Section 1

Preview this deck

chain rule

Front

Star 0%
Star 0%
Star 0%
Star 0%
Star 0%

0.0

0 reviews

5
0
4
0
3
0
2
0
1
0

Active users

0

All-time users

0

Favorites

0

Last updated

6 years ago

Date created

Mar 14, 2020

Cards (56)

Section 1

(50 cards)

chain rule

Front

Back

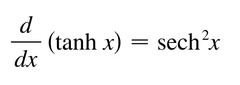
d/dx [tanhx]

Front

Back

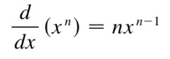
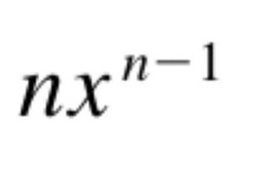
d/dx [x^n] =

Front

power rule

Back

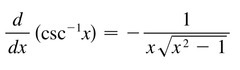
d/dx [arccscx]

Front

Back

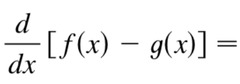
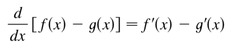
derivative of the difference between two functions

Front

Back

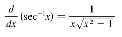
d/dx [arcsecx]

Front

Back

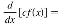
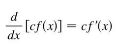
cf'(x)

Front

derivative of a constant times a function

Back

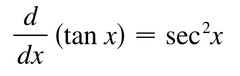
d/dx [tanx]

Front

Back

d/dx [tanx]

Front

Back

d/dx [cothx]

Front

Back

derivative of an exponential function

Front

Back

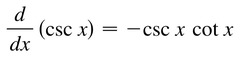
- cscxcotx

Front

Back

derivative of a constant times a function

Front

Back

f'(x) - g'(x)

Front

derivative of the difference between two functions

Back

derivative of a log base a

Front

Back

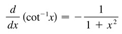
d/dx [arccotx]

Front

Back

d/dx [secx]

Front

Back

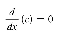
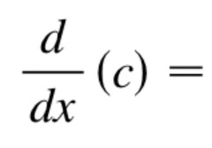
derivative of a constant

Front

Back

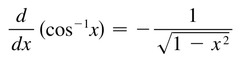
d/dx [arccosx]

Front

Back

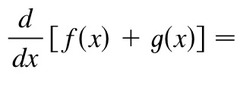
derivative of the sumation of two functions

Front

Back

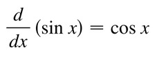
d/dx [sinx]

Front

Back

- sinx

Front

Back

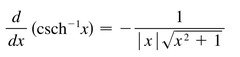
d/dx [cschx]

Front

Back

secxtanx

Front

Back

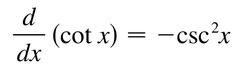
d/dx [cotx]

Front

Back

d/dx [sinhx]

Front

Back

d/dx [sinhx]

Front

Back

derivative of a power

Front

Back

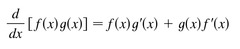
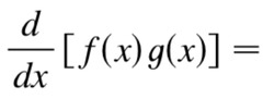
f(x)g'(x) + g(x)f'(x)

Front

derivative of the multiplaction of two functions

Back

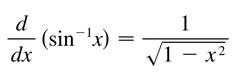
d/dx [arcsinx]

Front

Back

d/dx [cosx]

Front

Back

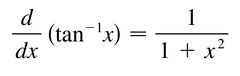
d/dx [arctanx]

Front

Back

d/dx [cschx]

Front

Back

d/dx [ln|x|] =

Front

Back

d/dx [cscx]

Front

Back

d/dx [coshx]

Front

Back

f'(x) + g'(x)

Front

derivative of the summation of two functions

Back

cosx

Front

Back

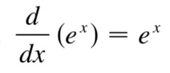
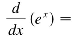
e^x

Front

Back

0

Front

derivative of a constant

Back

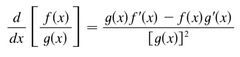
d/dx [f(x)/g(x)] =

Front

quotient rule

Back

derivative of a natural log

Front

Back

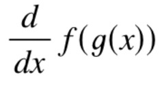
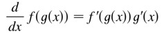
f'(g(x))g'(x)

Front

chain rule

Back

product rule

Front

Back

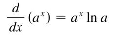
d/dx [a^x] =

Front

Back

quotient rule

Front

Back

d/dx [log_a X] =

Front

Back

d/dx [sechx]

Front

Back

d/dx [a^x]

Front

Back

d/dx [cotx]

Front

Back

Section 2

(6 cards)

d/dx [arccothx]

Front

Back

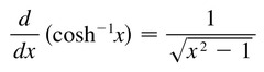
d/dx [arccoshx]

Front

Back

d/dx [arccschx]

Front

Back

d/dx [arctanhx]

Front

Back

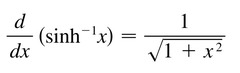
d/dx [arcsinhx]

Front

Back

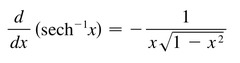
d/dx [arcsechx]

Front

Back