Section 1

Preview this deck

corresponding angles

Front

Star 0%
Star 0%
Star 0%
Star 0%
Star 0%

0.0

0 reviews

5
0
4
0
3
0
2
0
1
0

Active users

1

All-time users

2

Favorites

0

Last updated

6 years ago

Date created

Mar 14, 2020

Cards (30)

Section 1

(30 cards)

corresponding angles

Front

lie on the same side of the transversal and in corresponding positions

Back

vertex angle

Front

The angle formed by the legs of an isosceles triangle.

Back

perpendicular lines

Front

Two lines that intersect to form right angles (90 degrees)

Back

supplementary angles

Front

two angles that add up to 180 degrees

Back

Noncollinear

Front

points that do not lie on the same line

Back

concave

Front

polygon with a "dent" or "caved in"

Back

equilateral triangle

Front

A triangle with 3 congruent sides and 3 congruent angles.

Back

adjacent angles

Front

Two angles next to each other that share a common side and have the same vertex

Back

Collinear

Front

points that lie on the same line

Back

angle bistector

Front

ray or line that divides an angle into two congruent angles

Back

alternate interior angles

Front

Interior angles that lie on opposite sides of the transversal

Back

plane

Front

a flat surface that extends forever in all directions

Back

Equiangular

Front

all angles are congruent

Back

point

Front

a location

Back

line

Front

made up of points and has no thickness or width

Back

line segment

Front

part of a line with two endpoints

Back

alternate exterior angles

Front

Angles that lie outside a pair of lines and on opposite sides of a transversal.

Back

regular polygon

Front

a polygon that is both equilateral and equiangular

Back

midpoint

Front

A point that divides a segment into two congruent segments

Back

congruent

Front

Having the same measure

Back

scalene triangle

Front

a triangle with no congruent sides

Back

Coplanar

Front

points that lie on the same plane

Back

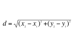
distance

Front

the length between two points

Back

complementary angles

Front

two angles that add up to 90 degrees

Back

isosceles triangle

Front

a triangle with two congruent sides and two congruent angles

Back

convex

Front

polygon with no "dents"

Back

Noncoplanar

Front

points that do not lie on the same plane

Back

consecutive interior angles

Front

two angles that lie between the two lines and on the same side of the transversal

Back

angle

Front

amount of rotation between two lines (or rays) around a common point (vertex)

Back

vertical angles

Front

the angles opposite each other when two lines cross

Back