check

Back

What do you know about imaginary roots

Front

they come in conjugate pairs

Back

Rationalizing

Front

This means you cannot have a radical or imaginary number in the denominator and need to multiply by a form of 1, usually the conjugate of the denominator

Back

root

Front

solution that satisfies the equation

Back

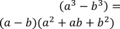
Difference of cubes

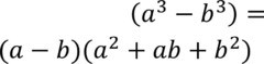
Front

a^3 - b^3 = (a-b)(a^2 + ab + b^2)

Back

Sum of cubes

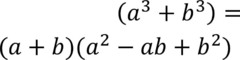
Front

a^3 + b^3 = (a+b)(a^2 - ab + b^2)

Back

logarithm

Front

see picture

Back

synthetic division

Front

Back

range of a function

Front

The y - values of a function

Back

Zeros of a rational expression

Front

set the numerator = to 0 and solve to find the values for zero

Back

Adding rational expression

Front

you must have a common denominator for all fractions

Back

How do you write a quadratic equation knowing R1 and R2

Front

You take R1 + R2 and the opposite is your b in your quadratic and R1 (R2) is your C term in your quadratic equation. If you have fractions, you need to multiply through by the LCM

Back