AP Calculus - Stuff You MUST Know Cold

AP Calculus - Stuff You MUST Know Cold

memorize.aimemorize.ai (lvl 286)
Section 1

Preview this deck

d/dx a^x

Front

Star 0%
Star 0%
Star 0%
Star 0%
Star 0%

0.0

0 reviews

5
0
4
0
3
0
2
0
1
0

Active users

0

All-time users

0

Favorites

0

Last updated

6 years ago

Date created

Mar 1, 2020

Cards (34)

Section 1

(34 cards)

d/dx a^x

Front

a^x ln a

Back

d/dx e^x

Front

e^x

Back

Volume (using shells)

Front

Back

d/dx cos x

Front

-sin x

Back

Acceleration

Front

d/dt (velocity)

Back

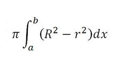
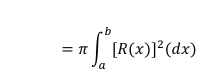
Volume (using disks)

Front

Back

d/dx loga(x)

Front

1/(x lna)

Back

d/dx sec x

Front

sec x tan x

Back

d/dx cos⁻¹x

Front

-1/√(1-x²)

Back

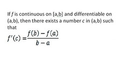
Mean Value Theorem

Front

Back

d/dx cot x

Front

-csc² x

Back

d/dx sin⁻¹x

Front

1 / √(1-x²)

Back

The Fundamental Theorem of Calculus Part I

Front

Back

"Plus a Constant"

Front

Don't forget the constant of integration (+C) when doing an indefinite integral.

Back

d/dx sin x

Front

cos x

Back

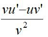
d(dx) (uv)

Front

Back

Intermediate Value Theorem

Front

If the function f is continuous on [a,b], then for any number c between f(a) and f(b), there exists a number d in the open interval (a,b) such that f(d) = c.

Back

d/dx cot⁻¹x

Front

Back

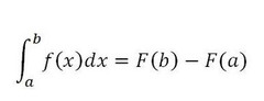
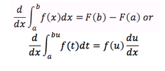
The Fundamental Theorem of Calculus Part II

Front

Back

dy/dx

Front

Back

d/dx csc x

Front

-csc x cot x

Back

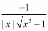
d/dx csc⁻¹x

Front

Back

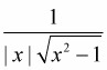
d/dx sec⁻¹x

Front

Back

d/dx tan x

Front

sec² x

Back

d/dx f(u)

Front

f'(u) du/dx

Back

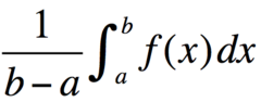
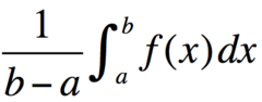
Average Value of a Function

Front

If the function f is continuous on [a,b], then there exists a number c in (a,b) such that. f(c) =

Back

d/dx xⁿ

Front

Back

d/dx tan⁻¹x

Front

Back

Average Velocity

Front

(Final Position - Initial Position)/(Total time)

Back

Volume (using washers)

Front

Back

d/dx (u/v)

Front

Back

d/dx ln x

Front

1/x

Back

Position

Front

Initial Position+Displacement

Back

Velocity

Front

d/dt (position)

Back