Geometry: Language of Geometry

Geometry: Language of Geometry

memorize.aimemorize.ai (lvl 286)
Section 1

Preview this deck

alternate exterior angles

Front

Star 0%
Star 0%
Star 0%
Star 0%
Star 0%

0.0

0 reviews

5
0
4
0
3
0
2
0
1
0

Active users

0

All-time users

0

Favorites

0

Last updated

6 years ago

Date created

Mar 1, 2020

Cards (40)

Section 1

(40 cards)

alternate exterior angles

Front

Angles that lay outside the parallel lines and are on opposite sides of the transversal; They are congruent.

Back

angle bisector construction

Front

a ray that divides an angle into two congruent angles

Back

alternate interior angles

Front

angles between 2 lines and on opposite sides of a transversal

Back

supplementary angles

Front

Two angles whose sum is 180 degrees

Back

coordinate plane

Front

A plane that is divided into four regions by a horizontal line called the x-axis and a vertical line called the y-axis.

Back

line

Front

a series of points that extends in two opposite directions without end. *An undefined term

Back

perpendicular lines

Front

Lines that intersect to form right angles

Back

complementary

Front

Two angles whose sum is 90 degrees

Back

same side interior angles

Front

two interior angles on the same side of the transversal

Back

ray

Front

A part of a line, with one endpoint, that continues without end in one direction

Back

perimeter

Front

The distance around a figure

Back

Noncollinear

Front

points that do not lie on the same line

Back

midpoint

Front

A point that divides a segment into two congruent segments

Back

parallel lines

Front

coplanar lines that do not intersect

Back

hypotenuse

Front

the side of a right triangle opposite the right angle

Back

plane

Front

a flat surface that has no thickness and extends forever. *an undefined term

Back

Theorem

Front

Formal definition: a proven conjecture or statement. Description: a rule that helps us solve math problems. Pictured: the remote exterior angle theorem

Back

point

Front

A location in space. *An undefined term

Back

angle

Front

A figure formed by two rays with a common endpoint

Back

right angles

Front

angles that measure 90 degrees

Back

coplanar

Front

points that lie on the same plane

Back

vertex

Front

The common endpoint of an angle

Back

same side exterior angles

Front

two exterior angles on the same side of the transversal

Back

skew lines

Front

Lines that do not intersect and are not coplanar

Back

linear pair

Front

A pair of adjacent angles whose noncommon sides are opposite rays.

Back

congruent

Front

formal definition: identical in form; coinciding exactly when superimposed. description: equal in measure, exactly the same.

Back

slope

Front

The steepness of a line on a graph

Back

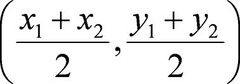
midpoint formula

Front

Back

opposite rays

Front

two rays that have a common endpoint and form a line

Back

formal definition

Front

dictionary definition

Back

perpendicular bisector

Front

A line that is perpendicular to a segment at its midpoint.

Back

acute angle

Front

an angle that measures less than 90 degrees

Back

obtuse angle

Front

An angle that measures more than 90 degrees but less than 180 degrees

Back

undefined terms

Front

point, line, plane

Back

area

Front

The number of square units required to cover a surface.

Back

opposite reciprocal

Front

The result of taking the reciprocal of a number and then changing the sign.

Back

corresponding angles

Front

Angles in the same place on different lines

Back

transversal

Front

a line that intersects two or more lines

Back

segment

Front

A part of a line consisting of two endpoints and all points between them.

Back

collinear points

Front

points that lie on the same line

Back