AP Chemistry Final Review

AP Chemistry Final Review

memorize.aimemorize.ai (lvl 286)
Section 1

Preview this deck

Alcohol

Front

Star 0%
Star 0%
Star 0%
Star 0%
Star 0%

0.0

0 reviews

5
0
4
0
3
0
2
0
1
0

Active users

0

All-time users

0

Favorites

0

Last updated

6 years ago

Date created

Mar 14, 2020

Cards (73)

Section 1

(50 cards)

Alcohol

Front

Suffix: -ol Naming: Add ending by replacing the -e YOU MUST NUMBER WHERE THE OH IS Classifying: Primary: 1 alkyl group attached Secondary: 2 groups Tertiary: 3 groups

Back

Strong Base+ Water

Front

KOH+ H2O= K + OH

Back

Experimental Yield vs. Theoretical Yield

Front

Experimental Yield: How much of a product is actually created Theoretical Yield: According to accurate calculations, how much product is supposed to be created

Back

Weak Acid + Water

Front

Same as strong acid + water, but only 5% dissociates

Back

Real Gas vs. Ideal Gas

Front

Ideal: low pressure, high temperature, don't have any attraction or repulsion between each other Real: high pressure, low temperature, has few attractions between them

Back

Metallic Bond

Front

Delocalized electrons (intramolecular)

Back

Gas-Liquid Solubility

Front

Gases are often mixed with liquids such as water Temperature effects: as temperature increases, solute decreases Pressure effects: as pressure increases, solute increases

Back

Weak Base + Water

Front

NH3+ H2O= NH4+ OH

Back

Arrhenius Acids and Bases

Front

Acid: Produces H30 by releasing H Base: Produces OH by releasing OH

Back

Alkene

Front

Suffix: -ene Naming: 1. Name longest carbon chain that contains double bond 2. Number from end nearer the double bond 3. Give location and name of each substituent as a prefix

Back

Hybridization

Front

http://image.tutorvista.com/cms/images/44/hybridization-table.JPG

Back

Volatile Solutions

Front

Some non electrolytes that vaporize easily (some alcohols and ethers)

Back

Boiling point elevation

Front

As particles increase, boiling temperature increases m=molality i=individual particles k=constant

Back

Strong Acid + Water

Front

HCL+H2O= H + Cl H+H20= H3O

Back

Covalent Bond

Front

Sharing of electrons between two nonmetal ions (intramolecular)

Back

Solubility of Ionic Compounds

Front

Solubility Rules Increased temperature= increased solubility

Back

Strong Bases

Front

LiOH NaOH KOH RbOH CsOH Ca(OH)2 Sr(OH)2 Ba(OH)2

Back

Acid + Base

Front

Salt + H2O

Back

Ionic Bond

Front

Transfer of electrons from cation to anion (intramolecular)

Back

Alkyne

Front

Suffix: yne Naming: Same as Alkene

Back

Solubility Rules

Front

Soluble Ionic Compounds 1. All group 1 compounds and ammonium are soluble 2. All nitrates (NO3), acetates (C2H3O2), and most perchlorates (ClO4) are soluble 3. All Chlorides, Bromides, and Iodides are soluble EXCEPT for Ag, Pb, Cu, and Hg. All Fluorides are soluble except for Pb and Group 2 4. All sulfates (SO4) are soluble except for Ca, Sr, Ba, Ag, and Pb. Insoluble Ionic Compounds 1. All metal hydroxides are insoluble except for group 1 and large members of group 2 2. All carbonates (CO3) and phosphates (PO4) are insoluble except for Group 1 and NH4 3. All sulfides are insoluble except for group 1, group 2, and NH4

Back

Nonvolatile Solutions

Front

Non electrolytes: Covalently bonded (sugars) Electrolytes: ionic compounds (salts)

Back

Henry's Law

Front

Used to determine solubility of a gas

Back

Solubility of Molecular Compounds

Front

Likes dissolve likes rule (polar dissolved in polar, nonpolar dissolves in nonpolar) Increased polarity means increased solubility in water Decreased polarity means increased solubility in hexane

Back

Metal Oxide + Water

Front

Base Al2O3+H2O= Al(OH)3

Back

Sigma Bonds vs. Pi Bonds

Front

Double bond: 1 sigma, 1 pi bond Triple bond: 1 sigma, 2 pi bonds

Back

Polar vs. Nonpolar Molecules

Front

Polar: electrons not easily shared, molecule has partial positive or partial negative charges at poles Nonpolar: electrons easily shared, no part of molecule is distinctly positive or negative

Back

% Yield vs. % Error

Front

Percent Yield: Actual Yield/Percent Yield Percent Error: (Experimental-Theoretical)/ Theoretical

Back

Aromatic

Front

Suffix: Benzene Naming: Put name of group before benzene With multiple groups: Ortho (o): 1,2 Meta (m): 1, 3 Para (p): 1, 4 Common Aromatic Compounds CH3: Toluene NH2: Aniline OH: Phenol

Back

Volatile

Front

Evaporates with extreme ease

Back

Reducing Agent vs. Oxidizing Agent

Front

Reducing Agent: Is the ion that is oxidized Oxidizing Agent: the ion that is reduced

Back

Conjugate Acid and Conjugate Base

Front

On the opposite side of the reaction, the conjugate acid is formed from the base and the conjugate base is formed from the acid. Makes Acid/C. Base and Base/C. Acid pairs.

Back

Oxidation vs. Reduction

Front

Oxidation: the loss of electrons/atom increases in oxidation number Reduction: the gain of electrons/oxidation number decreases

Back

IMF Forces

Front

Order= Strongest to Weakest Ion-Dipole: Dipole= polar covalent compound H-Bonding: Bonds with F,O, or N Dipole-Dipole Bonds: two polar molecules Ion-Induced Bonds: Ion forces nonpolar molecule to have a temporary dipole Induced-Dipole Bonds: Polar+nonpolar London Dispersion Forces: Induced-Induced (two nonpolar ions)

Back

Lewis Acids and Bases

Front

Acid: Electron pair acceptor Base: Electron pair donor

Back

Nonmetal + Oxygen

Front

Nonmetal Oxide C+O2=CO2

Back

Nonmetal Oxide+ Water

Front

Acid CO2 + H2O ---> H2CO3

Back

Le Chatelier's Principle

Front

When a stress is applied to a reaction at equilibrium, the reaction will shift to reduce that stress.

Back

State Symbols

Front

Solid (s) Liquid (l) Gas (g) Precipitate (s) Solution (aq)

Back

Metal Oxide + Nonmetal Oxide

Front

Salt

Back

Hydrocarbons

Front

Methane: CH4 Ethane: C2H6 Propane: C3H8 Butane: C4H10 Pentane: C5H12 Hexane: C6H14 Heptane: C7H16 Octane: C8H18 Nonane: C9H20 Decane: C10H22 Saturated hydrocarbons: Contain only SP3 hybridization, carbon-carbon single bonds, so basically every one above Unsaturated Hydrocarbons: Contain at least one carbon-carbon double bond or triple bond of cycloalkanes

Back

Reaction Types

Front

Single Displacement Double Displacement Combustion Decomposition Synthesis

Back

Bronsted-Lowry Acids and Bases

Front

Acid: Donates a proton Base: Accepts a proton

Back

Raoult's Law

Front

The vapor pressure of a solvent above the solution decreases when a solute is dissolved in the solvent CHECK NOTES FOR THESE EQUATIONS It's under Vapor Pressure early in the year There's like three different equations for three different types of solutions

Back

Metal + Oxygen

Front

Metal Oxide 4Al+3O2=2Al2O3

Back

Limiting Reactant vs. Excess Reactant

Front

LR: The substance that is completely used up in a reaction XR: The substance that has some left over after all of the LR is used

Back

Solid-Liquid Solubility

Front

Unsaturated Solutions: rate of solute dissolving is greater than rate of recrystallization Saturated Solutions: Rate of solute dissolving equal to rate of recrystallization Super Saturated: Rate of solute dissolving is lower than rate of recrystallization

Back

Freezing point depression

Front

As particles increase, freezing temperature decreases m=molality i=individual particles k=constant

Back

Electron Configuration

Front

Basically, use electrons to write it out S level: 2 electrons P level: 6 electrons D level: 10 electrons

Back

Strong Acids

Front

HCl HBr HI HClO3 HClO4 H2SO4 HNO3

Back

Section 2

(23 cards)

KNOW ORGANIC CHEM REACTIONS

Front

So yeah, most synthesize

Back

Disturbing a Chemical Equilibrium

Front

3 ways to disturb equilibrium: 1. Changing temperature 2. Changing concentration of a reactant 3. Changing volume (for systems involving gases)

Back

Amide

Front

Suffix: -amide

Back

Reaction Rates

Front

Calculating Rate: change in concentration/ change in time (basically it's slope) Control Factors: Concentration, physical state, temperature, catalysts If collision increases, so does reaction rate Given: aA+bB= cC+dD, then rate: (see picture)

Back

Organic Chem Redox

Front

Oxidation: Increasing C-O bonds or decreasing C-H bonds Reduction: Decreasing C-O bonds or increasing C-H bonds Common Oxidizing Agents: H2Cr2O7 KMO4 HNO3 Cl2, Br2, I2 Common Reducing Agents: H2 Li or Na Sn, Zn, Mg

Back

Rate Law and Temperature

Front

As temperature increases, the value of K increases. k= rate constant R: energy gas constant (8.31) A: collision frequency factor Ea: Energy of Activation

Back

Cycloalkanes

Front

Alkane compounds in a cyclical form Use prefix cyclo- to refer

Back

Mercaptan

Front

Suffix: -thiol

Back

Naming cycloalkanes

Front

1. Substituent placed in front of cycloalkane 2. Number not needed if only one branch 3. If 2 or more substituents are attached, ring is assigned according to which substituent is first alphabetically

Back

Substituents

Front

Attached to the carbon chain and replace at least one H Methyl: CH3- Ethyl: CH3-CH2- Propyl: CH3-CH2-CH2- Fluoro: F- Chloro: Cl- Bromo: Br- Iodo: I-

Back

Aldehyde

Front

Suffix: -al Naming: Add suffix to ending First four common names: 1. form 2. acet 3. propion 4. butyr

Back

Equilibrium Constant

Front

Reactant favored: K<1 Product Favored: K>1

Back

Ka and Pka

Front

As Ka decreases, Pka increases As acidity increases, Ph decreases

Back

Ester

Front

Suffix: -oate Naming: 1. Contains the names of the alkyl group from the alcohol and the carbon chain from the acid with the suffix

Back

Amine

Front

Suffix: -amine

Back

Ketone

Front

Suffix: -one Naming: add suffix, carbonyl group indicated by a number

Back

Catalysts

Front

Lowers energy of activation, which increases the rate constant (k) and thus increases rate of reaction of both forward and reverse reactions Yields products more quickly, but the same amount of product

Back

Cis and Trans Isomers

Front

Cis: Atoms are on the same side of the double bond Trans: atoms are on opposite sites of double bond

Back

Ether

Front

Suffix: -alkoxy Naming: List alkyl names in alphabetical order followed by ether

Back

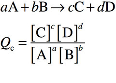
Reaction Quotient

Front

At equilibrium, K=Q If Q<K, system is heading to equilibrium, more reactants than products. Will head right If Q>K, system is past equilibrium, more products than reactants. Will head left

Back

Naming Alkanes

Front

1. Write alkane name of longest chain of carbon atoms 2. Number carbon atoms from end nearer branch 3. Give location and name of each substituent (alphabetical order) as a prefix of the main chain

Back

Endothermic vs. Exothermic

Front

Endo: Heat absorbed H>0 Exo: Heat released H<0

Back

Carboxylic Acid

Front

Suffix: -oic acid Naming: add suffix Common names 1. Formic acid 2. Acetic Acid 3. Propionic acid 4. Butyric Acid

Back