AP Calculus BC Equations

AP Calculus BC Equations

memorize.aimemorize.ai (lvl 286)
Section 1

Preview this deck

Riemann Sums (area under the curve)

Front

Star 0%
Star 0%
Star 0%
Star 0%
Star 0%

0.0

0 reviews

5
0
4
0
3
0
2
0
1
0

Active users

0

All-time users

0

Favorites

0

Last updated

6 years ago

Date created

Mar 1, 2020

Cards (70)

Section 1

(50 cards)

Riemann Sums (area under the curve)

Front

- LRAM, RRAM, or MRAM - inscribed = under curve - circumscribed = above curve

Back

Absolute/Relative Maximums & Minimums

Front

- when y' = 0 or DNE (critical points at x values) - check endpoints on a closed interval!!! - inc when y' > 0, dec when y' < 0 (sign analysis)

Back

Interest Compounded n times per year

Front

Back

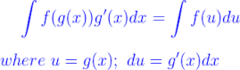
u Substitution

Front

- use if one function is the derivative of another - if one function is in denominator, use that one as u

Back

Integration by Separation of Variables

Front

- get y and dy on one side, x and dx on another - integrate!

Back

Work

Front

Work = integrate F over d F = kx (k is force constant you need to find, x is distance you stretch/compress)

Back

Logarithmic Differentiation

Front

- ex. y = x^x - take ln of both sides (power [x] goes in front b/c of log properties) - differentiate implicitly (get y' by itself) - make sure to substitute y in terms of x back into the answer (in this case, y = x^x)

Back

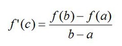
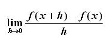
Definition of Derivative

Front

Back

Law of Exponential Change/Interest Compounded Continuously

Front

A changes at a rate proportional to amount present

Back

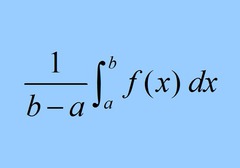
Average Value Theorem (Mean Value Theorem for Integrals)

Front

Back

Law of Cosines

Front

c² = a² + b² - 2abcosC

Back

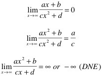
Limits

Front

Back

Concavity/Points of Inflection

Front

- conc up when y'' > 0, conc dn when y'' < 0 - possible POI when y'' = 0 (sign analysis)

Back

2nd Derivative Test for Local Extrema

Front

- if f'(c) = 0 and f''(c) < 0 (conc dn), then y has local max at c - if f'(c) = 0 and f''(c) > 0 (conc up), then y has local min at c

Back

Area of a Trapezoid (used in TRAP)

Front

A = h(b1 + b2)/2

Back

Implicit Differentiation

Front

- take derivative of all terms (derivative of a constant is 0) - get all terms with y' on one side and factor y' out - divide both sides by terms that do not contain y'

Back

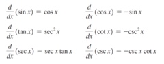
Trig Derivatives

Front

don't forget chain rule!

Back

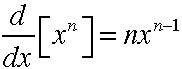
Power Rule

Front

Back

Area and Volume Formulas

Front

cone: V = 1/3πr²h sphere: V = 4/3πr³ square: A = 1/2d² eq. triangle: A=(s²√3)/4

Back

Chain Rule

Front

Back

Disk Method (Volume)

Front

- flat against axis of rotation - if not rotating around axis, MAKE SURE TO INCLUDE NUMBER IN RADII

Back

Integrating velocity gives you

Front

net change in position (NOT total distance travelled --- need to split integral where v = 0 to find total distance)

Back

Cylindrical Shells Method (Volume)

Front

- around y-axis: r = x - around x axis: r = y - if axis of rotation shifts, only r changes (not H)

Back

Natural Logarithmic Integral

Front

Back

Power Reduction Identities

Front

Back

Particle at rest when

Front

v(t) = 0

Back

Tabular Method

Front

- only when u is algebraic - take derivatives of u until 0 - take integrals of v - alternate signs when connecting

Back

Antiderivative

Front

Back

Euler's Method

Front

CHART: (x, y) I dx I dy/dx I dy I New Pt. (x + dx, y + dy)

Back

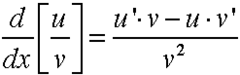
Quotient Rule

Front

Back

Product Rule

Front

Back

Inverse Trig Derivatives

Front

don't forget chain rule!

Back

Logistic Differential Equation

Front

dP/dt = kP(M-P) - fastest rate of growth is at 1/2 carrying capacity (M) P = M/(1+Ae^[-Mkt])

Back

Integration Evaluation Theorem

Front

Back

Integration by Parts

Front

use LIATE (log, inverse trig, algebraic [polynomial], trig, exponential)

Back

Exponential/Logarithmic Derivatives

Front

don't forget chain rule!

Back

Partial Fractions

Front

- use if u substitution doesn't work - power on bottom needs to be smaller than top (if not, use long division)

Back

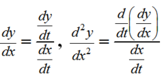
Parametric Derivative (1st and 2nd)

Front

y goes over x!!!

Back

Trig Integrals

Front

don't forget to divide by chain rule!

Back

Related Rates

Front

- differentiate each variable with respect to t (NOT x) - given info at one point in order to solve problem - ladder does not change length! (dl/dt = 0) - LOOK AT EXAMPLES

Back

Cross Sections (Volume)

Front

- find a formula for A(x) - find limits of integration - integrate A(x) to find volume

Back

Slope Fields

Front

- slopes are of the derivative - graph looks like the original (antiderivative)

Back

Mean Value Theorem

Front

there must be a point at x = c where the slope of the tangent line is the same as the slope of the secant line on a closed interval

Back

Position, Velocity, and Acceleration

Front

Back

Exponential Integral

Front

Back

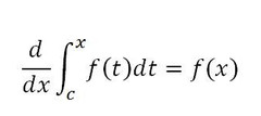
Fundamental Theorem of Calculus

Front

- taking a derivative of an integral w/ limits from a constant to x - gives you the original - make sure to multiply by chain rule!

Back

Area Between Curves in the Plane

Front

integral of (top - bottom)dx OR integral of (right- left)dy

Back

Washer Method (Volume)

Front

- not flat against axis of rotation (a gap) - if not rotating around axis, MAKE SURE TO INCLUDE NUMBER IN RADII

Back

Double Angle Identity

Front

Back

Linearization

Front

- tangent line - use to find values around given point

Back

Section 2

(20 cards)

Rectangular to Polar, Polar to Rectangular

Front

Back

Truncation Error

Front

- for geometric series: next term - for sinx and cosx: (1)(next term) - for e^x: (e^value)(next term)

Back

Infinite MacLaurin Series for Geometric

Front

1/(1-x) = 1 + x + x^2 + ... + x^n + ... 1/(1+x) = 1 - x + x^2 - ... + (-1)^n x^n + ... - these only work when IxI < 1

Back

Alternating Series Test

Front

- use this on endpoints of a series that converges absolutely - converges conditionally if: 1. each u(sub)n is positive; 2. u(sub)n > or = u(sub)n+1; and 3. lim n->∞ u(sub)n = 0 - need to try other tests before this one

Back

Distance Travelled (Velocity Vector)

Front

int. from a to b of (√(v1(t))^2 + (v2(t))^2)dt

Back

Slope of a Polar Curve

Front

NOT dr/d(theta)

Back

Improper Integrals

Front

- replace ∞, -∞, or a value that makes integrand DNE with b - take limit as x approaches it - value = converges, ∞ or -∞ diverges

Back

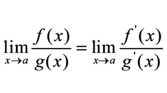
L'Hopital's Rule

Front

- use if you get an indeterminate form (0/0, ∞/∞, (∞)(0), ∞-∞, 1^∞, 0^0, ∞^0) - can only apply on fractions - if you get 1^∞, 0^0, ∞^0, need to take ln first to get to fraction form, and then at the end the answer is e^L (if you get L as answer)

Back

nth Term Test for Divergence

Front

Back

Length of a Smooth Curve (Parametric)

Front

Back

P-series test

Front

Back

Integral Test

Front

if integral converges or diverges, original does the same thing

Back

Limit Comparison Test/Direct Comparison Test

Front

- if c, then do same thing - if 0 and bottom function converges, then top function converges too - if ∞ and bottom function diverges, then top function diverges too

Back

Taylor Series

Front

- centered at x = a - don't forget to divide by factorials

Back

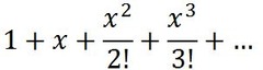
Infinite MacLaurin Series for e^x

Front

- nth term: x^n/n! - only when centered at x = 0 - works for all real x

Back

Infinite MacLaurin Series for cosx and sinx

Front

- only when centered at x = 0 - works for all real x

Back

Ratio Test

Front

- converges if L < 1 - diverges if L > 1 - inconclusive if L = 1 - if n is left on bottom, converges from (-∞, ∞) - if n is left on top, converges only at center point (R = 0)

Back

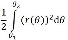
Area of a Polar Curve

Front

Back

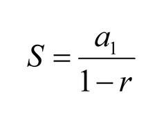
Sum of Infinite Geometric Series

Front

converges when -1 < r < 1

Back

Length of a Smooth Curve

Front

- can use x or y values w/ respect to different variables

Back