Section 1

Preview this deck

Distillation

Front

Star 0%
Star 0%
Star 0%
Star 0%
Star 0%

0.0

0 reviews

5
0
4
0
3
0
2
0
1
0

Active users

0

All-time users

1

Favorites

0

Last updated

6 years ago

Date created

Mar 1, 2020

Cards (232)

Section 1

(50 cards)

Distillation

Front

Depends on differences in volatility

Back

1 standard atmosphere

Front

1 atm, 760 mm Hg, 760 torr, 101,325 Pa

Back

Dalton's Atomic Theory

Front

Each element is made up of tiny particles called atoms. The atoms of a given element are identical. Chemical compounds are forms when atoms of different elements combine with each other. Chemical reactions involve reorganization of the atoms (changes in the way they are bound together.)

Back

Rutherford

Front

Gold Foil Experiment, discovered nuclei, atoms have a lot of space

Back

Dilution Formula

Front

M1V1 = M2V2

Back

Density

Front

mass / volume

Back

Heat

Front

Transfer of energy with temperature

Back

Work

Front

Force acting over a distance

Back

Boyle's Law

Front

P1V1 = P2V2

Back

Arrhenius base

Front

Produces OH- in water

Back

Potential energy

Front

Energy from position or composition

Back

Oxidation

Front

Loss of electrons (LEO)

Back

Precipitation reaction

Front

An insoluble substance is formed as a result of the reaction

Back

Molarity

Front

moles / L

Back

STP Conditions

Front

0 degrees Celsius, 22.4 L

Back

Solubility Rules Exceptions

Front

Calcium, Barium, Strontium, Mercury, Silver, Lead (Sulfates) Mercury, Silver, Lead (Halogens)

Back

Solubility Rules

Front

Chlorates, Acetates, Sulfates, Halogens, Nitrates, Group IA

Back

Charles's Law

Front

V1 / T1 = V2 / T2

Back

Law of conservation of mass

Front

Mass is neither created nor destroyed

Back

Strong Bases

Front

All Group IA elements with OH- Ca(OH)2, Sr(OH)2, Ba(OH)2,

Back

Weak Electrolytes

Front

Conduct currents very weakly

Back

Pressure

Front

force / area

Back

Millikan

Front

Oil Drop Experiment, determined mass and magnitude of the electron

Back

Root mean square velocity

Front

Average velocity of gas particles

Back

Endpoint

Front

Indicator changes color

Back

Spectator ions

Front

Ions that do not participate in the reaction

Back

Redox reaction

Front

Electrons are transferred

Back

Ideal Gas Law

Front

PV = nRT

Back

Filtration

Front

Separating a solid from a liquid

Back

Strong Acids

Front

HF, HBr, HCl, HClO4, HI, HClO3, HNO3

Back

Effusion

Front

Gas into a vacuum

Back

Strong Electrolytes

Front

Good conductors, easily ionized

Back

Bronsted-Lowry acid

Front

Proton donor

Back

Types of Chemical Reactions

Front

Precipitation reactions, Acid-Base reactions, and Redox reactions

Back

Diffusion

Front

Mixing of gases

Back

Lewis acid

Front

Electron pair donor

Back

Lewis base

Front

Electron pair acceptor

Back

Law of conservation of energy

Front

Energy can be converted but never destroyed

Back

Oxidizing agent

Front

Causes oxidation (is often reduced)

Back

Reducing agent

Front

Causes reduction (is often oxidized)

Back

Bronsted-Lowry base

Front

Proton acceptor

Back

Reduction

Front

Gain of electrons (GER)

Back

Dalton's law of partial pressures

Front

Ptotal = P1 + P2 + P3...

Back

Kinetic energy

Front

Energy from motion

Back

Graham's law of effusion

Front

Back

Equivalence point

Front

Enough titrant added to analyte

Back

KMT

Front

Volume of individual particles is negligible Particles are in constant motion Particles exert no forces on each other Collisions of particles with container walls are cause of pressure from gas

Back

Arrhenius acid

Front

Produces H+ (H3O+) in water

Back

JJ Thomson

Front

Cathode Ray, discovered the electron

Back

Chromatography

Front

Separating substances through differences in rates

Back

Section 2

(50 cards)

Calorimetry equation

Front

q = mCAT

Back

Hybridization of a trigonal planar shape?

Front

sp2

Back

Dual nature of light

Front

Light acts as a wave and as particulate matter

Back

Types of electromagnetic radiation (smallest to largest)

Front

gamma, X-rays, UV, visible, IR, micro, radio

Back

Dipolar or dipole moment

Front

Has center of positive and center of negative charge

Back

Endothermic

Front

Energy into the system

Back

First law of thermodynamics

Front

The energy of the universe is constant

Back

Electronegativity

Front

Ability of an atom in a molecule to attract shared electrons to itself

Back

Number of nonbonding pairs in a bent shape?

Front

1

Back

Pauli exclusion principle

Front

Electrons with the same spin cannot occupy the same space

Back

Hybridization of a tetrahedral shape?

Front

sp3

Back

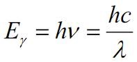
Energy of a photon equation

Front

Planck's constant x speed of light / frequency

Back

Heat capacity

Front

heat absorbed / increase in temperature

Back

Bond angle of a bent shape?

Front

<120

Back

Electron affinity

Front

Energy change associated with the addition of an electron to a gaseous atom

Back

Ionization energy trend

Front

Increases across a period (electron shielding not complete), decreases down a group (more electron shielding)

Back

Localized electron model parts

Front

Lewis diagram, VSEPR model (geometry), type of atomic orbitals

Back

Bond angle of a linear shape?

Front

180

Back

Standard enthalpy of formation

Front

change in enthalpy with formation of one mole of compound from its elements

Back

Change in enthalpy for reaction

Front

sum of heat of formations of products - sum of heat of formations of reactions

Back

Atomic radius trend

Front

Decreases across a period (more effective nuclear charge), increases down a group (more electron shielding)

Back

Bond angle of a trigonal planar shape?

Front

120

Back

Ionization energy

Front

Energy required to remove a valence electron from an atom

Back

Hund's rule

Front

Different electrons to different orbitals, same spin

Back

Lattice energy

Front

Change in energy when separated gas ions form an ionic solid Equation: LE = k(Q1Q2 / r) k is proportionality constant, Q is charge of ions, r is shortest distance between centers of ions

Back

Types of electromagnetic radiation (largest to smallest)

Front

radio, micro, IR, visible, UV, X-rays, gamma

Back

Hybridization of a linear shape?

Front

sp

Back

de Broglie's equation

Front

Wavelength of a particle

Back

Photoelectric effect

Front

Effect occurring when electrons are emitted from the surface of a metal when light strikes it

Back

Lone pairs

Front

Pairs of electrons localized

Back

Localized electron model

Front

Molecule is composed of atoms bound together by sharing pairs of electrons

Back

Bond energy

Front

Energy needed to break bond

Back

Heisenberg Uncertainty Principle

Front

We cannot know both the position and momentum of an electron (the more we know one, the less we know the other)

Back

Enthalpy (delta H)

Front

delta H = delta E + P(delta V)

Back

Resonance

Front

More than one valid Lewis structure

Back

Exothermic

Front

Energy out of the system

Back

Covalent bonding

Front

Electrons are shared by nuclei

Back

Internal energy (delta E)

Front

delta E = q + w

Back

Hess's Law Rules

Front

If a reaction is reversed, the sign of delta H is reversed delta H is proportional to the quantities of reactions and products

Back

Number of bonds in a bent shape?

Front

2

Back

Frequency

Front

number of cycles per second

Back

Basic wave equation

Front

speed of light = wavelength x frequency

Back

Coulomb's law

Front

Energy of interaction between a pair of ions

Back

Number of bonds in a trigonal planar shape?

Front

3

Back

Diffraction

Front

Light is scattered from points or lines

Back

Number of bonds in a linear shape?

Front

2

Back

Hybridization of a bent shape?

Front

sp2

Back

Aufbau principle

Front

Progressively add electrons to each sub level

Back

Wavelength

Front

distance between two peaks or troughs in a wave

Back

Bond angle of a tetrahedral shape?

Front

109.5

Back

Section 3

(50 cards)

Bond angle of a T-shape?

Front

<90

Back

Hydrogen bond

Front

Special type of dipole, hydrogen with N, F, or O atom

Back

Bond angle of a trigonal pyramidal shape?

Front

<109.5

Back

Sigma bond

Front

Bond between the s orbitals

Back

Number of nonbonding pairs in a linear (2) shape?

Front

3

Back

Bond angle of a V shape?

Front

<109.5

Back

Nonpolar covalent bond

Front

Equal sharing of electrons

Back

Electronegativity differences

Front

Nonpolar covalent (0-0.5), polar covalent (0.5-2.0), ionic (above 2.0)

Back

Ionic bond

Front

Transfer of electrons

Back

Bond angle of a see-saw shape?

Front

<120, <90

Back

Number of nonbonding pair in a square planar shape?

Front

2

Back

Metallic bond

Front

Delocalized electron

Back

Hybridization of a T-shape?

Front

sp3d

Back

Alloy

Front

Contains a mixture of elements and has metallic properties

Back

Number of nonbonding pairs in a trigonal pyramidal shape?

Front

1

Back

Pi bond

Front

Bond between the p orbitals

Back

Hybridization of a V shape?

Front

sp3

Back

Number of bonds in a T-shape?

Front

3

Back

Hybridization of a trigonal bipyramidal shape?

Front

sp3d

Back

Number of bonds in a linear (2) shape?

Front

2

Back

Number of nonbonding pairs in a square pyramidal shape?

Front

1

Back

Vapor pressure

Front

Pressure of vapor at equilibrium

Back

Bond angle of an octahedron?

Front

90

Back

Number of bonds in a see-saw shape?

Front

4

Back

Hybridization of a square pyramidal shape?

Front

sp3d2

Back

Number of nonbonding pairs in a see-saw shape?

Front

1

Back

Hybridization of a trigonal pyramidal shape?

Front

sp3

Back

Number of bonds in a tetrahedral shape?

Front

4

Back

Number of nonbonding pairs in a T-shape?

Front

2

Back

Temperature and vapor pressure?

Front

Vapor pressure increases significantly with temperature

Back

Interstitial alloy

Front

Small atoms in holes

Back

Hybridization of a square planar shape?

Front

sp3d2

Back

Bond angle of a square planar shape?

Front

90

Back

Bond angle of a linear (2) shape?

Front

180

Back

Hybridization of a linear (2) shape?

Front

sp3d

Back

Polar covalent bond

Front

Unequal sharing of electrons

Back

Number of bonds in a square planar shape?

Front

4

Back

Number of a bonds in a V shape?

Front

2

Back

Bond angle of a square pyramidal shape?

Front

<90

Back

Hybridization of a see-saw shape?

Front

sp3d

Back

Number of bonds in a square pyramidal shape?

Front

5

Back

Number of nonbonding pairs in a V shape?

Front

2

Back

Bond angles of a trigonal bipyramidal shape?

Front

120, 90

Back

Substitutional alloy

Front

Metal atoms replaced by metal atoms of same size

Back

Number of bonds in an octahedron?

Front

6

Back

London dispersion forces

Front

Between non polar molecules

Back

Hybridization of an octahedron?

Front

sp3d2

Back

Number of bonds in a trigonal pyramidal shape?

Front

3

Back

Number of bonds in a trigonal bipyramidal shape?

Front

5

Back

IMFs and vapor pressure?

Front

High IMFs --> low vapor pressure, Low IMFs --> high vapor pressure

Back

Section 4

(50 cards)

Coagulation

Front

Destruction of colloid by heating or adding electrolyte

Back

Reaction rate

Front

Change of concentration over time (Rate = delta [A] / delta t)

Back

Zero order slope

Front

Slope = -k

Back

Positive deviation from Raoult's law

Front

Less IMFs, more molecules escape, higher vapor pressure

Back

Zero order rate law

Front

Rate = k

Back

Crystalline solids

Front

Components organized in a lattice

Back

Heat of solution

Front

Enthalpy change formation of a solution, sum of enthalpy values from each step

Back

Negative deviation from Raoult's law

Front

More IMFs, lower vapor pressure

Back

Second order integrated rate law

Front

1/[A] = kt + 1/[A]0

Back

Henry's Law

Front

Amount of gas dissolved proportional to pressure of gas above solution

Back

First order slope

Front

Slope = -k

Back

Second order half life

Front

t1/2 = 1 / k[A]0

Back

First order rate law

Front

Rate = k[A]

Back

Rate law

Front

Rate depends on concentration

Back

Raoult's Law

Front

Nonvolatile solute simply dilutes the solvent

Back

A + A + B --> products

Front

Rate = k[A]2[B]

Back

Critical pressure

Front

Pressure required to produce liquefaction at the critical temperature

Back

Critical temperature

Front

Temperature above which vapor cannot be liquefied no matter the pressure

Back

Tyndall effect

Front

Scattering of light by particles

Back

Negative delta H

Front

Energy released

Back

First order plot

Front

ln[A] vs. t

Back

Second order rate law

Front

Rate = k[A]2

Back

Sublimation

Front

Solid directly to gas

Back

Zero order plot

Front

[A] vs. t

Back

A + B --> products

Front

Rate = k[A][B]

Back

Integrated rate law

Front

Concentrations depends on time

Back

A + A --> products

Front

Rate = k[A]2

Back

A + B + C --> products

Front

Rate = k[A][B][C]

Back

Reaction mechanism

Front

Series of steps

Back

Surface area and rate

Front

More surface area increases rate

Back

Temperature and solubility

Front

Increases solubility of solid, decreases solubility of gases

Back

Pressure and solubility

Front

Increases solubility of a gas

Back

First order integrated rate law

Front

ln[A] = - kt + ln[A]0

Back

Zero order half life

Front

t1/2 = [A]0 / 2k

Back

Positive delta H

Front

Energy absorbed

Back

Second order plot

Front

1/[A] vs. t

Back

Second order slope

Front

Slope = k

Back

Heat of fusion

Front

Enthalpy change which occurs at the melting point when a solid melts

Back

Zero order integrated rate law

Front

[A] = -kt + [A]0

Back

Triple point

Front

Where all three states exist

Back

Colloid

Front

Suspension of particles

Back

A --> products

Front

Rate = k[A]

Back

Colligative properties

Front

Freezing point depression, boiling point elevation, osmotic pressure

Back

Phase diagram

Front

Representation of phases of a substance

Back

Amorphous solids

Front

Components frozen in place with no arrangement

Back

Catalyst

Front

Increases rate of reaction but not consumed

Back

Initial rate

Front

Instantaneous rate after reaction begins

Back

Critical point

Front

Critical temperature and critical point

Back

Temperature and rate

Front

Higher temperature increases rate

Back

First order half life

Front

t1/2 = 0.693 / k

Back

Section 5

(32 cards)

Ksp

Front

Solubility product

Back

Common ion effect

Front

Shift in equilibrium because of addition of common ion

Back

Percent dissociation

Front

Amount dissociated M / initial concentration M x 100%

Back

Henderson Hasselbach Equation

Front

Used to find the pH of a buffer

Back

How to change the pressure of a reaction system?

Front

Add or remove gas, add an inert gas, change volume

Back

Amphoteric

Front

Can behave as an acid or a base (water)

Back

Ka

Front

Acid dissociation constant

Back

Acid-base indicator

Front

Changes color at the end point (not same as equivalence point)

Back

Q = k

Front

Equilibrium, no shift

Back

pH

Front

-log[H+]

Back

Bond strength and acid strength

Front

Less bond strength, more acid strength

Back

Monoprotic acids

Front

One acidic proton

Back

Buffer

Front

Resists a change in pH

Back

pH of indicator

Front

Ka/[H+] = [In-]/[HIn] = 1/10, ratio reversed for bases

Back

Strong acid-strong base titration curve

Front

Equivalence point is 7

Back

pK

Front

-logK

Back

Rate determining step

Front

Slowest step

Back

Polyprotic acids

Front

Dissociates in a stepwise manner, find Ka of each step

Back

pOH

Front

-log[OH-]

Back

Weak acid-strong base titration curve

Front

Equivalence point is greater than 7, has a halfway equivalence point

Back

Q < k

Front

Shift to products

Back

Le Chatlier's Principle

Front

Change imposed, equilibrium shifts to lessen change

Back

Strong acid

Front

Equilibrium is far to the right, has weak conjugate base

Back

pH of strong acids

Front

Depends on concentration of H+ ions

Back

More product added

Front

Shift to reactants

Back

More reactant added

Front

Shift to product

Back

Kw

Front

Water dissociation constant

Back

Equilibrium expression

Front

Products raised to coeffs over reactants raised to coeffs

Back

pH of weak acids

Front

Find Ka and use an ice chart

Back

Reaction mechanism requirements

Front

Sum must give balanced equation, mechanism must agree with rate law

Back

Weak acid

Front

Equilibrium is far to the left

Back

Q > k

Front

Shift to reactants

Back