Section 1

Preview this deck

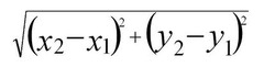
distance

Front

Star 0%
Star 0%
Star 0%
Star 0%
Star 0%

0.0

0 reviews

5
0
4
0
3
0
2
0
1
0

Active users

0

All-time users

0

Favorites

0

Last updated

6 years ago

Date created

Mar 1, 2020

Cards (29)

Section 1

(29 cards)

distance

Front

How far it is from one point to another

Back

transversal

Front

a line that intersects two or more coplanar lines at different points

Back

hypothesis

Front

A testable prediction, often implied by a theory An educated guess

Back

triangle sum theorem

Front

The sum of the measures of the interior angles of a triangle is 180 degrees

Back

conclusion

Front

A summary based on evidence or facts

Back

Congruent

Front

Having the same size and shape

Back

Vertical Angles

Front

A pair of opposite congruent angles formed by intersecting lines

Back

alternate exterior angles

Front

Angles that lie outside a pair of lines and on opposite sides of a transversal.

Back

adjacent angles

Front

Two angles that share a common side and have the same vertex

Back

Segment bisector

Front

a segment, ray, line, or plane that intersects a segment at its midpoint

Back

ray, opposite rays

Front

a part of a line that starts at one endpoint and extends forever

Back

complementary angles

Front

Two angles whose measures add to 90 degrees.

Back

Midpoint

Front

A point that divides a segment into two congruent segments

Back

Line segment

Front

A part of a line with two endpoints

Back

Linear Pair

Front

A pair of adjacent angles whose noncommon sides are opposite rays.

Back

perpendicular lines

Front

Lines that intersect to form right angles

Back

Collinear

Front

Points that lie on the same line

Back

Pythagorean Theorem

Front

In a right angled triangle: the square of the hypotenuse is equal to. the sum of the squares of the other two sides.

Back

same side interior angles

Front

two interior angles on the same side of the transversal

Back

Right triangle

Front

a triangle with one right angle

Back

corresponding angles

Front

Angles formed by a transversal cutting through 2 or more lines that are in the same relative position.

Back

alternate interior angles

Front

angles between 2 lines and on opposite sides of a transversal

Back

Line

Front

1. A long thin mark on a surface. 2. A continuous extent of length, straight or curved, without breadth or thickness; the trace of a moving point. 3. Long, narrow mark or band.

Back

parallel lines

Front

lines in the same plane that never intersect

Back

same side exterior angles

Front

two exterior angles on the same side of the transversal

Back

coplanar

Front

points that lie on the same plane

Back

Angle bisector

Front

a ray that divides an angle into two congruent angles

Back

conditional statements

Front

A statement that can be written in if-then form.

Back

Supplementary angles

Front

Two angles whose sum is 180 degrees

Back