Section 1

Preview this deck

slope of a force vs acceleration graph

Front

Star 0%
Star 0%
Star 0%
Star 0%
Star 0%

0.0

0 reviews

5
0
4
0
3
0
2
0
1
0

Active users

0

All-time users

0

Favorites

0

Last updated

6 years ago

Date created

Mar 1, 2020

Cards (85)

Section 1

(50 cards)

slope of a force vs acceleration graph

Front

m=F/a mass

Back

position as a function of time for simple harmonic motion (mass on spring)

Front

RADIAN MODE x=position (meters) A= amplitude (meters) f=frequency (Hz)

Back

Newton's 3 Laws

Front

3rd law means forces are equal and opposite

Back

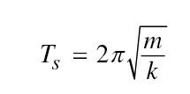
Period of a mass on a spring

Front

*doesn't change if you go to a different planet *period is time for one complete cycle *use parenthesis in calculator T= period (s) m= mass (kg) k= spring/force constant (N/m)

Back

kinetic energy

Front

scalar, never negative if you are moving you have kinetic energy

Back

Conservation of Mechanical energy

Front

*one object *use for swinging objects, springs, roller coasters *potential loss is kinetic gained

Back

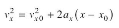
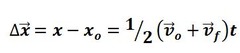
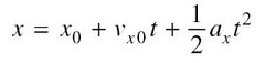
Third kinematics equation (constant acceleration) no time given

Front

*speed up or slow down m/s m m/s/s

Back

area of a velocity vs time graph

Front

x=vt displacement

Back

conversion for linear and angular acceleration

Front

a= acceleration m/s/s alpha= angular acceleration rad/s/s r= radius (m)

Back

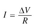
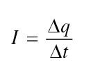
current

Front

*direction is from positive side of battery towards negative sign of battery I= current (Amps) q= charge (C) t = time *flow of charge through a cross sectional area of wire *equal in series (one pipe=one current)

Back

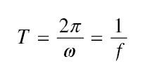
frequency for simple harmonic motion

Front

f=frequency (Hz) T=period (s) w=angular frequency (rad/s) *use parenthesis in calculator

Back

slope of a position vs time graph

Front

v=x/t velocity

Back

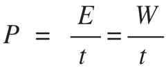
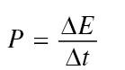
power

Front

rate of energy dissipated by resistor or rate of energy converted by battery *P= power (watts) *I= current (amps) *V= electric potential difference (volts)

Back

Second kinematics equation (constant acceleration) no final velocity given

Front

*speed up or slow down *most often used for projectile motion

Back

angular frequency for mass on spring

Front

w = angular frequency (rad/s) k=spring/force constant (N/m) m= mass (kg)

Back

Newton's Second Law

Front

*vector addition *right-left=ma or up-down=ma *one of the above equations acceleration=0 **watch direction for a** *mass is measured in kg

Back

wave speed

Front

v= wave speed (m/s) f=frequency (Hz) wavelength (m) *deceiving equation , wave speed only depends on medium

Back

conversion for linear and angular velocity

Front

v=velocity (m/s) w=angular velocity (rad/s) r= radius (m)

Back

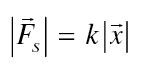
Hooke's Law (springs)

Front

F= force stretching or compressing a spring(N) k= spring constant/force constant (N/m) x= how much spring is stretched or compressed (m) *F=ma

Back

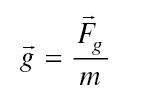
acceleration due to gravity

Front

g= m/s/s acceleration due to gravity M = Mass of planet (kg) r = distance from the center of the plant to object location (m)

Back

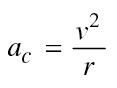
radial/ centripetal acceleration

Front

change direction acceleration m/s/s

Back

Work-Energy Theorem

Front

*Work is the change of kinetic energy *object speeding up or slowing down *option to Newton's 2nd Law approach Joules

Back

slope of a velocity vs time graph

Front

a= change of v/time acceleration

Back

impulse

Front

vector! change of direction means double the impulse WATCH SIGN for VELOCITY

Back

energy from power

Front

Energy= power * time Joules

Back

linear/tangential velocity for circular motion

Front

T is period= time for one complete circle x=vt where x is circumference m/s

Back

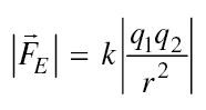
Coulomb's Law (force between charges)

Front

F= force equal and opposite on charges (N) k=9x10^9 q=charge (C) r = distance center to center *opposite signs attract *like signs repel

Back

Weight

Front

*depends on location and planet * Force is weight measured in Newtons *mass is m measured in kg *g is acceleration due to gravity (9.8 for Earth)

Back

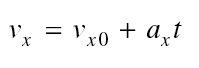
First kinematics equation (constant acceleration) no displacement given

Front

*speed up or slow down *acceleration is how quickly velocity changes

Back

momentum

Front

vector! Watch sign for VELOCITY

Back

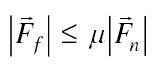
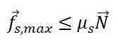
Force of static Friction

Front

*from freebody diagram *Normal comes from up-down=ma equation *Newtons *coefficient is unitless

Back

Work

Front

*carrying a book across a room is not work *to do work the force must be parallel to displacement *friction does negative work Joules

Back

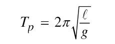
Period of an simple pendulum

Front

*depends on planet/ location *period is time for one complete cycle (s) *L is length of string (m) *g is 9.8 for Earth

Back

constant angular velocity

Front

w= angular velocity (rad/s) angular displacement (rad)

Back

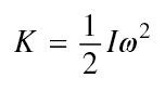
Rotational Kinetic energy

Front

*object turning like a spinning wheel K= kinetic energy (joules) I= rotational inertia (kgm^2) w= angular velocity (rad/s)

Back

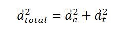
total acceleration

Front

no angular acceleration m/s/s *object speeding up/slowing down and turning

Back

resistors in series

Front

longer means increased resistance *one path/ one pipe/ one *current is equal *voltage adds up

Back

resistors in parallel

Front

*multiple paths/ more pipes/two finger rule *voltage is equal *current adds up

Back

Power

Front

rate of energy change Watts

Back

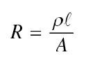
resistance

Front

R= resistance (ohms) resistivity (ohm meters) L=length (m) A= cross-sectional area (circle for wires) (m^2) *Longer the wire the more the resistance *the greater the area the smaller the resistance

Back

Elastic Potential Energy for a spring

Front

U= potential energy (Joules) k= spring constant / force constant (N/m) x= how much spring is stretched or compressed (m) *Use in conservation of energy U+K=U+K

Back

Force of kinetic friction

Front

*depends on materials and normal force acting on object *Normal comes from up-down=ma equation *Newtons *coefficient is unitless

Back

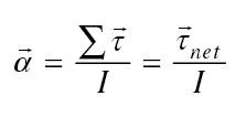
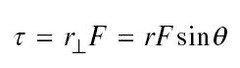
net torque for system

Front

torque (Nm) I= rotational inertia (kgm^2) angular acceleration (rad/s/s) *object like a see saw speeding up or slowing down but going in a circle

Back

Gravitational Potential Energy

Front

U= potential energy (Joules) m= mass (kg) g=acceleration due to gravity (-9.8 Earth) y= vertical position from bottom (not ground) *swinging objects *roller coasters *used in conservation of energy U+K=U+K

Back

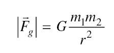
universal law of gravitation

Front

F = force (equal and opposite on masses) G=6.67x10^-11 m = mass (kg) r = distance center to center (m) Force = mg or ma or mv^2/r

Back

adding resistors in series and parallel

Front

Back

Universal Gravitational Potential Energy

Front

object with a planet U= potential energy (Joules) G=6.67x10^-11 r=distance center to center (m) m=mass (kg)

Back

Fourth Kinematics Equation (constant acceleration) no acceleration given

Front

*speed up or slow down meters m/s seconds

Back

conservation of energy with friction

Front

Object moving with friction *energy at one time = energy at later time + work done by friction U+K=U+K+W

Back

angular momentum (something going in a circle like a spinning ice skater)

Front

L= angular momentum kgm^2/s I= rotational inertia kgm^2 w=angular velocity rad/s *when ice skater brings arms in I decreases which increases w

Back

Section 2

(35 cards)

Newton's 2nd Law Practice

Front

split tension Fcos (angle)- f =ma N +Fsin(angle)-mg=0

Back

slope of a voltage vs resistance graph

Front

current

Back

projectile motion at an angle

Front

*split initial velocity into sin and cos *vsin is for vertical constant acceleration equations *vcos is for horizontal constant velocity equation x=vt

Back

centripetal force

Front

*Net force towards center of circle Moon around earth it is gravity car going around curve friction

Back

Inelastic collisions

Front

*This is what you assume unless told otherwise *conserve momentum not kinetic energy *objects do not have to stick together

Back

slope of a force vs stretch graph

Front

k=F/x spring constant or force constant

Back

speeding up/slowing down angular velocity

Front

rad/s rad/s/s

Back

period

Front

period is time for one complete cycle/circle w= angular velocity/frequency (rad/s) f= frequency (Hz)

Back

Hooke's Law

Front

Back

Coulomb's Law

Front

Back

area of a force vs time graph

Front

Ft= impulse= change of momentum

Back

torque

Front

Back

conservation of momentum

Front

use for collisions momentum before + momentum before = momentum after +momentum after

Back

Sound

Front

compressional / longitudinal wave *fastest in solids *cannot go through a vaccuum

Back

Freebody for incline plane

Front

only C and E correct C is at rest or moving down incline E is being accelerated up incline

Back

area of a force vs displacement graph

Front

Fx=work= change of kinetic energy

Back

Ohm's Law

Front

I= current (A)....flow V= electric potential difference (Volts)....push R= resistance (ohm's law)... fight *the more the push the more the flow * the more the fight, the less the flow

Back

completely inelastic collisions

Front

*conserve momentum only *objects stick together *Velcro with carts

Back

force of friction

Front

another force for freebody Normal comes from freebody

Back

slope

Front

divide axis and find equation for meaning

Back

no centripetal force

Front

no centripetal force object moves straight... no longer turns

Back

horizontal projectile motion

Front

initial velocity = zero a=-9.8 displacement is negative

Back

Newton's 2nd law- incline plane

Front

N-mgcos(angle)=0 T-mgsin(angle)=ma T-mg=m(-a)

Back

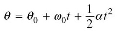
angular displacement

Front

radians rad/s rad/s/s

Back

torque (twisting force)

Front

*See Saw/ levers *demo with trying to hold up bar with hanging masses torque (Nm) r is distance from pivot point to force (m) force must be perpendicular (N)

Back

Newton's 2nd Law - atwood

Front

up-down=ma T-W=ma T-.9(9.8)=.9a T-.6(9.8)=.6(-a)

Back

density

Front

density (kg/m^3) mass (kg) Volume (m^3)

Back

area

Front

*multiply axis for meaning *area under x-axis is negative *shading is from the x-axis up and from the x-axis down

Back

conservation of angular momentum

Front

Back

change of angular momentum

Front

change of angular momentum (kgm^2/s) torque (Nm) time (s) *if there is a torque object speeds up or slows down which changes its angular momentum

Back

projectile motion

Front

*force = weight (down whole time) *acceleration (down -9.8 m/s/s) *horizontal motion constant velocity x=vt *at P only horizontal velocity *at P vertical velocity is negative

Back

Elastic collisions

Front

*conserve momentum and kinetic energy *magnetic bumpers with carts

Back

Newton's 2nd law turning

Front

N-mg=mv^2/r

Back

Ohm's law visual

Front

Back

Newton's 2nd law -modified atwood

Front

N-mg=0 T=4a T-2g=2(-a)

Back