SAT Prep - Chapter 3

SAT Prep - Chapter 3

memorize.aimemorize.ai (lvl 286)
Section 1

Preview this deck

double helix

Front

Star 0%
Star 0%
Star 0%
Star 0%
Star 0%

0.0

0 reviews

5
0
4
0
3
0
2
0
1
0

Active users

0

All-time users

2

Favorites

0

Last updated

6 years ago

Date created

Mar 14, 2020

Cards (52)

Section 1

(50 cards)

double helix

Front

Shape of DNA

Back

polar

Front

Molecule with partial charges. Mixes with water.

Back

element

Front

A pure substance made of only one kind of atom

Back

polypeptide

Front

A polymer (chain) of many amino acids linked together by peptide bonds.

Back

compound

Front

a thing that is composed of two or more separate elements; a mixture.

Back

carboxyl group

Front

A -COOH group, found in organic acids.

Back

protein

Front

A three dimensional polymer made of monomers of amino acids.

Back

deoxyribonucleic acid

Front

DNA

Back

triglycerides

Front

an energy-rich compound made up of a single molecule of glycerol and three molecules of fatty acid.

Back

complementary

Front

serving to complete something

Back

saccharide

Front

sugar

Back

monomers

Front

building blocks of polymers

Back

hydrolysis

Front

the chemical breakdown of a compound due to reaction with water.

Back

hydrophobic

Front

Water fearing

Back

Fructose

Front

fruit sugar

Back

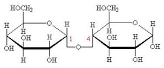
maltose

Front

glucose + glucose

Back

nonpolar

Front

No partial charges. Do not mix with water.

Back

polymers

Front

large compound formed from combinations of many monomers

Back

dehydration synthesis

Front

Condensation reaction where molecules are connected by loss of a water molecule.

Back

double bond

Front

A chemical bond formed when atoms share two pairs of electrons

Back

guanine

Front

The base that pairs with Cytosine in DNA

Back

glucose

Front

A simple sugar that is an important source of energy.

Back

cellulose

Front

A substance (made of sugars) that is common in the cell walls of many organisms

Back

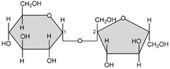
sucrose

Front

glucose + fructose

Back

molecules

Front

Groups of two or more atoms held together by chemical bonds

Back

reactants

Front

A starting material in a chemical reaction

Back

cholesterol

Front

A type of fat made by the body from saturated fat; a minor part of fat in foods.

Back

lipid bilayer

Front

double-layered sheet that forms the core of nearly all cell membranes

Back

amino acids

Front

building blocks of proteins

Back

ribonucleic acid

Front

RNA

Back

thymine

Front

The base that pairs with Adenine in DNA

Back

products

Front

The elements or compounds produced by a chemical reaction.

Back

phospholipids

Front

a lipid containing a phosphate group in its molecule

Back

starch

Front

A storage polysaccharide in plants consisting entirely of glucose.

Back

glycogen

Front

Storage form of glucose

Back

nucleotide

Front

monomer of nucleic acids made up of a 5-carbon sugar, a phosphate group, and a nitrogenous base

Back

hydrophilic

Front

water loving

Back

polysaccharide

Front

Carbohydrates that are made up of more than two monosaccharides

Back

peptide bond

Front

covalent bond formed between amino acids

Back

atoms

Front

Building blocks of matter

Back

organic

Front

Contains carbon

Back

adenine

Front

The base that pairs with Thymine in DNA

Back

monosaccharides

Front

Single sugar molecules (glucose, fructose, galactose)

Back

cytosine

Front

The base that pairs with Guanine in DNA

Back

polynucleotides

Front

polymers of nucleic acids

Back

biomolecules

Front

carbohydrates, lipids, proteins, nucleic acids

Back

inorganic

Front

Molecules that do not contain carbon

Back

base pairing

Front

Adenine+ Thymine, Cytosine+ Guanine

Back

dissacharide

Front

A molecule made of two monosaccharides.

Back

hydrocarbon

Front

Compounds composed of only carbon and hydrogen

Back

Section 2

(2 cards)

hydrogen bond

Front

weak attraction between a hydrogen atom and another atom

Back

uracil

Front

Nitrogen base that pairs with adenine in RNA.

Back