AP Biology [Practice AP Exam]

AP Biology [Practice AP Exam]

memorize.aimemorize.ai (lvl 286)
Section 1

Preview this deck

[C] The one that leaves the greatest number of offspring that survive to reproduce.

Front

Star 0%
Star 0%
Star 0%
Star 0%
Star 0%

0.0

0 reviews

5
0
4
0
3
0
2
0
1
0

Active users

0

All-time users

0

Favorites

0

Last updated

6 years ago

Date created

Mar 1, 2020

Cards (100)

Section 1

(50 cards)

[C] The one that leaves the greatest number of offspring that survive to reproduce.

Front

[45] In evolutionary terms, which of the following organisms is the most successful? ----------------------------------------------- [A] The one that lives the longest. [B] The one that grows the most rapidly. [C] The one that leaves the greatest number of offspring that survive to reproduce. [D] The one that has the best characteristics for the current environment. [E] The one that has the biggest territory.

Back

[D] The bodies of organisms in a population change by use and disuse, and the changes are inherited by the next generation.

Front

[13] All of the following statements concerning the theory of evolution by natural selection are true EXCEPT: ----------------------------------------------- [A] Organisms produce far more offspring than are required for replacement. [B] The individuals in a population show variation in survivability and in their ability to cope with enviromental stress. [C] The number of offspring that survive to reproduce varies among individuals. [D] The bodies of organisms in a population change by use and disuse, and the changes are inherited by the next generation. [E] Some of the variation in adaptation is the result of genetic differences that may be passed on to the next generation.

Back

[E] Most taxa experience relatively short periods during which they undergo rapid change, followed by relatively long periods during which they undergo relatively little change.

Front

[37] Which of the following best summarizes the theory of punctuated equilibrium? ----------------------------------------------- [A] After periods of directional selection, the allelic frequencies in a population will reach equilibrium and then undergo disruptive selection. [B] Most species evolve gradually, with discrete changes appearing in the fossil record at short, regular intervals. [C] Once one species achieves evolutionary dominance, all of the remaining species must compete among themselves for selective advantages; only then will the dominant species be challenged. [D] To ensure survival of the fittest, natural selection eliminates those species that disrupt the balance of nature. [E] Most taxa experience relatively short periods during which they undergo rapid change, followed by relatively long periods during which they undergo relatively little change.

Back

[C] Prokaryotes are structurally less complex than eukaryotes are.

Front

[9] Which of the following characteristics distinguishes prokaryotic organisms from eukaryotic organisms? ----------------------------------------------- [A] Prokaryotes are unicellular, while all eukaryotes are multicellular. [B] Prokaryotes are aquatic, while eukaryotes are terrestrial. [C] Prokaryotes are structurally less complex than eukaryotes are. [D] Prokaryotes require a host to replicate, while eukaryotes do not. [E] Prokaryotes lack a cell membrane, while eukaryotes do not.

Back

[D] Sporophyte --> meiosis --> gametophyte --> gametes --> fertilization --> zygote --> sporophyte

Front

[14] Which of the following sequences best represents the life cycle of a typical angiosperm? ----------------------------------------------- [A] Gametophyte --> meiosis --> gametes --> fertilization --> sporophyte --> spores --> zygote --> gametophyte [B] Gametophyte --> gametes --> meiosis --> fertilization --> sporophyte --> spores --> zygote --> gametophyte [C] Sporophyte --> meiosis --> gametophyte --> spores --> fertilization --> zygote --> sporophyte [D] Sporophyte --> meiosis --> gametophyte --> gametes --> fertilization --> zygote --> sporophyte [E] Sporophyte --> spores --> gametophyte --> meiosis --> gametes --> fertilization --> zygote --> sporophyte

Back

[A] Plant cell mitochondria consume oxygen by aerobic respiration.

Front

[28] A scientist studying the oxygen concentration in sealed chambers containing cultured plant cells finds that when the chambers are illuminated, the concentration of oxygen increases. However, when the chambers are kept in the dark, the concentration of oxygen decreases. Why does the oxygen concentration decrease when the chamber is kept in the dark? ----------------------------------------------- [A] Plant cell mitochondria consume oxygen by aerobic respiration. [B] Plant cell chloroplasts run the photosynthetic pathways backward to consume oxygen. [C] Plant cell chloroplasts switch their structure and function and become mitochondria. [D] The chambers must not be properly sealed, so that oxygen is leaking out. [E] The cultures in the chambers must be contaminated with some animal cells, since only animal cells consume oxygen.

Back

[B] rough endoplasmic reticulum

Front

[8] Cells that make up salivary glands would be expected to contain a relatively large amount of: ----------------------------------------------- [A] smooth endoplasmic reticulum [B] rough endoplasmic reticulum [C] genetic material [D] lipids [E] peroxisomes

Back

[E] III and V

Front

[33] Which of the following pairs of plants are most closely related? I. Broad bean (Vicia faba) II. Soybean (Glycine max) III. Kidney bean (Phaseolus vulgaris) IV. Barley (Hordeum vulgaris) V. Scarlet runner bean (Phaseolus coccineus) ----------------------------------------------- [A] I and II [B] I and III [C] II and III [D] III and IV [E] III and V

Back

[C] When new niches become available

Front

[19] Rates of adaptive radiation typically are at their highest in which of the following situations? ----------------------------------------------- [A] When Earth is exposed to increased electromagnetic waves caused by Sun flares. [B] In very large, randomly mating populations. [C] When new niches become available [D] When many species are competing for the same limited resource. [E] When food is abundant.

Back

[D] Atoms --> molecules --> cells --> organisms --> ecosystems

Front

[31] Which of the following statements most correctly represents the organization of living systems from smallest to largest? ----------------------------------------------- [A] Molecules --> organs --> cells --> organisms [B] Cells --> tissues --> molecules --> ecosystems --> communities [C] Organisms --> molecules --> cells --> atoms [D] Atoms --> molecules --> cells --> organisms --> ecosystems [E] Organs --> plants --> animals --> cells

Back

[B] Cotyledon

Front

[24] In most dicot seeds, which of the following structures is responsible for the storage of carbohydrates? ----------------------------------------------- [A] Seed coat [B] Cotyledon [C] Radicle [D] Plumule [E] Embryo

Back

[A] CNS → hypothalamus → anterior pituitary → thyroid - thyroxin -> target cells.

Front

[41] During the fall, a chipmunk experiences a sustained period of cold weather. The chipmunk's thyroid gland responds by Secreting a greater quantity of thyroxin. Which of the following represents the most accurate pathway from the central nervous system (CNS) to the target cells? ----------------------------------------------- [A] CNS → hypothalamus → anterior pituitary → thyroid - thyroxin -> target cells. [B] CNS --> adrenal medulla --> thyroid --> thyroxin --> target cells. [C] CNS --> motor neurons --> muscle cells --> thyroxin --> target cells. [D] CNS --> posterior pituitary --> oxytocin --> thyroid --> thyroxin --> target cells. [E] CNS --> pancreas --> insulin --> sugar into cells --> target cells.

Back

[E] Materials synthesized in photosynthesis could be sent form the mesophyll cell to the companion cell.

Front

[48] Which of the following is true about a specialized companion cell of the phloem that is connected to the palisade mesophyll cell by plasmodesmata? ----------------------------------------------- [A] The specialized companion cell and the palisade mesophyll cell have highly specialized unrelated functions. [B] The companion cell lacks a nucleus, and the palisade mesophyll cell has a nucleus at maturity. [C] Sieve plates would be found in the companion cell but not in the palisade mesophyll cell. [D] The companion cell would have a thicker secondary cell wall than the palisade mesophyll cell. [E] Materials synthesized in photosynthesis could be sent form the mesophyll cell to the companion cell.

Back

[B] analogy

Front

[32] The functional similarity of the mandibles (hinged jaws) of insects and those of mammals is an example of: ----------------------------------------------- [A] homology [B] analogy [C] divergent evolution [D] adaptive radiation [E] punctuated equilibrium

Back

[B] Two

Front

[3] In a species that has five different alleles for a gene at a particular locus, how many different alleles may be present in the somatic cells of one diploid individual? ----------------------------------------------- [A] One [B] Two [C] Three [D] Four [E] Five

Back

[C] They Include compartments where hydrogen ions are concentrated.

Front

[1] Which of the following is true of both mitochondria and chloroplasts? ----------------------------------------------- [A] They are found in the cells of eukaryotic autotrophs and heterotrophs. [B] They include stacks of membranes that absorb light. [C] They Include compartments where hydrogen ions are concentrated. [D] They produce sugars using energy harvested in the cytoplasm. [E] They break down sugar to produce ATP.

Back

[A] Animals with closed circulatory systems usually have capillary beds associated with their excretory organs.

Front

[47] Which of the following statements about the process of excretion in animals is correct? ----------------------------------------------- [A] Animals with closed circulatory systems usually have capillary beds associated with their excretory organs. [B] Aquatic animals usually secrete their nitrogenous wastes in the form of uric acid. [C] The contractile vacuole of a freshwater protozoan will become more active if the protozoan is placed in seawater. [D] Nephridia are found only in vertebrate animals. [E] In humans and other mammals, urea is produced in the kidneys.

Back

[D] interactions between amino acids present in the polypeptide.

Front

[2] The tertiary structure and function of a polypeptide is principally determined by the: ----------------------------------------------- [A] length of the polypeptide. [B] number of nucleotides present in the polypeptide. [C] repeated units of glycerol making up the polypeptide. [D] interactions between amino acids present in the polypeptide. [E] number of introns within the polypeptide.

Back

[B] Stabilizing selection

Front

[35] A research study sampled populations of field mice annually over the course of 50 years. The population was categorized by coat color. Data from the beginning and end of the study are graphed above. What type of selection is represented by the change in data from 1955 to 2005? ----------------------------------------------- [A] Directional selection [B] Stabilizing selection [C] Bimodal selection [D] Disruptive selection [E] Sexual selection

Back

[C] DNA sequence comparisons

Front

[5] The best evidence that the giant panda is more closely related to bears than is the racoonlike lesser panda involves: (Note from Matthew: I swear this is the wording on the test) ----------------------------------------------- [A] comparative anatomy [B] comparative embryology [C] DNA sequence comparisons [D] behavioral simliarities [E] fossil records

Back

[C] Cephalization of major sensory organs and the cerebrum.

Front

[20] Which of the following led to the increased function of the invertebrate nervous system? ----------------------------------------------- [A] Development of an advanced cerebellum. [B] Evolution of a ventral nerve cord, thus increasing the ability to move. [C] Cephalization of major sensory organs and the cerebrum. [D] Specialization of the sympathetic and parasympathetic systems within the nervous system. [E] Occurrence of highly developed olfactory loves in the invertebrate brain.

Back

[C] Bacteria produce lactic acid, which lowers the pH and denatures the milk proteins.

Front

[34] Milk kept past the expiration date often spoils, tastes sour, and develops stringy curds. This can be explained by which of the following? ----------------------------------------------- [A] Fermentation produces ethanol and fibrous by-products [B] Yeasts from citric acid, which causes the yeast cells to form long chains. [C] Bacteria produce lactic acid, which lowers the pH and denatures the milk proteins. [D] The Krebs cycle is converted to the Calvin cycle. [E] The production of fatty acids raises the temperature and polymerizes lactose.

Back

[E] uneven distribution of yolk

Front

[29] The unequal division of the cytoplasm among frog embryo cells during early cleavage, as shown in the diagram, results from: ----------------------------------------------- [A] different amounts of DNA [B] gastrulation of the embryo [C] formation of the blastula [D] segregation of the maternal and paternal cells [E] uneven distribution of yolk

Back

[A] recycling of matter

Front

[10] An important role of soil microbes in biological systems is the: ----------------------------------------------- [A] recycling of matter [B] creation of biomass [C] causing of disease [D] production of energy [E] degradation of energy

Back

[E] chemoautotrophic bacteria

Front

[27] The primary producers of the deep sea communities associated with hot water vents are? ----------------------------------------------- [A] plants [B] tube worms [C] photosynthetic algae [D] cyanobacteria [E] chemoautotrophic bacteria

Back

[C] swell and lyse

Front

[4] If red blood cells cultured in an isotonic medium are placed in distilled water, they will most likely: ----------------------------------------------- [A] remain unchanged [B] shrivel [C] swell and lyse [D] divide [E] become dormant

Back

[E] Beta cells in the pancreas release insulin.

Front

[44] Which of the following occurs in response to a rise in the blood sugar level? ----------------------------------------------- [A] The gall bladder releases glucagon. [B] Glycogen is catabolized. [C] Alpha cells in the pancreas secrete glucagon. [D] Beta cells in the pancreas release amylase. [E] Beta cells in the pancreas release insulin.

Back

[E] light-dependent reactions of photosynthesis

Front

[30] Production of ATP occurs in all of the following processes EXCEPT: ----------------------------------------------- [A] glycolysis [B] Krebs cycle [C] electron transport system and chemiosmosis [D] light-dependent reactions of photosynthesis [E] light-dependent reactions of photosynthesis

Back

[B] Tay-Sachs disease

Front

[11] Which of the following diseases is caused by the lack of a functional gene responsible for a specific enzyme? ----------------------------------------------- [A] Down Syndrome [B] Tay-Sachs disease [C] Ricketts [D] Malaria [E] Influenza

Back

[A] Autosomal dominant

Front

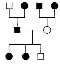
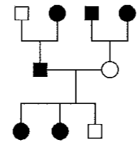
[18] The occurence of particular genetic condition in a family is shown in the pedigree above. Which of the following is the most likely inheritance pattern for the individuals with the condition? Squares respresent males, circles respresent females, and shaded symbols respresent individuals who exhibit the condition. ----------------------------------------------- [A] Autosomal dominant [B] Sex-linked dominant [C] Y linked [D] Autosomal recessive [E] Sex-linked recessive

Back

[E] Rough endoplasmic reticulum --> Golgi complex --> vesicle --> plasma membrane

Front

[22] A protein is synthesized in the cytoplasm and transported to the plasma membrane. Which of the following summarizes the protein's pathway in the cell? ----------------------------------------------- [A] Smooth endoplasmic reticulum --> nucleus --> vesicle --> plasma membrane [B] Plastid --> rough endoplasmic reticulum --> plasma membrane [C] Nucleus --> vesicle --> rough endoplasmic reticulum --> plasma membrane [D] Smooth endoplasmic reticulum --> microfilament --> vesicle --> plasma membrane [E] Rough endoplasmic reticulum --> Golgi complex --> vesicle --> plasma membrane

Back

[D] ATP synthesized from ADP and inorganic phosphate.

Front

[36] Which of the following occurs in both fermentation and aerobic cellular respiration? ----------------------------------------------- [A] Oxygen and carbon dioxide are consumed. [B] FAD is reduced, driving ATP synthesis. [C] Proton gradients are produced across membranes. [D] ATP synthesized from ADP and inorganic phosphate. [E] Most of the energy from glucose is released as carbon dioxide.

Back

[A] The Calvin cycle is confined to the bundle sheath cells.

Front

[55] Which of the following is TRUE of C (subscript 4), plants such as corn? ----------------------------------------------- [A] The Calvin cycle is confined to the bundle sheath cells. [B] The plants are classified as cacti. [C] The stomates open at night rather than during the day. [D] They will not grow in climates where the temperature exceeds 70°F. [E] They have an anatomy that is found only in gymnosperms.

Back

[D] 9

Front

[12] How many different genotypes are possible from the cross shown above? ----------------------------------------------- [A] 2 [B] 4 [C] 7 [D] 9 [E] 16

Back

[C] Annelids

Front

[38] Which of the following organisms possesses both a system of blood vessels and digestive tract in which food travels in only one direction? ----------------------------------------------- [A] Sponges [B] Flatworms [C] Annelids [D] Roundworms [E] Sea anemones

Back

[B] Each species occupies a different niche.

Front

[43] Which of the following best explains why many different species can live together within an ecosystem with limited resources? ----------------------------------------------- [A] Each species lives in a slightly different habitat. [B] Each species occupies a different niche. [C] Each species inhabits a different biome. [D] Each species makes up a different population. [E] Each species functions at a different trophic level.

Back

[D] An increase in glucose catabolism

Front

[40] Which of the following occurs in the immediate fight-or-flight response to danger or fear? ----------------------------------------------- [A] An increase in glycogen synthesis [B] An increase in digestive activity [C] Release of ACTH from the pituitary [D] An increase in glucose catabolism [E] A decrease in noradrenaline

Back

[C] Helper T cells

Front

[26] Which of the following immune system cells is most severely depleted by HIV/AIDS? ----------------------------------------------- [A] Plasma B cells [B] Memory B cells [C] Helper T cells [D] Cytotoxic ("Killer") T cells [E] Memory T cells

Back

[D] Pulmonary vein

Front

[6] Which of the following structures contains highly oxygenated blood? ----------------------------------------------- [A] Vena cava [B] Right ventricle [C] Pulmonary artery [D] Pulmonary vein [E] Jugular vein

Back

[A] A triglyceride

Front

[7] Metabolism of which the following molecules results in the greatest net usable energy per gram? ----------------------------------------------- [A] A triglyceride [B] A tripetide [C] An alpha-linked disaccharide [D] A beta-linked disaccharide [E] An anabolic steriod

Back

[A] The water's ability to hold oxygen decreases.

Front

[21] Which of the following is the most direct result of the heating up of pond water during the summer? ----------------------------------------------- [A] The water's ability to hold oxygen decreases. [B] The water's ability to act as a buffer changes. [C] The viscosity of the water increases. [D] Hydrogen bonding at the surface of the water increases. [E] Less light penetrates the surface of the water.

Back

[E] trial-and-error learning

Front

[15] Birds associating the bright colors of certain butterflies with an unpleasant taste is an example of: ----------------------------------------------- [A] instinct [B] habituation [C] imprinting [D] insight learning [E] trial-and-error learning

Back

[C] The inhibitor binds to the enzyme but not at its active site.

Front

[16] Which of the following best describes allosteric inhibition of an enzyme? ----------------------------------------------- [A] The inhibitor binds to the mRNA to prevent translation of the enzyme. [B] The inhibitor binds to the enzyme substrate. [C] The inhibitor binds to the enzyme but not at its active site. [D] The inhibitor binds to the enzyme at its active site. [E] the inhibitor binds to the gene that encodes for the enzyme.

Back

[E] Gasses diffuse across a moist membrane.

Front

[39] Which of the following features are common to all gas exchange systems in animals? ----------------------------------------------- [A] Active transport removes carbon dioxide from the respiratory structures. [B] Materials flow in one direction only. [C] An intake system is comprised of series of tubes. [D] Transfer is made by counter-current exchange. [E] Gasses diffuse across a moist membrane.

Back

[D] Lactate

Front

[25] In mammals, which of the following substances is produced in a muscle that operates anaerobically? ----------------------------------------------- [A] Acetyl CoA [B] Citrate [C] NADPH [D] Lactate [E] Oxygen

Back

[C] Population A may undergo instantaneous speciation by the doubling of its chromosome numbers (polyploidy).

Front

[54] A large assemblage of land snails is subdivided into two populations (A and B) by a river that effectively isolates the two populations for an indefinitely long period. From an evolutionary standpoint, which of the following is the LEAST likely to occur in the two populations? ----------------------------------------------- [A] Populations A and B will eventually differ in their ecological requirements. [B] Population A may ultimately breed at a different time of the year than population B does. [C] Population A may undergo instantaneous speciation by the doubling of its chromosome numbers (polyploidy). [D] Under laboratory conditions, cross fertilizations between members of the two populations may be successful even after a long period of geographical separation. [E] The two populations may become morphologically very dissimilar.

Back

[A] Lysosome . . lipid hydrolysis

Front

[17] Which of the following organelles is correctly matched with its function? ----------------------------------------------- [A] Lysosome . . lipid hydrolysis [B] Nucleolus . . protein synthesis [C] Ribosome . . carbohydrate synthesis [D] Mitochondrion . . Calvin cycle [E] Endoplasmic reticulum . . transcription

Back

[E] Species S is more closely related to species T than to species R.

Front

[46] Which of the following conclusions is best supported by the cladogram above? ----------------------------------------------- [A] Species Q and R make up a monophyletic group. [B] Species P and Q are equally related to species T. [C] Species P and T do not share a common ancestor. [D] Species S evolved from species R. [E] Species S is more closely related to species T than to species R.

Back

[E]

Front

[23]

Back

[C] Potassium

Front

[42] Which of the following ions is significantly involved in the opening and closing of the stomata? ----------------------------------------------- [A] Calcium [B] Nitrogen [C] Potassium [D] Magnesium [E] Iron

Back

Section 2

(50 cards)

[B] Keystone species

Front

[93] In similar rocky coastal ecosystems where sea otters have disappeared due to human harvesting or killer whale predation, the kelp forest also disappear and the species diversity of the community decreases drastically. In these ecosystems, the sea otter can best be described as a: ----------------------------------------------- [A] Top carnivore [B] Keystone species [C] Primary producer [D] Secondary herbivore [E] Dominant species

Back

[B] Chlorophyll

Front

[64] Molecule that can absorb photons of light and release electrons to the primary electron acceptor ----------------------------------------------- [A] Phytochrome [B] Chlorophyll [C] Ethylene [D] Auxin [E] Abscisic acid

Back

[B] It recycles dead plant material, thus nutrients become available.

Front

[50] Fire has which of the following effects on a community? ----------------------------------------------- [A] It causes all of the plants and animals in the community to become dormant. [B] It recycles dead plant material, thus nutrients become available. [C] It prevents reestablishment of the prefire community. [D] It allows for increased mutation rates in the surviving species. [E] It forces predators to become omnivores.

Back

[B] Anticodon

Front

[68] Triplet on tPNA [Match] ----------------------------------------------- [A] Nonsense codon [B] Anticodon [C] Ribosome [D] Exon [E] Poly-A tail

Back

[E]

Front

[73] [Match] Acetone contains this functional group.

Back

[D] Hair tufts protruding from ears

Front

[88] Which of the following characters is unique to "Neomysticena"? ----------------------------------------------- [A] Naked (hairless) tail [B] Three toes on hindfeet [C] Enlarged incisors [D] Hair tufts protruding from ears [E] Body hair

Back

[E] Seals

Front

[92] If a fat-soluble but poorly metabolized substance such as DDT gets into this ecosystem, the highest tissue concentrations will most likely occur in which of the following? ----------------------------------------------- [A] Phytoplankton [B] Zooplankton [C] Abalones [D] Sea otters [E] Seals

Back

[C] The highest rate of carbon dioxide uptake occurs near the end of the dark period.

Front

[81] Which of the following is consistent with the data? ----------------------------------------------- [A] The highest rate of carbon dioxide uptake occurs at the beginning of the light period. [B] The highest rate of carbon dioxide uptake occurs at the beginning of the dark period. [C] The highest rate of carbon dioxide uptake occurs near the end of the dark period. [D] The highest starch concentration occurs at the beginning of the light period. [E] The lowest starch concentration occurs at the end of the light period.

Back

[B] Primers that correspond to the 5' and 3' ends of the sequence near the SNP sites

Front

[97] In order to amplify the sequence with part of TAS2R38 gene, which of the following would be the appropriate primers to use? ----------------------------------------------- [A] Primers that complement the telomeric sequences of the chromosomes [B] Primers that correspond to the 5' and 3' ends of the sequence near the SNP sites [C] RNA primers that complement the cDNA of the sequence of the whole gene [D] Degenerate DNA primers that will amplify both wild-type and SNP sequences [E] DNA primers for the chromosome known to include the TAS2R38 gene

Back

[A] Nonsense codon

Front

[65] Protein synthesis termination triplet [Match] ----------------------------------------------- [A] Nonsense codon [B] Anticodon [C] Ribosome [D] Exon [E] Poly-A tail

Back

[A]

Front

[76] [Match] Ethanol contains this functional group.

Back

[E] DNA synthesis

Front

[85] The cells found in the region of the graph labeled Q are involved in what major cell cycle activity? ----------------------------------------------- [A] Cell division [B] Active cell motility [C] Cell differentiation [D] Tetrad formation [E] DNA synthesis

Back

[B] many stomates on the top leaf surface

Front

[53] All of the following adaptations prevent dehydration in land plants EXCEPT: ----------------------------------------------- [A] many guard cells in the flaccid condition [B] many stomates on the top leaf surface [C] water-resistant cuticle [D] the presence of many epidermal hairs [E] recessed stomates

Back

[A] The sporophyte generation become more dominant than the gametophyte generation.

Front

[51] As plants evolved from simple to more complex forms, which of the following occurred? ----------------------------------------------- [A] The sporophyte generation become more dominant than the gametophyte generation. [B] The haploid generation was lost. [C] The haploid generation become dominant. [D] The gametophyte generation become dominant over the sporophyte generation. [E] The gametophyte and the sporophyte generations gained equal prominence.

Back

[D] I and II only

Front

[83] A useful control for the experiment would have included which of the following? I. Expose the plant to 32 hours of continuous moderate light and measure rates of carbon dioxide uptake and tissue starch concentration. II. Expose the plant to 32 hours of continuous dark and measure rates of carbon dioxide uptake and tissue starch concentration. III. Measure the chlorophyll concentration in the plant's leaf tissue. ----------------------------------------------- [A] I only [B] II only [C] III only [D] I and II only [E] I, II, and III

Back

[D] Gall bladder

Front

[57] Structure that stores lipid-emulsifying salts [Match] ----------------------------------------------- [A] Pancreas [B] Kidney [C] Liver [D] Gall bladder [E] Stomach

Back

[C] Liver

Front

[60] Structure where giycogen typically occurs in large quantities as a storage product [Match] ----------------------------------------------- [A] Pancreas [B] Kidney [C] Liver [D] Gall bladder [E] Stomach

Back

[B]

Front

[75] [Match] Formaldehyde contains this functional group.

Back

[B] 6

Front

[77] After 10 days, the distilled water culture dish has approximately how many duckweed plants? ----------------------------------------------- [A] 3 [B] 6 [C] 9 [D] 12 [E] 15

Back

[E] Poly-A tail

Front

[67] Base sequence on messenger RNA that aids its transport across the nuclear envelope [Match] ----------------------------------------------- [A] Nonsense codon [B] Anticodon [C] Ribosome [D] Exon [E] Poly-A tail

Back

[C] The carrying capacity of the population

Front

[94] The dotted line marked K indicates which of the following? ----------------------------------------------- [A] The annual reproductive rate [B] The proportion of a population that can be removed without destroying its ability to maintain a stable population size [C] The carrying capacity of the population [D] The maximum number of offspring that each pair of parents can produce in a single year [E] The intrinsic rate of reproductive increase of the population

Back

[E] N-P-K fertilizer solution

Front

[79] Duckweed vegetatively reproduced at the fastest rate in: ----------------------------------------------- [A] pond water [B] nitrate-enriched distilled water [C] pond water with added chlorophyll [D] distilled water [E] N-P-K fertilizer solution

Back

[D] Auxin

Front

[62] Causes plant shoots to bend toward light by stimulating cell elongation ----------------------------------------------- [A] Phytochrome [B] Chlorophyll [C] Ethylene [D] Auxin [E] Abscisic acid

Back

[D] 44, 177, and 221

Front

[99] Following amplification and restriction enzyme digestion, the presence of the T allele is recognized on the electrophoresis gel by two bands: one of 177 base pair (bp) and another of 44 bp. The heterozygote (Tt) will show three bands on the gel. Which of the following describes their sizes? ----------------------------------------------- [A] 44, 133, and 177 [B] 44, 89, and 133 [C] 44, 133, and 221 [D] 44, 177, and 221 [E] 89, 133, and 221

Back

[A] minimize water loss by taking up carbon dioxide at night

Front

[84] The most likely adaptive significance of this photosynthetic mechanism is to: ----------------------------------------------- [A] minimize water loss by taking up carbon dioxide at night [B] maximize the production of starch at night [C] maximize the ability to use bright light to take up carbon dioxide [D] maximize water loss during the day so starch can be made [E] minimize starch production during the day

Back

[A] Obtain cells with saline mouthwash, boil, and chelate out any contaminating metals

Front

[96] Which of the following is the most appropriate method to prepare a sample of cheek cells for PCR? ----------------------------------------------- [A] Obtain cells with saline mouthwash, boil, and chelate out any contaminating metals [B] Scrape cheek cells from inside the mouth; treat nucleases [C] Using sterile technique, obtain a small punch biopsy specimen and keep at room temperature [D] Use cheek cells obtained by rinsing the mouth with an antibacterial wash, and subject the cells in culture to a strong antibiotic [E] Use a swab to obtain cells from the outer surface of the cheek after carefully washing the area

Back

[E] II and IV

Front

[82] The photosynthetic pattern of this plant species is unusual for which of the following reasons? I. It has a higher rate of carbon dioxide uptake during the light period than during the dark period. II. It has a higher rate of carbon dioxide uptake during the dark period than during the light period. III. There is a positive correlation between the rate of carbon dioxide uptake and tissue starch concentration. IV. There is an inverse correlation between the rate of carbon dioxide uptake and tissue starch concentration. ----------------------------------------------- [A] I only [B] II only [C] IV only [D] I and III [E] II and IV

Back

[B] Chlorophyll

Front

[61] Molecule contains a porphyrin ring with a central magnesium atom ----------------------------------------------- [A] Phytochrome [B] Chlorophyll [C] Ethylene [D] Auxin [E] Abscisic acid

Back

[C]

Front

[89] Which of the following cladograms correctly represents the relationships among these species? (Options in Picture)

Back

[E] The ability to detect bitter taste must have some selection advantages for nonhuman primates.

Front

[100] The students further studied DNA sequence data from various primates in order to explore the evolution of this gene sequence. The study revealed that each of the other primates has the same SNP pattern as human tasters. Which of the following is the most reasonable inference that can be made about the evolution of this gene sequence? ----------------------------------------------- [A] The ability to taste bitter foods gave humans a selective advantage over other primates. [B] Since the ability to taste is dominant, it had to have evolved first. [C] Ancestral humans must have acquired the nontaster SNPs from nonprimates. [D] Lack of the ability to taste must have a selective advantage for humans. [E] The ability to detect bitter taste must have some selection advantages for nonhuman primates.

Back

[C] R only

Front

[87] Cells in which region of the graph are ready to enter mitosis as the next step in the cell cycle? ----------------------------------------------- [A] P only [B] Q only [C] R only [D] P and Q only [E] Q and R only

Back

[A] G(subscript 1)

Front

[86] The region on the graph labeled P represents cells in what stage of the cell cycle? ----------------------------------------------- [A] G(subscript 1) [B] S [C] G(subscript 2) [D] Mitosis [E] Cytokinesis

Back

[C] Ribosome

Front

[66] Site of protein synthesis [Match] ----------------------------------------------- [A] Nonsense codon [B] Anticodon [C] Ribosome [D] Exon [E] Poly-A tail

Back

[A] Pancreas

Front

[59] Structure that produces most of the hydrolytic enzymes that are active in the small intestine [Match] ----------------------------------------------- [A] Pancreas [B] Kidney [C] Liver [D] Gall bladder [E] Stomach

Back

[A] I only

Front

[91] Species that feed at only one trophic level include which of the following? I. Zooplankton II. Planktivorous fish III. Killer whales ----------------------------------------------- [A] I only [B] II only [C] III only [D] II and III only [E] I, II, and III

Back

[D] Protons

Front

[49] The flow of which of the following into the mitochondrial matrix provides the chemiosmotic energy for the synthesis of ATP? ----------------------------------------------- [A] Inorganic phosphate [B] ADP [C] Glucose [D] Protons [E] Electrons

Back

[D] An increase in light intensity

Front

[80] Under which of the following additional conditions would the duckweed population be most likely to grow faster? ----------------------------------------------- [A] Oxygen gas bubbled through the culture dishes [B] The addition of an organism that eats duckweed [C] The addition of distilled water to every culture dish [D] An increase in light intensity [E] The addition of glucose to the culture medium

Back

[A] Phytochrome

Front

[63] Regulates flowering in plants that are sensitive to the length of the photoperiod ----------------------------------------------- [A] Phytochrome [B] Chlorophyll [C] Ethylene [D] Auxin [E] Abscisic acid

Back

[C] 1 plant per 3 days

Front

[78] In pond water, the duckweed population grows at an average rate of: ----------------------------------------------- [A] 1 plant per day [B] 2 plants per day [C] 1 plant per 3 days [D] 3 plants per day [E] 9 plants per 15 days

Back

[A] The nontaster allele (t) will not be cut and will therefore generate a larger fragment.

Front

[98] Why does digesting the DNA with enzyme X enable a prediction of the cell donor's ability to taste? ----------------------------------------------- [A] The nontaster allele (t) will not be cut and will therefore generate a larger fragment. [B] Tasters will have three cutting sites instead of one. [C] The taster allele (T) will produce a larger protein than the nontaster allele (t). [D] Nontasters lack recognition sites for any restriction enzymes. [E] Enzyme X will cut within the coding sequence of gene TAS2R38.

Back

[B] Unpaired replicated linear chromosomes

Front

[70] Eukaryotic cells at prophase of mitosis [Match] ----------------------------------------------- [A] Unpaired unreplicated linear chromosomes [B] Unpaired replicated linear chromosomes [C] Paired replicated linear chromosomes [D] Circular chromosomes [E] Extra-chromosomal circular DNA

Back

[E] Extra-chromosomal circular DNA

Front

[72] Plasmid exchanged by conjugating bacteria [Match] ----------------------------------------------- [A] Unpaired unreplicated linear chromosomes [B] Unpaired replicated linear chromosomes [C] Paired replicated linear chromosomes [D] Circular chromosomes [E] Extra-chromosomal circular DNA

Back

[D]

Front

[74] [Match] Dopamine contains this functional group.

Back

[E] III and IV

Front

[95] In which region of the curve is population size most likely to exhibit regulation by availability of resources such as nutrients, nest sites, and places to hide from predators? ----------------------------------------------- [A] I only [B] II only [C] I and II [D] II and III [E] III and IV

Back

[E] Stomach

Front

[58] Structure where pepsin hydrolyses proteins [Match] ----------------------------------------------- [A] Pancreas [B] Kidney [C] Liver [D] Gall bladder [E] Stomach

Back

[C] 4

Front

[90] The minimum number of trophic levels in a food chain ending with killer whales is: ----------------------------------------------- [A] 2 [B] 3 [C] 4 [D] 5 [E] 6

Back

[C] Paired replicated linear chromosomes

Front

[71] Eukaryotic cells at metaphase I [Match] ----------------------------------------------- [A] Unpaired unreplicated linear chromosomes [B] Unpaired replicated linear chromosomes [C] Paired replicated linear chromosomes [D] Circular chromosomes [E] Extra-chromosomal circular DNA

Back

[D] Circular chromosomes

Front

[69] Typical of prokaryotic celis after fission [Match] ----------------------------------------------- [A] Unpaired unreplicated linear chromosomes [B] Unpaired replicated linear chromosomes [C] Paired replicated linear chromosomes [D] Circular chromosomes [E] Extra-chromosomal circular DNA

Back

[C] They will be maintained at the same frequency.

Front

[52] If a population is at Hardy-Weinberg equilibrium, which of the following can be predicted for the recessive alleles in the population? ----------------------------------------------- [A] They will eventually disappear. [B] They will be selected against. [C] They will be maintained at the same frequency. [D] They will be expressed in the heterozygous condition. [E] They will become dominant.

Back

[B] Diffusion of positively charged ions across the cell membrane.

Front

[56] Which of the following causes the rapid change of membrane polarity during an action potential? ----------------------------------------------- [A] Diffusion of neurotransmitters such as acetylcholine. [B] Diffusion of positively charged ions across the cell membrane. [C] Release of electrons from inside the cell. [D] Release of protons from inside the cell. [E] Active transport of cations by the sodium potassium pump.

Back