AP Physics B Formulas

AP Physics B Formulas

memorize.aimemorize.ai (lvl 286)
Section 1

Preview this deck

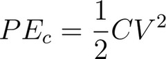
Potential Energy of Capacitance

Front

Star 0%
Star 0%
Star 0%
Star 0%
Star 0%

0.0

0 reviews

5
0
4
0
3
0
2
0
1
0

Active users

0

All-time users

0

Favorites

0

Last updated

6 years ago

Date created

Mar 1, 2020

Cards (69)

Section 1

(50 cards)

Potential Energy of Capacitance

Front

PE=½CV²

Back

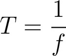
Period-Frequency Relationship

Front

T=1/f

Back

First Law of Thermodynamics

Front

∆U=Q=W

Back

Force of Friction

Front

Ff=µFn

Back

Resistors in Parallel

Front

1/R=∑1/Ri

Back

Resistors in Series

Front

R=∑Ri

Back

Impulse

Front

J=∆p=F∆t

Back

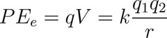
Potential Energy (electricity)

Front

PE=qV=Kq₁q₂/r

Back

Gravitational Force

Front

F=Gm₁m₂/r²

Back

Gravitational Potential Energy

Front

PE=mgh

Back

Power Equation 2

Front

P=Fv

Back

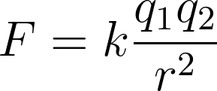
Coulomb's Law

Front

F=kq₁q₂/r²

Back

Force in Terms of an Electric Field

Front

F=qE

Back

Current

Front

I=∆q/∆t

Back

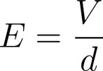
Electric Field between Two Plates

Front

E=V/d

Back

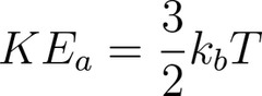
Average Kinetic Energy

Front

KE=(3/2)kT

Back

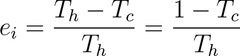
Efficiency of an Ideal System

Front

e=Th-Tc/Th=1-Tc/Th

Back

Third kinematic equation

Front

Vf²=V₀²+2a∆d

Back

Second kinematic equation

Front

∆d=V₀t+½at²

Back

Net Force

Front

Fn=ma

Back

Efficiency

Front

e=W/Q

Back

Capacitors in Series

Front

1/C=∑1/Ci

Back

Force of a Spring

Front

F=-kx

Back

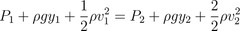
Bernoulli's Equation

Front

P₁+ρgy₁+½ρv₁²=P₂+ρgy₂+½ρv₂²

Back

Ideal Gas Law

Front

PV=nRT

Back

Period of a Spring

Front

T=2π√m/k

Back

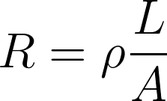
Resistance

Front

R=ρL/A

Back

Period of a Pendulum

Front

T=2π√L/g

Back

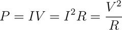
Electric Power

Front

P=IV=I²R=V²/R

Back

Work

Front

W=F∆x

Back

Ohm's Law

Front

V=IR

Back

Induced EMF

Front

∈=-N∆∅/∆t

Back

Magnetic Force on a Charge

Front

F=Bvqsinθ

Back

Induced EMF (special case - rectangular wire)

Front

∈=-Blv

Back

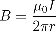
Magnetic Field on a Long, Straight Wire

Front

B=μ₀I/2πr

Back

Gravitational Potential

Front

F=Gm₁m₂/r

Back

Capacitors in Parallel

Front

C=∑Ci

Back

Momentum

Front

p=mv

Back

First kinematic equation

Front

Vf=V₀+at

Back

Power Equation 1

Front

P=W/∆t

Back

Magnetic Flux

Front

∅=BAcosθ

Back

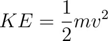
Kinetic Energy

Front

KE=½mv²

Back

Electric Potential

Front

V=k∑q/r

Back

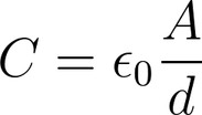
Capacitance

Front

C=∈₀A/d

Back

Magnetic Force on a current

Front

F=BILsinθ

Back

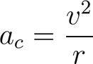
Centripetal Acceleration

Front

a=v²/r

Back

Charge

Front

Q=CV

Back

Torque

Front

torque=Fd

Back

Buoyant Force (Archimedes Principle)

Front

F=ρgh

Back

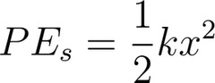
Potential Energy of a Spring

Front

PE=½kx²

Back

Section 2

(19 cards)

RMS of Velocity

Front

V=√3kT/m

Back

Focal Length of Spherical Mirror

Front

f=r/2

Back

Rate of Heat Transfer

Front

H=kA∆T/L

Back

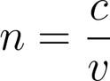
Index of Refraction

Front

n=c/v

Back

Constructive Interference Point

Front

sinθ=mλ/d

Back

Magnification

Front

m=hi/ho=di/do

Back

Work in an Isobaric System

Front

W=-pV

Back

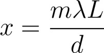
Constructive Interference Point for Small Angle

Front

x=mλL/d

Back

Pressure in a Column

Front

P=P₀+ρgh

Back

Snell's Law

Front

n₁sinθ₁=n₂sinθ₂

Back

Energy-Mass Equation

Front

E=∆mc²

Back

de Broglie wavelength

Front

λ=h/p

Back

Energy of a Photon

Front

E=hf=pc

Back

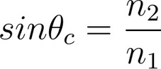
Total Internal Reflection

Front

sinθ=n₂/n₁

Back

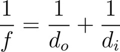
Mirror Equation

Front

1/f=1/do+1/di

Back

Kinetic Energy of Electron Ejected from Metal Surface

Front

KE=hf-W

Back

Velocity of a Wave

Front

v=λf

Back

Thermal Expansion

Front

∆L=αL₀∆T

Back

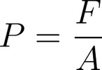
Pressure

Front

P=F/A

Back