Section 1

Preview this deck

Proton

Front

Star 0%
Star 0%
Star 0%
Star 0%
Star 0%

0.0

0 reviews

5
0
4
0
3
0
2
0
1
0

Active users

0

All-time users

0

Favorites

0

Last updated

6 years ago

Date created

Mar 1, 2020

Cards (147)

Section 1

(50 cards)

Proton

Front

One unit of positive charge. Approximately one dalton. Located in nucleus.

Back

Molecule

Front

Two or more atoms held together by covalent bonds.

Back

Products

Front

The resulting material of a chemical reaction.

Back

Ionic Compounds

Front

Or Salts. Compounds formed by ionic bonds.

Back

Double Bond

Front

Sharing two pairs of valence electrons.

Back

Isotopes

Front

Same number of protons, but different number of neutrons and therefore different mass. Same element.

Back

organic chemistry

Front

The study of carbon & hydrogen compounds (organic compounds).

Back

Electron Shells

Front

Where electrons are found, each with characteristic average distance and energy level. Electrons can change these by absorbing or losing energy.

Back

Atomic Nucleus

Front

Dense core packed with protons and neutrons.

Back

Chemical Equilibrium

Front

The point at which the relative concentrations of the products and the reactants stop changing and offset one another exactly.

Back

Ionic Bonds

Front

The attraction of cations and anions. The transfer of electrons creates ions which form an ionic bond.

Back

isomer

Front

One of several compounds with the same molecular formula but different structures and therefore different properties. The three types are structural, geometric, and enantiomers.

Back

Polar Covalent Bond

Front

Where one atom is bonded to a more electronegative atom and the electrons of the bond are not shared equally.

Back

testosterone

Front

Asteroid hormone required for development of the male reproductive system, spermatogenesis, and male secondary sex characteristics; the major androgen in mammals.

Back

Valence

Front

Bonding capacity. Equal to the number of unpaired electrons required to complete the outermost (valence) shell.

Back

functional groups

Front

A specific configuration of atoms commonly attached to the carbon skeletons of organic molecules and involved in chemical reactions.

Back

Element

Front

Substance that cannot be broken down to other substances through chemical reactions. Each has a symbol. 92 occurring in nature.

Back

Covalent Bond

Front

Sharing of a pair of valence electrons by two atoms.

Back

Potential Energy

Front

Energy matter possesses because of its location or structure. Electrons have this based on distance from nucleus.

Back

Neutrons

Front

Electrically neutral. Approximately one dalton.

Back

Chemical Bonds

Front

The attraction that holds atoms together during an interaction.

Back

Electronegativity

Front

The attraction of a particular kind of atom for the electrons of a covalent bond.

Back

enantiomer

Front

One or two compounds that are mirror images of each other and that differ in shape due to the presence of an asymmetric carbon. (MIRROR IMAGE)

Back

Structural Formula

Front

H--H. Notation which represents both atoms and bonding.

Back

Nonpolar Covalent Bond

Front

Covalent bond in which electrons are shared equally.

Back

geometric isomer

Front

One of several compounds that have the same molecular formula and covalent bonds between atoms but differ in the spatial arrangements of their atoms owing to the inflexibility of double bonds (DIFFERENT ARRANGEMENT)

Back

Matter

Front

Anything that takes up space and has mass.

Back

Cation

Front

A positively charged atom.

Back

Atomic Number

Front

The number of protons (which is unique to that element) and written as a subscript to left of element symbol. Also tells us number of electrons since P=E if atom is neutral

Back

Trace Elements

Front

Required by an organism only in minute quantities.

Back

Hydrogen Bond

Front

When a hydrogen atom covalently bonded to an electronegative atom is also attracted to another electronegative atom.

Back

hydrocarbon

Front

An organic molecule consisting only of carbon and hydrogen.

Back

Atom

Front

Smallest unit of matter that retains the properties of an element. Composed of subatomic particles. Mostly empty space.

Back

Compound

Front

Substance consisting of two or more different elements combined in a fixed ratio. *Characteristics different than those of its elements

Back

Mass Number

Front

Sum of the protons and the neutrons. An approximation of the atomic mass.

Back

Ion

Front

A charged atom.

Back

estradiol

Front

A steroid hormone that stimulates the development and maintenance of the female reproductive system and secondary sex characteristics; the major estrogen in mammals.

Back

Energy

Front

Capacity to cause change

Back

Subatomic particles

Front

Neutrons, protons, electrons. Make up atoms.

Back

Molecular Shape

Front

Determines how biological molecules recognize and respond to one another.

Back

Electron

Front

One unit of negative charge. Located outside of nucleus.

Back

Radioactive Isotope

Front

One in which the nucleus decays spontaneously, giving off particles and energy. Can decay to a different element. Have useful applications.

Back

Reactants

Front

The starting materials of a chemical reaction.

Back

CHON

Front

4 elements essential to life

Back

carbon

Front

this atom has 4 electrons in valence shell and can form 4 covalent bonds with other atoms

Back

Anion

Front

A negatively charged atom.

Back

structural isomer

Front

One or several compounds that have the same molecular formula but differ in the covalent arrangement of their atoms. (DIFFERENT SHAPE)

Back

Valence Electrons

Front

Electrons in the outermost shell.

Back

van der Waals Interactions

Front

Ever changing regions of positive and negative charge that enable all atoms and molecules to stick to one another.

Back

Single Bond

Front

One pair of shared electrons.

Back

Section 2

(50 cards)

Cellulose

Front

Polymer of β glucose monomers that is found in plant cell walls

Back

Sickle cell anemia

Front

In this disease, one amino acid at the primary level (valine) replaces glutamic acid and the result is a distorted shape at the subsequent levels.

Back

Metabolism

Front

All the chemical conversions that occur within a cell Metabolism = anabolism + catabolism

Back

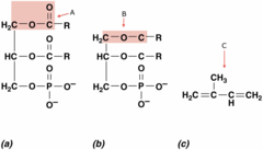
aldehyde group

Front

A chemical group consisting of a carbon double bonded to oxygen and single bonded to hydrogen (must be at end of chain)

Back

HDL

Front

Good cholesterol is called ___ ____________. HINT: Keep your ____ HIGH :-)

Back

3D structure

Front

The amino acid sequence ultimately determine the __ _________ of proteins.

Back

Monosaccharide

Front

The monomer in a carbohydrate is a(n) ______________. EX: Glucose

Back

ketone group

Front

A chemical group consisting of a carbon double bonded to oxygen (must be in middle of chain)

Back

Unsaturated fats

Front

Fats with one or more double covalent bonds, which is less likely to solidify and more flexible.

Back

amino group

Front

A chemical group consisting of a nitrogen atom bonded to two hydrogen atoms can act as a base in solution, accepting a hydrogen ion and acquiring a charge of 1⁺

Back

sulfhydryl group

Front

A chemical group consisting of a sulfur atom bonded to a hydrogen atom.

Back

α glucose

Front

Starch and glycogen are polymers of ________ molecules.

Back

Polymers

Front

Lipids are the only large biological molecules that do not form __________.

Back

Glycogen; starch

Front

Stored carbohydrate in an animal is called ________; in a plant, it is ______.

Back

Tertiary

Front

At the ________ level of protein structure, various chemical associations in precise regions of a polypeptide cause it to fold into a 3D shape that will determine its function.

Back

Hydrolysis

Front

Pocess that is the reverse of dehydration synthesis. In __________, or water breakage, the bond between monomers is broken by the addition of a water molecule.

Back

LDL

Front

The bad cholesterol, which can harden in arteries. HINT: Keep your ____ LOW :-)

Back

Disaccharide

Front

Two monosaccharides covalently bonded form a ____________. EX: Sucrose

Back

Polysaccharide

Front

Three or more monosaccharides linked together form a ______________.

Back

phosphate group

Front

A chemical group consisting of a phosphate atom bonded to four oxygen atoms; important in energy transfer.

Back

Primary

Front

At the _______ level of protein structure, a linear sequence of amino acids is joined by peptide bonds to form a polypeptide.

Back

Carbohydrates, proteins, lipids, and nucleic acids

Front

Name the 4 types of macromolecules

Back

hydroxyl group

Front

A chemical group consisting of an oxygen atom joined to a hydrogen atom. Molecules possessing this group are soluble in water and are called alcohols.

Back

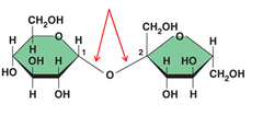
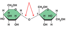
Glycosidic linkage

Front

The bond in a carbohydrate is a(n) __________ _______.

Back

Polymers

Front

Long molecules consisting of many similar or identical building blocks linked by covalent bonds.

Back

Chitin; cellulose

Front

Two examples of structural carbohydrates are ______ and _________.

Back

Dehydration synthesis

Front

Reaction in which two molecules are covalently bonded, with the loss of a water molecule

Back

Phospholipid

Front

Basic structural component of cell membranes, with a polar/hydrophilic head region and a nonpolar/hydrophobic tail region, giving membranes their selective permeability.

Back

Secondary

Front

At the _________ level of protein structure, hydrogen bonds form between the partial positive hydrogen atom of amine groups and the partial negative oxygen atom of carboxyl groups.

Back

Catabolism

Front

Conversion of complex organic molecules into smaller molecules by breaking chemical bonds

Back

Lipids

Front

Cushioning of organs, insulation, and energy storage are three functions of ___________.

Back

ester group

Front

A chemical group consisting of a carbon double bonded to oxygen and single bonded to another oxygen (must be in middler of chain)

Back

Amino; carboxyl; R

Front

Amino acids are formed of a(n) _____ group with a(n) ________ group and a(n) _ group side chain.

Back

Peptide

Front

In a _______ bond, the ---COOH group in one amino acid loses an ---OH and the ---NH2 group in another amino acid loses a H.

Back

Glycosidic linkage

Front

In carbohydrates, monosaccharides are joined together in a covalent bond called __________ _______.

Back

α Helix

Front

___ ___________ are a secondary structure found in proteins.

Back

Structure

Front

A protein's _________ determines its function.

Back

Steroid

Front

Lipid characterized by a carbon skeleton consisting of hydrogen-fused rings.

Back

Monosaccharides

Front

Carbohydrates are made up of _______________.

Back

20

Front

# different amino acids which can assemble according to genetic code to make different proteins.

Back

Anabolism

Front

Conversion of small organic molecules by forming chemical bonds between smaller molecules

Back

Hormonal

Front

Insulin and glucagon are examples of _________ proteins.

Back

Quaternary

Front

At the __________ level of protein structure, 2 to 4 completely formed polypeptides combine.

Back

Amino acid

Front

The monomer in a protein is a(n) _____ ____.

Back

ionized carboxyl group

Front

A chemical group consisting of a single carbon atom double-bonded to an oxygen atom and also bonded to a negatively charged oxygen

Back

Glycerol; fatty acid chains

Front

Triglyceride is composed of a ______ and three ____ _____ ______.

Back

β Pleated Sheet

Front

__ ___________ ______________ are a secondary structure found in proteins.

Back

Ester linkage

Front

In a triglyceride, the ---OH of glycerol loses a H and the ---COOH of the fatty acid chain loses a ---OH which joins to form water in a(n) _____ _______.

Back

Polypeptide

Front

The polymer in a protein is a(n) ___________.

Back

carboxyl group

Front

A chemical group consisting of a single carbon atom double-bonded to an oxygen atom and also bonded to a hydroxyl group

Back

Section 3

(47 cards)

Transport

Front

_____________ proteins move molecules into and out of cells.

Back

Calorie

Front

amount of heat it takes to move 1 gram of substance 1 degree Celsius higher

Back

hydronium ion

Front

H30+

Back

Cohesion

Front

holding a substance together

Back

Receptor

Front

________ proteins are embedded in all membranes and allow cells to interact with molecules and other cells.

Back

Phosphodiester bonds

Front

Nucleotides link together via ________ _____ to form nucleic acid.

Back

buffers

Front

substance that minimizes changes in H+/OH- concentration

Back

solution

Front

liquid completely homogeneous of two or more substances

Back

molarity

Front

concentration measured by number of mols/liter of solution

Back

Nucleotides

Front

Nucleic acids are composed of ___________.

Back

acids

Front

increase H+ concentration

Back

hydroxide ion

Front

OH-

Back

Adhesion

Front

clinging of a substance to another

Back

mole

Front

the molecular weightof a substance expressed in grams (6.02 x 10^23)

Back

A, T, C, G

Front

The nitrogenous bases in DNA are ____.

Back

vaporization

Front

amount of heat needed to turn liquid into gas

Back

deoxyribose

Front

The sugar in DNA is ______.

Back

solvent

Front

dissolving agent

Back

Ribose

Front

The sugar in RNA is ______.

Back

evaporation

Front

process of liquid becoming gas

Back

acid precipitation

Front

presence of sulfur oxides/nitrogen oxides and gaseous compounds react with air and goes into lakes, oceans, and soil, affecting animal life

Back

bases

Front

reduce H+ concentration

Back

polar covalent

Front

type of bond in water? Oxygen is more electronegative than hydrogen and the electrons of the polar bonds spend more time near oxygen thus, making oxygen more negativity charged and hydrogen more positively charged

Back

hydrophilic

Front

water loving substances

Back

How does the density of water contribute to aquatic life?

Front

if ice sank, ponds/oceans/lakes would freeze solid, killing the life (during the summer only top would thaw) instead the floating ice insulates liquid water from below preventing it from freezing and killing animals

Back

Heat

Front

total kinetic energy due to molecular motion

Back

hydrophobic

Front

water hating substances

Back

A, U, C, G

Front

The nitrogenous bases in RNA are ____.

Back

Kinetic Energy

Front

energy of motion

Back

Evaporative cooling

Front

remains of a liquid cool down

Back

Chaperonins

Front

Assist in the proper folding of the protein by keeping the polypeptide segregated from disruptive chemical conditions in the cytoplasmic and create a hydrophilic environment for folding polypeptides

Back

Polynucleotide

Front

The polymer in a nucleic acid is a(n) ______________.

Back

aqueous solution

Front

water is solvent

Back

Capillary action

Front

the attraction of the surface of a liquid to the surface of a solid, which causes the liquid to rise or fall Capillary action is the ability of a liquid to flow in narrow spaces without assistance. It occurs because of intermolecular forces between the liquid and surrounding solid surfaces. If the diameter of the tube is sufficiently small, then the combination of surface tension (which is caused by cohesion within the liquid) and adhesive forces between the liquid and container wall act to propel the liquid. When adhesion > cohesion, capillary action occurs.

Back

solute

Front

substance dissolved

Back

Specific heat

Front

amount of heat needed to be absorbed /lost to change the temperature by 1 degree Celsius water has a high _____.

Back

hydration shell

Front

sphere of water molecules around dissolved ions

Back

Defensive

Front

_________ proteins, like antibodies, are produced in response to antigens and bind to them.

Back

water

Front

1 calorie/1 gram/I degree Celsius is the specific heat of ____.

Back

hydrogen ion

Front

H+

Back

pH scale

Front

measures concentration of H+ (scale from 1-14)

Back

sugars; phosphate groups

Front

The backbone of DNA and RNA molecules is composed of alternating _____________ and ______________.

Back

Hydrogen

Front

Nitrogenous bases in DNA and RNA form complementary base pairs by forming ____________ bonds.

Back

Contractile/Movement

Front

___________ proteins, such as actin and myosin, are found in muscle cells.

Back

Temperature

Front

intensity of heat due to average kinetic energy

Back

Denaturation

Front

Excessive heat can cause ____________, in which a protein unravels and loses its native shape.

Back

Surface Tension

Front

A measure of how difficult it is to break/stretch a surface

Back